Abstract
Like humans, the accumulation of amyloid-beta oligomers in the brains of aged dogs leads to cognitive dysfunction. Our study investigated the effects of dietary flavonoids in pet foods on cognitive dysfunction. All nine dogs (six species) recruited were older than seven years, and cognitive function was measured using a questionnaire before and after applying pet food containing cyanidin-3-O-glucoside, the main component of honeyberries. Physical examination, blood tests, cognitive dysfunction scores, and serum amyloid-beta oligomers were measured. After 90 days of pet food administration, a physical examination revealed no abnormalities in weight, body temperature, heart rate, or respiratory rate. However, the cognitive dysfunction score and serum amyloid-beta oligomers (AβO) marker levels were significantly reduced after 90 days. Inflammation and antioxidant levels were slightly, but not significantly, changed. Our results suggest that pet food containing anthocyanins effectively improves cognitive dysfunction scores and decreases serum AβO levels.
1. Introduction
As we age, we experience a complex aging process owing to accumulated cellular damage [1], such as various physical [2], cognitive [3], and emotional changes [4]. This leads to a gradual decline in physical and mental abilities [5]. Similarly, aging in dogs leads to changes in learning, memory, attention, administrative control, and social responses and decreased curiosity regarding new things. As dogs age, they develop neurogenic diseases called canine cognitive dysfunction (CCD). CCD or canine dementia affects up to 60% of older dogs, mostly those dogs older than 11 years [6]. Studies of neurodegenerative diseases in animals have revealed strong similarities between cognitive dysfunction in dogs and human Alzheimer’s disease (AD) and between AD in humans and most other primates [7,8,9,10,11]. The causes of age-related neurodegenerative diseases are complex and diverse; however, the formation of aggregates of toxic proteins hinders the function of nerve cells, leading to final tissue removal [12].
We cannot overlook the importance of daily feed, given that diseased dogs generally have different nutritional requirements than healthy dogs. A number of studies and systematic reviews, including flavonoid components of berries [13,14,15], vitamin B [16], vitamin E [17], and vitamin B12 [18] in food and exercise training [19,20], have supported improvement in cognitive function. In this study, we examined the efficacy of flavonoid ingredients added to pet food in preventing CCD. Existing studies have mainly been conducted on humans. However, to our knowledge, this is the first study to investigate the function of flavonoids added to pet food for CCD research.
2. Materials and Methods
This study was conducted after obtaining informed consent and verbally explaining the necessity and method of the study and possible problems to the dog owners. This study was approved by the Laboratory Animal Ethics Committee (IACUC) (PTB-2021-IACUC-012-A). Among the candidate dogs, dogs were evaluated by their cognitive impairment behavioral scores with the consent of their guardians and were assessed through the behavioral questionnaire. Individuals with suspected neurological problems were excluded through physical and blood tests. The early behavioral diagnostic indicators of nine dogs were measured using a questionnaire. The comparison items before and after the application of pet food to prevent cognitive dysfunction were as follows: measurement of physical examination (body weight, body temperature, heart rate, and respiration rate), blood tests (CBC, chemistry, electrolyte), CDS, and serum indexes (anti-inflammatory and antioxidative indexes, AβO).
2.1. Animal Signalment
The signalment information of breed, sex, age, and body weight of the nine dogs are presented in Table S1. Classified by breed, six species were recruited. Five neutered males and four neutered females were recruited. All nine dogs were recruited only at seven years or older and their body weight varied from small breed (3.96 kg) to large species (28.00 kg).
