Time-Synchronized Microwave Cavity Resonance Spectroscopy and Laser Light Extinction Measurements as a Diagnostic for Dust Particle Size and Dust Density in a Low-Pressure Radio-Frequency Driven Nanodusty Plasma
Abstract
1. Introduction
2. Experiment
2.1. Gas Handling and Plasma Generation
2.2. Microwave Cavity Resonance Spectroscopy
2.3. Laser Light Extinction
3. Methods
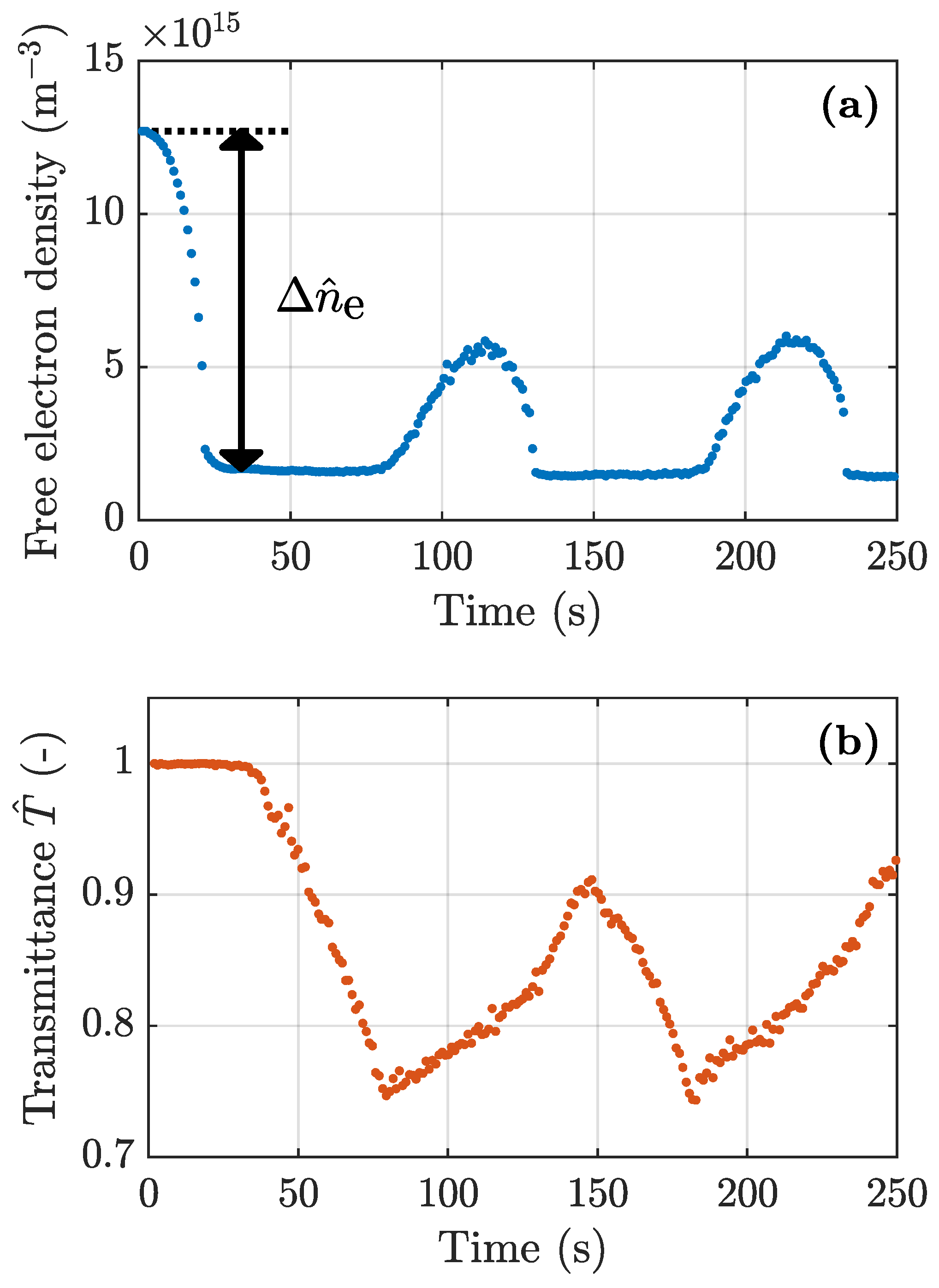
3.1. Measurement Data
3.2. Theory
3.2.1. Microwave Cavity Resonance Spectroscopy
3.2.2. Laser Light Extinction
3.3. Optimization Procedure
4. Results and Discussion
4.1. General Results
4.2. Sensitivity Analysis for the Electron Temperature and the Negative Ion Density
4.3. Influence of Changing Plasma Power on the Dust Particle Size and Dust Density
5. Conclusions
Author Contributions
Funding
Institutional Review Board Statement
Informed Consent Statement
Data Availability Statement
Acknowledgments
Conflicts of Interest
Abbreviations
| HMDSO | Hexamethyldisiloxane |
| LES | Light Extinction Spectroscopy |
| LIP | Laser-induced Photodetachment |
| MCRS | Microwave Cavity Resonance Spectroscopy |
| OML | Orbital Motion Limited |
| SEM | Scanning Electron Microscope |
| TIRE-LII | Time-resolved Laser-induced Incandescence |
| VNA | Vector Network Analyzer |
Appendix A
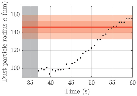
Appendix A.1. Comparison of the Retrieved Dust Particle Size to SEM Measurements

| # | Radius (nm) | # | Radius (nm) | # | Radius (nm) |
|---|---|---|---|---|---|
| 1 | 149.0 | 6 | 136.6 | 11 | 138.4 |
| 2 | 144.6 | 7 | 151.4 | 12 | 143.9 |
| 3 | 147.0 | 8 | 146.0 | 13 | 148.7 |
| 4 | 157.6 | 9 | 146.9 | 14 | 159.2 |
| 5 | 137.3 | 10 | 147.9 | 15 | 138.5 |
| Total: | |||||

References
- Melzer, A. Physics of Dusty Plasmas-An Introduction; Springer: Cham, Switzerland, 2019; Volume 962, p. 235. [Google Scholar] [CrossRef]
- Piel, A. Plasma Physics-An Introduction to Laboratory, Space and Fusion Plasmas, 2nd ed.; Springer: Berlin/Heidelberg, Germany, 2017. [Google Scholar]
- Bliokh, P.; Sinitsin, V.; Yaroshenko, V. Dusty and Self-Gravitational Plasmas of Planetary Rings. Springer: Dordrecht, The Netherlands, 1995; pp. 202–250. [Google Scholar] [CrossRef]
- Horányi, M. Charged dust dynamics in the Solar System. Annu. Rev. Astron. Astrophys. 2003, 34, 383–418. [Google Scholar] [CrossRef]
