Flue Gas Condensation in a Model of the Heat Exchanger: The Effect of the Cooling Water Flow Rate and Its Temperature on Local Heat Transfer
Abstract
:1. Introduction
2. Materials and Methods
3. Results
3.1. Effect of the Cooling Water Flow Rate
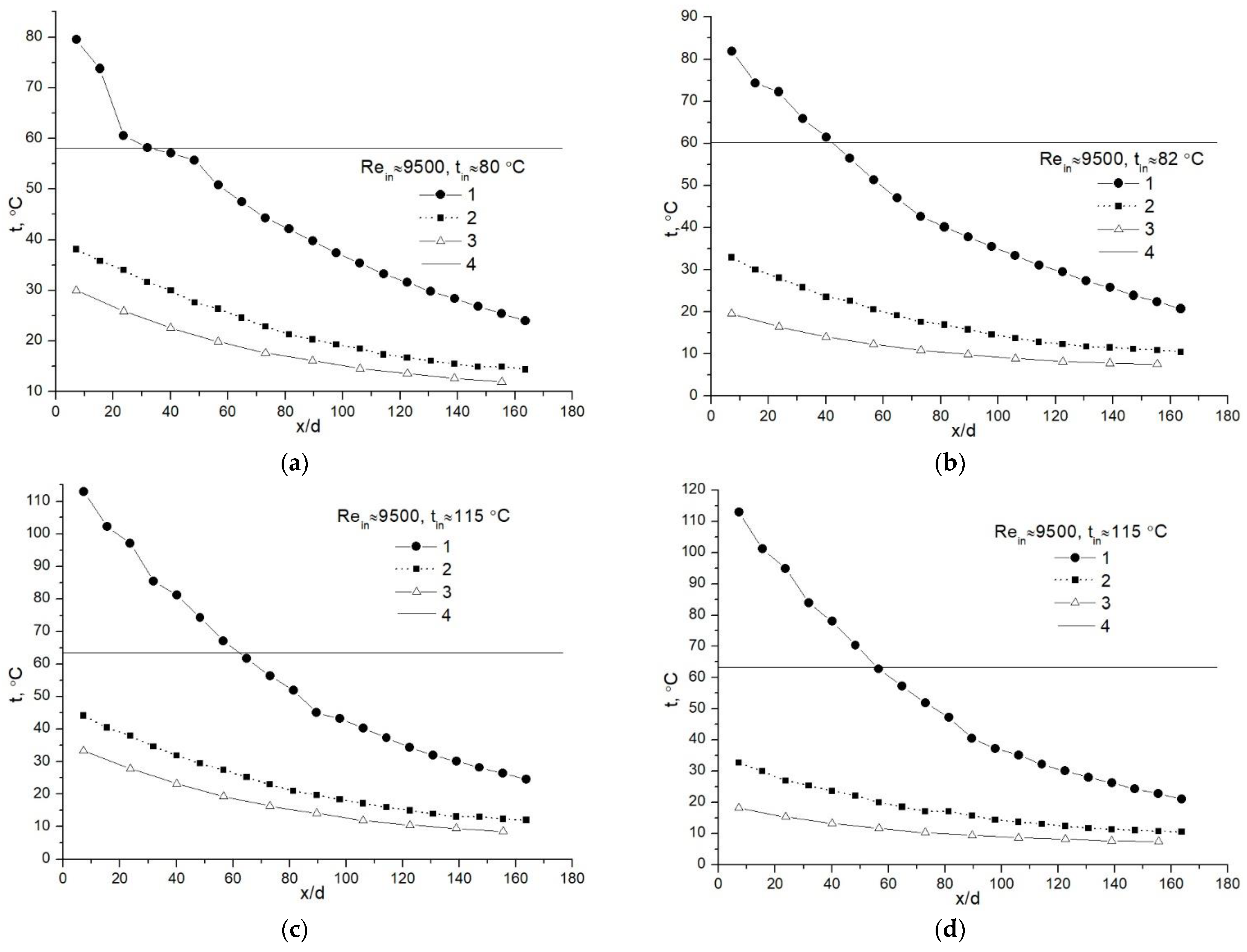
3.2. Effect of the Cooling Water Temperature
4. Heat Balance
5. Conclusions
- The change in the cooling water flow rate from 60 to 120 kg/h had no significant impact on the distribution of the Nut number along the tube for the analyzed inlet flue gas temperatures for Rein ≈ 9500; however, for Rein ≈ 21,000, the influence of the cooling water flow rate is more pronounced.
- For Rein ≈ 21,000 and the lower cooling water flow rate (60 kg/h), Nut was increasing along the tube and reached its maximum value almost at the end of the tube. However, at the higher cooling water flow rate (120 kg/h), the Nut remained almost even along the experimental section.