2.2. Information on Cognitive Dysfunction Preventive Pet Food and Animal Maintenance
The nutrition for cognitive dysfunction prevention pet food developed by Erebon Co. (Erebon, Icheon, Republic of Korea) for this study is shown in Table 1. The main ingredients were oat, hydrolyzed chicken, chicken fat, beet pulp, fish oil, and hydrolyzed honeyberry. Moreover, chicken, the main protein component, and honeyberry, which helps improve cognitive function, were hydrolyzed to enhance digestion and absorption. As obtained in a previous mouse experiment, the honeyberries used in this study were determined by the amount of cyanidin-3-O-glucoside (C3G, Table 1), which is the main component of honeyberries [21,22]. Unlike in the mouse experiment, hydrolyzed honeyberry was used. Therefore, the value obtained through the analysis institution (Korea Health Supplement Institute, Republic of Korea) was converted and applied to the amount of pet food. Moreover, this pet food contained nutrients suitable for the dog’s main food and was prepared in the form of extrusion, a general form. All dogs were fed individually for one day according to their weight (Table 1) at the feeding in the morning for 12 weeks, according to the instruction of the veterinarian. Food intake and the number of snacks were counted through counseling over the phone at least once a week, and at least four times, animal hospitals were required to visit for weight and blood collection.
Table 1.
Information on nutrition on pet food for cognitive dysfunction prevention for this study.
2.3. General Blood Test
Blood samples collected from individuals were separated from the serum, and CBC analysis was performed immediately. In the case of serum chemistry, if it was difficult to analyze directly, it was stored at −80 °C until the test. The CBC analysis equipment (XN-1000, Sysmex Corporation, Japan) and chemistry and electrolyte analysis equipment (BS-490, Mindray, China) were used according to the manufacturer’s instructions.
2.4. CDS
Pan et al. [23] developed a behavioral diagnostic index questionnaire and evaluated the cognitive function accordingly.
2.5. Serum Anti-Inflammatory and Antioxidative Indexes
Canine blood samples were collected by a veterinarian, centrifuged, and analyzed according to the test method of each manufacturer. For the anti-inflammatory, we used canine IL-6 ELISA (#CSB-E11260c, Cusabio, Houston, TX, USA), canine IL-1β ELISA (#CSB-E13836c, Cusabio, Houston, TX, USA), and canine TNF-α ELISA (#ab193687, Abcam, Waltham, MA, USA). For the anti-oxidative assay, we used CRP (BS-490, Mindray, Beijing, China), GR assay (#ab83461, Abcam, Waltham, MA, USA), and carnitine quantification assay (#83392, Abcam, Waltham, MA, USA).
2.6. Serum AβO
Serum AβO as a biomarker related to cognitive dysfunction was measured using Absol HS equipment (Absology Co., Ltd., Dusseldorf, Germany) in the following experimental method according to the manufacturer’s instructions. First, the samples, cartridges, and reagents were maintained at room temperature for approximately 20 min. Three reagents, 110 µL enhancer solution, 110 µL stable peroxide solution, and 2.2 µL ADHP concentrate were added to an Eppendorf tube, vortexed, and spun down. The mixed solution (100 µL) was placed into wells 7 and 8 of the prepared cartridge, 20 μL of the prepared serum was placed into well 1, and pipetting was performed approximately 10 times. This was then placed in the analysis equipment.
2.7. Statistical Analysis
Statistical analysis of the data was performed using the GraphPad Prism (version 9, GraphPad Software Inc., La Jolla, CA, USA) with a paired t-test and is presented as mean ± SD. Statistical significance was set at p < 0.05.
3. Results
3.1. Physical Examination
Nine elderly dogs were evaluated. The results of the fundamental physical examinations are presented in Table 2. During the physical inspection, no abnormal findings were observed in body weight, body temperature, heart rate, or respiration rate, and no significant differences were observed on day 90 (Table 2).
Table 2.
Physical examination results of 9 dogs that participated in clinical efficacy evaluation with cognitive dysfunction prevention pet food.