- Mendis, D.A. Progress in the study of dusty plasmas. Plasma Sources Sci. Technol. 2002, 11, A219. [Google Scholar] [CrossRef]
- Wahlund, J.E.; André, M.; Eriksson, A.I.E.; Lundberg, M.; Morooka, M.W.; Shafiq, M.; Averkamp, T.F.; Gurnett, D.A.; Hospodarsky, G.B.; Kurth, W.S.; et al. Detection of dusty plasma near the E-ring of Saturn. Planet. Space Sci. 2009, 57, 1795–1806. [Google Scholar] [CrossRef]
- Smith, B.A.; Soderblom, L.; Beebe, R.; Boyce, J.; Briggs, G.; Bunker, A.; Collins, S.A.; Hansen, C.J.; Johnson, T.V.; Mitchell, J.L.; et al. Encounter with Saturn: Voyager 1 Imaging Science Results. Science 1981, 212, 163–191. [Google Scholar] [CrossRef] [PubMed]
- Smith, B.A.; Soderblom, L.; Batson, R.; Bridges, P.; Inge, J.; Masursky, H.; Shoemaker, E.; Beebe, R.; Boyce, J.; Briggs, G.; et al. A New Look at the Saturn System: The Voyager 2 Images. Science 1982, 215, 504–537. [Google Scholar] [CrossRef]
- Krüger, H.; Bindschadler, D.; Dermott, S.F.; Graps, A.L.; Grün, E.; Gustafson, B.A.; Hamilton, D.P.; Hanner, M.S.; Horányi, M.; Kissel, J.; et al. Galileo dust data from the jovian system: 2000 to 2003. Planet. Space Sci. 2010, 58, 965–993. [Google Scholar] [CrossRef]
- Krüger, H.; Linkert, G.; Linkert, D.; Moissl, R.; Grün, E. Galileo long-term dust monitoring in the jovian magnetosphere. Planet. Space Sci. 2005, 53, 1109–1120. [Google Scholar] [CrossRef]
- Takeuchi, T.; Lin, D.N.C. Radial Flow of Dust Particles in Accretion Disks. Astrophys. J. 2002, 581, 1344–1355. [Google Scholar] [CrossRef]
- Selwyn, G.S. Optical characterization of particle traps. Plasma Sources Sci. Technol. 1994, 3, 340–347. [Google Scholar] [CrossRef]
- Scaccabarozzi, L.; Lammers, N.A.; Moors, R.; Banine, V. Particle Cleaning of EUV Reticles. J. Adhes. Sci. Technol. 2009, 23, 1603–1622. [Google Scholar] [CrossRef]
- Van De Kerkhof, M.; Yakunin, A.M.; Kvon, V.; Nikipelov, A.; Astakhov, D.; Krainov, P.; Banine, V. EUV-induced hydrogen plasma and particle release. Radiat. Eff. Defects Solids 2022, 2022, 486–512. [Google Scholar] [CrossRef]
- Van de Kerkhof, M.A.; Benschop, J.P.; Banine, V.Y. Lithography for now and the future. Solid-State Electron. 2019, 155, 20–26. [Google Scholar] [CrossRef]