- The change in the cooling water inlet temperature from about 8–9 °C to about 14–15 °C created an insignificant impact on the Nut distribution along the tube for Rein ≈ 9500, and the results showed that stronger and almost even condensation in this case took place from the beginning until almost the middle of the test section. Further on, Nut rapidly decreased.
- The change in the cooling water inlet temperature from about 8–9 °C to about 14–15 °C had more impact on Nut along the test section for Rein ≈ 21,000. The results also showed that more even condensation along the whole test section was achieved at a lower cooling water inlet temperature.
- Condensation efficiencies for both analyzed cooling water flow rates are similar, i.e., about 54–58% for a lower flue gas Rein number and about 42% for a higher flue gas Rein number. For all analyzed regimes, at a lower cooling water inlet temperature, the condensation efficiency is about 6–10% higher than at a higher cooling water inlet temperature.
Author Contributions
Funding
Institutional Review Board Statement
Informed Consent Statement
Data Availability Statement
Conflicts of Interest
Nomenclature
References
- Che, D.; Liu, Y.; Gao, C. Evaluation to retrofitting a conventional natural gas fired boiler into a condensing boiler. Energy Convers. Manag. 2004, 45, 3251–3266. [Google Scholar] [CrossRef]
- Zhang, Y.; Wei, L.; Gao, X.; Chen, H.; Li, Q.; Zhang, K.; Huang, Q. Performance analysis of a waste-to-energy system integrated with the steam–water cycle and urea hydrolysis process of a coal-fired power unit. Appl. Sci. 2022, 12, 866. [Google Scholar] [CrossRef]
- Kasurinen, S.; Jalava, P.I.; Tapanainen, M.; Uski, O.; Happo, M.S.; Paakkanen, J.M.; Lamberg, H.; Koponen, H.; Nuutinen, I.; Kortelainen, M.; et al. Toxicological effects of particulate emissions—A comparison of oil and wood fuels in small and medium scale heating systems. Atmos. Environ. 2015, 103, 321–330. [Google Scholar] [CrossRef]
- Obernberger, I.; Mandl, C. Survey of the Present State of Particle Precipitation De-Vices for Residential Biomass Combustion with a Nominal Capacity up to 50 KW in IEA Bioenergy Task32; Institute for Process and Particle Engineering, Graz University of Technology: Graz, Austria, 2011. [Google Scholar]
- Vizitiu, R.S.; Burlacu, A.; Abid, C.; Verdes, M.; Balan, M.C.; Branoaea, M. Experimental and numerical study of thermal performance of an innovative waste heat recovery system. Appl. Sci. 2021, 11, 11542. [Google Scholar] [CrossRef]
- Siddique, M.; Golay, M.W.; Kazimi, M.S. Local heat transfer coefficients for forced-convection condensation of steam in a vertical tube in the presence of a non-condensable gas. Nucl. Technol. 1993, 102, 386–402. [Google Scholar] [CrossRef]
- Park, H.S.; No, H.C. A condensation experiment in the presence of noncondensables in a vertical tube of a passive containment cooling system and its assessment with Relap5/mod3.2. Nucl. Technol. 1999, 127, 160–169. [Google Scholar] [CrossRef]
- Maheshwari, N.K.; Saha, D.; Sinha, R.K.; Aritomi, M. Investigation on condensation in presence of a noncondensable gas for a wide range of Reynolds number. Nucl. Eng. Des. 2004, 227, 219–238. [Google Scholar] [CrossRef]
- Caruso, G.; Giannetti, F.; Naviglio, A. Experimental investigation on pure steam and steam-air mixture condensation inside tubes. Int. J. Heat Technol. 2012, 30, 77–84. [Google Scholar] [CrossRef]
- Oh, S.; Revankar, S.T. Experimental and theoretical investigation of film condensation with noncondensable gas. Int. J. Heat Mass Transf. 2006, 49, 2523–2534. [Google Scholar] [CrossRef]
- Lee, K.Y.; Kim, M.H. Experimental and empirical study of steam condensation heat transfer with a noncondensable gas in a small-diameter vertical tube. Nucl. Eng. Des. 2008, 238, 207–216. [Google Scholar] [CrossRef]
- Jeong, K.; Kessen, M.; Bilirgen, H.; Levy, E.K. Analytical modeling of water condensation in condensing heat exchanger. Int. J. Heat Mass Transf. 2010, 53, 2361–2368. [Google Scholar] [CrossRef]
- Wang, Y.; Zhao, Q.; Zhou, Q.; Kang, Z.; Tao, W. Experimental and numerical studies on actual flue gas condensation heat transfer in a left–right symmetric internally finned tube. Int. J. Heat Mass Transf. 2013, 64, 10–20. [Google Scholar] [CrossRef]