3.2. Complete Blood Count (CBC), Chemistry, and Electrolyte
The complete blood count (CBC), chemical, and electrolyte analysis results are presented in Table 3. The CBC results showed no problems with suspected diseases (e.g., kidney disease, liver disease). The results were within the reference range, and no significant difference was observed on day 90. Serum chemistry and electrolyte analyses indicated no diseases of the kidney or liver, which could have caused neurological issues. Some increases in hepatobiliary values (ALT and ALP) were confirmed; however, these were believed to be changes in blood levels that could occur in older dogs (Table 3).
Table 3.
Results of complete blood count (CBC), chemistry, and electrolytes of 9 dogs that participated in the clinical efficacy evaluation with cognitive dysfunction prevention pet food.
3.3. Cognitive Dysfunction Score (CDS)
The dogs were scored for cognitive dysfunction behavioral assessment using the corresponding behavioral questionnaire, and the average results are shown in Figure 1a. The score of the nine dogs varied from mild (1–29 points) to severe (30 issues or more) on day 0. However, all dogs showed an improvement in behavioral scores on day 90 compared with day 0. A significant difference was observed in the CDS evaluation (p < 0.01).
Figure 1.
Results of 90 days after pet food containing anthocyanin for prevention cognitive dysfunction administered to elderly dogs. (a) Cognitive dysfunction score (CDS), (b) serum amyloid-beta oligomers (AβO). All data are presented as mean ± SE. * p < 0.05 and ** p < 0.01.
3.4. Serum Amyloid-Beta Oligomers (AβO)
Serum AβO, a biomarker related to cognitive dysfunction, was measured. The results are shown in Figure 1b and Supplementary Figure S1. The values of AβO were dramatically decreased on day 90 compared to day 0, except for one dog (dog no. 9). A significant difference was observed on day 90 compared with that on day 0 (p < 0.05).
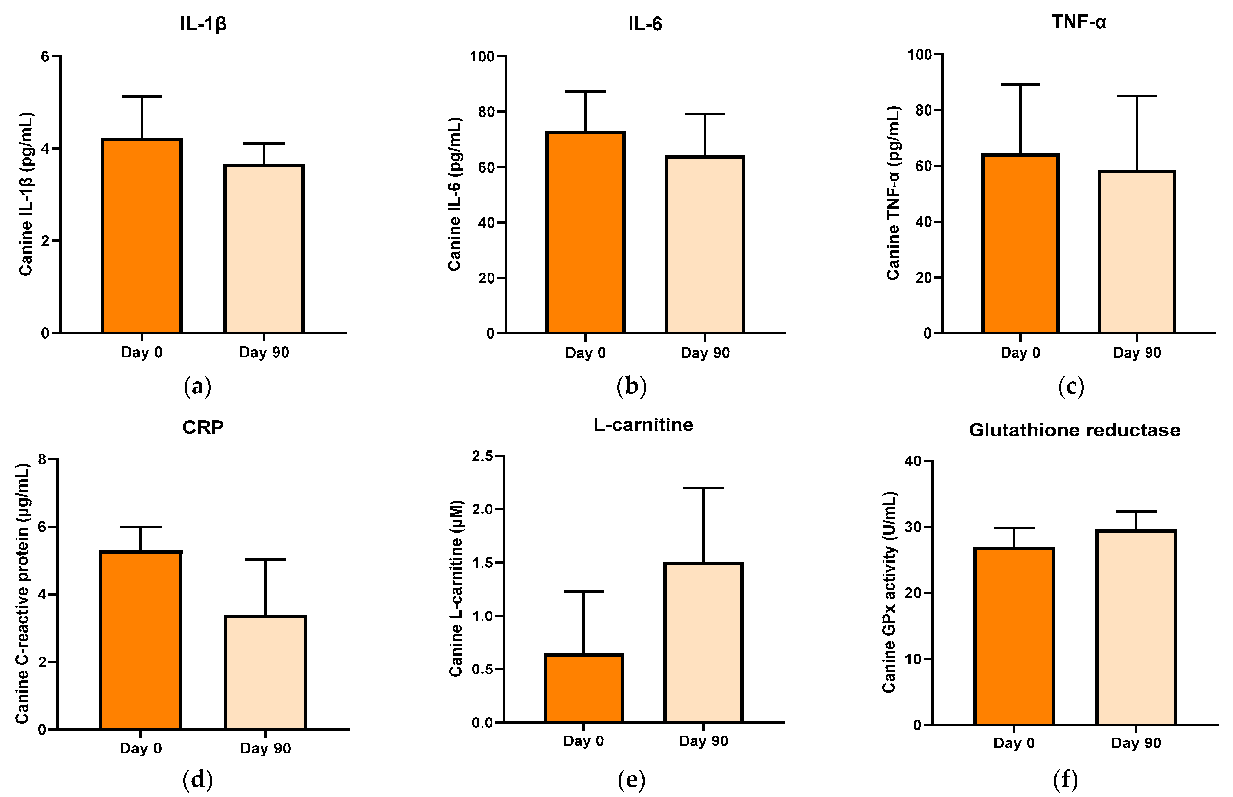
3.5. Anti-Inflammatory and Antioxidative Indices
The evaluation results of anti-inflammatory and antioxidative indices in the serum of nine dogs are shown in Figure 2. No index was significantly different on day 90 compared with its value on day 0. In the case of IL-1β (Figure 2a), IL-6 (Figure 2b), TNF-α (Figure 2c), and CRP (Figure 2d), which are known indicators of inflammation in the body, the values of these indices were decreased on day 90 compared to day 0. In the case of L-carnitine (Figure 2e) and GR activity (Figure 2f), which are indicators of antioxidative function in the body, the values of these indices were increased on day 90 compared to day 0.
Figure 2.
Results of anti-inflammatory and anti-oxidative indexes after 90days administration of pet food containing anthocyanin to elderly dogs: (a) IL-1β; interleukin 1 beta, (b) IL-6; interleukin 6, (c) TNF-α; tumor necrosis factor-alpha, (d) CRP; C-reactive protein, (e) L-carnitine, (f) GPx; glutathione reductase.
4. Discussion
This study confirmed the close relationship between serum AβO concentration and CDS in studies on the cognitive performance of elderly dogs. The serum AβO concentration could be lowered after 90 days by adding the flavonoid component C3G to pet food. Despite the small sample size, it demonstrated a significance of p < 0.5, and the blood levels of inflammatory markers also tended to decrease, though this decrease was not statistically significant. After 90 days of C3G treatment, antioxidant levels marginally increased but not significantly.
AβO causes neuronal cell death and cognitive impairment similar to AD, but it might take years or even decades for signs of AD to appear [24,25]. Targeting AβO is a crucial AD therapeutic strategy, and several medications are currently undergoing clinical trials to lower AβO. The topic of anti-AβO antibody treatment is still being debated. According to clinical trials, removing tau tangles and slowing cognitive decline in AD can be accomplished by employing antibodies to eliminate brain Aβ plaques [26]. Delaying the progression of AD by reducing the neuro-inflammatory response can also demonstrably lessen the severity of cognitive impairment [27].
Polyphenols have demonstrated anti-inflammatory properties and have been helpful in the treatment of a number of diseases [28]. In addition to their antioxidant properties, the actions of these natural compounds help control the expression of multiple inflammatory genes [29,30]. Our findings may support the neuroprotective effect of dietary anthocyanin in the central nervous system in elderly companion dogs [31], given that C3G can downgrade the expression of inflammatory cytokines in the brain cortex region of APPswe/PSEN1dE9 mice [22].
The study was limited by the amount of work required due to the relatively small number of dogs, the variety of species, and the requirement for the guardians to have prior training. Nevertheless, a larger experimental sample size may indicate significant anti-inflammatory and antioxidant results, given that the serum AβO and CDS values after 90 days of treatment were significantly decreased. Our findings imply that pet foods with effective antioxidants can lower serum AβO levels and enhance cognitive function in elderly dogs.