- Wang, E.; Li, K.; Husnain, N.; Li, D.; Mao, J.; Wu, W.; Yang, T. Experimental study on flue gas condensate capture and heat transfer in staggered tube bundle heat exchangers. Appl. Therm. Eng. 2018, 41, 819–827. [Google Scholar] [CrossRef]
- Dedalic, N.; Džaferovic, E.; Ganic, E. Experimental and numerical study on vapor condensation of wet flue gas in chimney. Defect Diffus. Forum 2008, 273–276, 119–125. [Google Scholar] [CrossRef]
- Chantana, C.; Kumar, S. Experimental and theoretical investigation of air-steam condensation in a vertical tube at low inlet steam fractions. Appl. Therm. Eng. 2013, 54, 399–412. [Google Scholar] [CrossRef]
- Shi, X.; Che, D.; Agnew, B.; Gao, J. An investigation of the performance of compact heat exchangers for latent heat recovery from exhaust flue gases. Int. J. Heat Mass Transf. 2011, 54, 606–615. [Google Scholar] [CrossRef]
- Terhan, M.; Comakli, K. Design and economic analysis of a flue gas condenser to recover latent heat from exhaust flue gas. Appl. Therm. Eng. 2016, 100, 1007–1015. [Google Scholar] [CrossRef]
- Poskas, R.; Sirvydas, A.; Kulkovas, V.; Poskas, P. An experimental investigation of water vapor condensation from biofuel flue gas in a model of vertical condensing heat exchanger. 1. Base case: Local heat transfer in a calorimetric tube without water injection. Processes 2021, 9, 844. [Google Scholar] [CrossRef]
- Poskas, R.; Sirvydas, A.; Kulkovas, V.; Jouhara, H.; Poskas, P.; Miliauskas, G.; Puida, E. An experimental investigation of water vapor condensation from biofuel flue gas in a model of vertical condensing heat exchanger. 2. Local Heat Transfer in a Calorimetric Tube with Water Injection. Processes 2021, 9, 1310. [Google Scholar] [CrossRef]
- Jia, L.; Peng, X.F.; Yan, Y.; Sun, J.D.; Li, X.P. Effects of water vapor condensation on the convection heat transfer of wet flue gas in a vertical tube. Int. J. Heat Mass Transf. 2001, 44, 4257–4265. [Google Scholar] [CrossRef]
- Siddique, M. The Effects of Noncondensable Gases on Steam Condensation under Forced Convection Conditions. Ph.D. Thesis, Department of Nuclear Engineering, Massachusetts Institute of Technology, Cambridge, MA, USA, 1992. [Google Scholar]
- Barford, N.C. Experimental Measurements: Precision, Error and Truth, 2nd ed.; John Willey & Sons: Hoboken, NJ, USA, 1985. [Google Scholar]
- Available online: https://journals.ametsoc.org/doi/pdf/10.1175/BAMS-86-2-225 (accessed on 25 February 2022).
















Publisher’s Note: MDPI stays neutral with regard to jurisdictional claims in published maps and institutional affiliations. |
© 2022 by the authors. Licensee MDPI, Basel, Switzerland. This article is an open access article distributed under the terms and conditions of the Creative Commons Attribution (CC BY) license (https://creativecommons.org/licenses/by/4.0/).
Share and Cite
Poškas, R.; Sirvydas, A.; Kulkovas, V.; Poškas, P.; Jouhara, H.; Miliauskas, G.; Puida, E. Flue Gas Condensation in a Model of the Heat Exchanger: The Effect of the Cooling Water Flow Rate and Its Temperature on Local Heat Transfer. Appl. Sci. 2022, 12, 12650. https://doi.org/10.3390/app122412650
Poškas R, Sirvydas A, Kulkovas V, Poškas P, Jouhara H, Miliauskas G, Puida E. Flue Gas Condensation in a Model of the Heat Exchanger: The Effect of the Cooling Water Flow Rate and Its Temperature on Local Heat Transfer. Applied Sciences. 2022; 12(24):12650. https://doi.org/10.3390/app122412650
Chicago/Turabian StylePoškas, Robertas, Arūnas Sirvydas, Vladislavas Kulkovas, Povilas Poškas, Hussam Jouhara, Gintautas Miliauskas, and Egidijus Puida. 2022. "Flue Gas Condensation in a Model of the Heat Exchanger: The Effect of the Cooling Water Flow Rate and Its Temperature on Local Heat Transfer" Applied Sciences 12, no. 24: 12650. https://doi.org/10.3390/app122412650
APA StylePoškas, R., Sirvydas, A., Kulkovas, V., Poškas, P., Jouhara, H., Miliauskas, G., & Puida, E. (2022). Flue Gas Condensation in a Model of the Heat Exchanger: The Effect of the Cooling Water Flow Rate and Its Temperature on Local Heat Transfer. Applied Sciences, 12(24), 12650. https://doi.org/10.3390/app122412650