Supplementary Materials
The following supporting information can be downloaded at https://www.mdpi.com/article/10.3390/app122312130/s1, Figure S1; The results of serum amyloid-beta oligomers (AβO) of 9 dogs administrated with pet food containing anthocyanin. Table S1; Signalment of 9 dogs that participated in clinical efficacy evaluation with cognitive dysfunction prevention pet food.
Author Contributions
Investigation and data arrangement, M.-J.L. and M.P.; writing and original draft preparation, M.-J.L. and M.P.; review and editing, H.-J.L.; conceptualization and supervision, M.P., and H.-J.L. All authors have read and agreed to the published version of the manuscript.
Funding
This study was supported by the “Cooperative Research Program of the Center for Companion Animal Research (Project No. PJ01476703)”, Rural Development Administration, Republic of Korea.
Institutional Review Board Statement
This study was approved by the Laboratory Animal Ethics Committee (IACUC) (PTB-2021-IACUC-012-A).
Informed Consent Statement
Not applicable.
Data Availability Statement
Not applicable.
Conflicts of Interest
The authors declare no conflict of interest.
References
- Yousefzadeh, M.; Henpita, C.; Vyas, R.; Soto-Palma, C.; Robbins, P.; Niedernhofer, L. DNA damage-how and why we age? eLife 2021, 10, e62852. [Google Scholar] [CrossRef] [PubMed]
- Fisk, J.E.; Warr, P. Age and working memory: The role of perceptual speed, the central executive, and the phonological loop. Psychol. Aging 1996, 11, 316–323. [Google Scholar] [CrossRef] [PubMed]
- Bertelli, M.O.; Cooper, S.A.; Salvador-Carulla, L. Intelligence and specific cognitive functions in intellectual disability: Implications for assessment and classification. Curr. Opin. Psychiatry 2018, 31, 88–95. [Google Scholar] [CrossRef] [PubMed]
- Virtanen, M.; Singh-Manoux, A.; Batty, G.D.; Ebmeier, K.P.; Jokela, M.; Harmer, C.J.; Kivimäki, M. The level of cognitive function and recognition of emotions in older adults. PLoS ONE 2017, 12, e0185513. [Google Scholar] [CrossRef] [PubMed]
- Harada, C.N.; Natelson Love, M.C.; Triebel, K.L. Normal cognitive aging. Clin. Geriatr. Med. 2013, 29, 737–752. [Google Scholar] [CrossRef]
- Fast, R.; Schütt, T.; Toft, N.; Møller, A.; Berendt, M. An observational study with long-term follow-up of canine cognitive dysfunction: Clinical characteristics, survival, and risk factors. J. Vet. Intern. Med. 2013, 27, 822–829. [Google Scholar] [CrossRef]
- Cummings, S.R.; Black, D.M.; Nevitt, M.C.; Browner, W.; Cauley, J.; Ensrud, K.; Genant, H.K.; Palermo, L.; Scott, J.; Vogt, T.M. Bone density at various sites for prediction of hip fractures. The Study of Osteoporotic Fractures Research Group. Lancet 1993, 341, 72–75. [Google Scholar] [CrossRef]
- Cummings, B.J.; Cotman, C.W. Image analysis of beta-amyloid load in Alzheimer’s disease and relation to dementia severity. Lancet 1995, 346, 1524–1528. [Google Scholar] [CrossRef]
- Dodart, J.C.; Bales, K.R.; Gannon, K.S.; Greene, S.J.; DeMattos, R.B.; Mathis, C.; DeLong, C.A.; Wu, S.; Wu, X.; Holtzman, D.M.; et al. Immunization reverses memory deficits without reducing brain Abeta burden in Alzheimer’s disease model. Nat. Neurosci. 2002, 5, 452–457. [Google Scholar] [CrossRef]
- Ozawa, M.; Chambers, J.K.; Uchida, K.; Nakayama, H. The Relation between canine cognitive dysfunction and age-related brain lesions. J. Vet. Med. Sci. 2016, 78, 997–1006. [Google Scholar] [CrossRef]
- Schütt, T.; Toft, N.; Berendt, M. Cognitive Function, Progression of Age-related Behavioral Changes, Biomarkers, and Survival in Dogs More Than 8 Years Old. J. Vet. Intern. Med. 2015, 29, 1569–1577. [Google Scholar] [CrossRef] [PubMed]
- Chung, C.G.; Lee, H.; Lee, S.B. Mechanisms of protein toxicity in neurodegenerative diseases. Cell. Mol. Life Sci. 2018, 75, 3159–3180. [Google Scholar] [CrossRef] [PubMed]
- Ahles, S.; Joris, P.J.; Plat, J. Effects of Berry Anthocyanins on Cognitive Performance, Vascular Function and Cardiometabolic Risk Markers: A Systematic Review of Randomized Placebo-Controlled Intervention Studies in Humans. Int. J. Mol. Sci. 2021, 22, 6482. [Google Scholar] [CrossRef] [PubMed]
- Ahles, S.; Stevens, Y.R.; Joris, P.J.; Vauzour, D.; Adam, J.; de Groot, E.; Plat, J. The Effect of Long-Term Aronia melanocarpa Extract Supplementation on Cognitive Performance, Mood, and Vascular Function: A Randomized Controlled Trial in Healthy, Middle-Aged Individuals. Nutrients 2020, 12, 2475. [Google Scholar] [CrossRef]
- Bonyadi, N.; Dolatkhah, N.; Salekzamani, Y.; Hashemian, M. Effect of berry-based supplements and foods on cognitive function: A systematic review. Sci. Rep. 2022, 12, 3239. [Google Scholar] [CrossRef]
- Li, S.; Guo, Y.; Men, J.; Fu, H.; Xu, T. The preventive efficacy of vitamin B supplements on the cognitive decline of elderly adults: A systematic review and meta-analysis. BMC Geriatr. 2021, 21, 367. [Google Scholar] [CrossRef]
- Farina, N.; Llewellyn, D.; Isaac, M.G.; Tabet, N. Vitamin E for Alzheimer’s dementia and mild cognitive impairment. Cochrane Database Syst. Rev. 2017, 1, CD002854. [Google Scholar] [CrossRef]
- Malouf, M.; Grimley, E.J.; Areosa, S.A. Folic acid with or without vitamin B12 for cognition and dementia. Cochrane Database Syst. Rev. 2003, CD004514. [Google Scholar] [CrossRef]
- Li, Z.; Peng, X.; Xiang, W.; Han, J.; Li, K. The effect of resistance training on cognitive function in the older adults: A systematic review of randomized clinical trials. Aging Clin. Exp. Res. 2018, 30, 1259–1273. [Google Scholar] [CrossRef]
- Meng, Q.; Yin, H.; Wang, S.; Shang, B.; Meng, X.; Yan, M.; Li, G.; Chu, J.; Chen, L. The effect of combined cognitive intervention and physical exercise on cognitive function in older adults with mild cognitive impairment: A meta-analysis of randomized controlled trials. Aging Clin. Exp. Res. 2022, 34, 261–276. [Google Scholar] [CrossRef]
- Jaiswal, V.; Park, M.; Lee, H.J. Comparative Transcriptome Analysis of the Expression of Antioxidant and Immunity Genes in the Spleen of a Cyanidin 3-O-Glucoside-Treated Alzheimer’s Mouse Model. Antioxidants 2021, 10, 1435. [Google Scholar] [CrossRef] [PubMed]
- Sanjay; Shin, J.H.; Park, M.; Lee, H.J. Cyanidin-3-O-Glucoside Regulates the M1/M2 Polarization of Microglia via PPARγ and Aβ42 Phagocytosis Through TREM2 in an Alzheimer’s Disease Model. Mol. Neurobiol. 2022, 59, 5135–5148. [Google Scholar] [CrossRef] [PubMed]
- Pan, Y.; Landsberg, G.; Mougeot, I.; Kelly, S.; Xu, H.; Bhatnagar, S.; Gardner, C.L.; Milgram, N.W. Efficacy of a Therapeutic Diet on Dogs With Signs of Cognitive Dysfunction Syndrome (CDS): A Prospective Double Blinded Placebo Controlled Clinical Study. Front. Nutr. 2018, 5, 127. [Google Scholar] [CrossRef] [PubMed]
- Jansen, W.J.; Ossenkoppele, R.; Knol, D.L.; Tijms, B.M.; Scheltens, P.; Verhey, F.R.; Visser, P.J.; Aalten, P.; Aarsland, D.; Alcolea, D.; et al. Prevalence of cerebral amyloid pathology in persons without dementia: A meta-analysis. Jama 2015, 313, 1924–1938. [Google Scholar] [CrossRef]
- Rijal Upadhaya, A.; Kosterin, I.; Kumar, S.; von Arnim, C.A.; Yamaguchi, H.; Fändrich, M.; Walter, J.; Thal, D.R. Biochemical stages of amyloid-β peptide aggregation and accumulation in the human brain and their association with symptomatic and pathologically preclinical Alzheimer’s disease. Brain A J. Neurol. 2014, 137, 887–903. [Google Scholar] [CrossRef]
- Viola, K.L.; Bicca, M.A.; Bebenek, A.M.; Kranz, D.L.; Nandwana, V.; Waters, E.A.; Haney, C.R.; Lee, M.; Gupta, A.; Brahmbhatt, Z.; et al. The Therapeutic and Diagnostic Potential of Amyloid β Oligomers Selective Antibodies to Treat Alzheimer’s Disease. Front. Neurosci. 2022, 15, 1798. [Google Scholar] [CrossRef]
- McGeer, P.L.; Guo, J.P.; Lee, M.; Kennedy, K.; McGeer, E.G. Alzheimer’s Disease Can Be Spared by Nonsteroidal Anti-Inflammatory Drugs. J. Alzheimer’s Dis. JAD 2018, 62, 1219–1222. [Google Scholar] [CrossRef]
- Urquiaga, I.; Leighton, F. Plant polyphenol antioxidants and oxidative stress. Biol. Res. 2000, 33, 55–64. [Google Scholar] [CrossRef]
- Yahfoufi, N.; Alsadi, N.; Jambi, M.; Matar, C. The Immunomodulatory and Anti-Inflammatory Role of Polyphenols. Nutrients 2018, 10, 1618. [Google Scholar] [CrossRef]
- Malireddy, S.; Kotha, S.R.; Secor, J.D.; Gurney, T.O.; Abbott, J.L.; Maulik, G.; Maddipati, K.R.; Parinandi, N.L. Phytochemical antioxidants modulate mammalian cellular epigenome: Implications in health and disease. Antioxid. Redox Signal. 2012, 17, 327–339. [Google Scholar] [CrossRef]
- Zafra-Stone, S.; Yasmin, T.; Bagchi, M.; Chatterjee, A.; Vinson, J.A.; Bagchi, D. Berry anthocyanins as novel antioxidants in human health and disease prevention. Mol. Nutr. Food Res. 2007, 51, 675–683. [Google Scholar] [CrossRef] [PubMed]
Publisher’s Note: MDPI stays neutral with regard to jurisdictional claims in published maps and institutional affiliations. |
© 2022 by the authors. Licensee MDPI, Basel, Switzerland. This article is an open access article distributed under the terms and conditions of the Creative Commons Attribution (CC BY) license (https://creativecommons.org/licenses/by/4.0/).