- Bonitz, M.; Horing, N.; Ludwig, P. Introduction to Complex Plasmas; Springer: Berlin/Heidelberg, Germany, 2010; Volume 59. [Google Scholar] [CrossRef]
- Thomas, H.; Morfill, G.E.; Demmel, V.; Goree, J.; Feuerbacher, B.; Möhlmann, D. Plasma Crystal: Coulomb Crystallization in a Dusty Plasma. Phys. Rev. Lett. 1994, 73, 652. [Google Scholar] [CrossRef]
- Vasilieva, E.V.; Petrov, O.F.; Vasiliev, M.M. Laser-induced melting of two-dimensional dusty plasma system in RF discharge. Sci. Rep. 2021, 11, 523. [Google Scholar] [CrossRef]
- Hyde, T.W.; Kong, J.; Matthews, L.S. Helical structures in vertically aligned dust particle chains in a complex plasma. Phys. Rev. E 2013, 87, 53106. [Google Scholar] [CrossRef]
- Melzer, A.; Buttenschön, B.; Miksch, T.; Passvogel, M.; Block, D.; Arp, O.; Piel, A. Finite dust clusters in dusty plasmas. Plasma Phys. Control. Fusion 2010, 52, 124028. [Google Scholar] [CrossRef]
- Tadsen, B.; Greiner, F.; Groth, S.; Piel, A. Self-excited dust-acoustic waves in an electron-depleted nanodusty plasma. Phys. Plasmas 2015, 22, 113701. [Google Scholar] [CrossRef]
- Tadsen, B.; Greiner, F.; Piel, A. Probing a dusty magnetized plasma with self-excited dust-density waves. Phys. Rev. E 2018, 97, 33203. [Google Scholar] [CrossRef]
- Tadsen, B.; Greiner, F.; Piel, A. On the amplitude of dust-density waves in inhomogeneous dusty plasmas. Phys. Plasmas 2017, 24, 033704. [Google Scholar] [CrossRef]
- Melzer, A.; Krüger, H.; Schütt, S.; Mulsow, M. Dust-density waves in radio-frequency discharges under magnetic fields. Phys. Plasmas 2020, 27, 33704. [Google Scholar] [CrossRef]
- Killer, C.; Melzer, A. Global coherence of dust density waves. Phys. Plasmas 2014, 21, 63703. [Google Scholar] [CrossRef]
- Chutia, B.; Deka, T.; Bailung, Y. Spatiotemporal evolution of a self-excited dust density wave in a nanodusty plasma under strong Havnes effect. Phys. Plasmas 2021, 28, 123702. [Google Scholar] [CrossRef]
- Meijaard, P.; Staps, T.J.; Beckers, J. Step-wise excitation for the determination of the resonance frequency of a microparticle confined in a low pressure plasma. Phys. Plasmas 2021, 28, 083502. [Google Scholar] [CrossRef]
- Carstensen, J.; Jung, H.; Greiner, F.; Piel, A. Mass changes of microparticles in a plasma observed by a phase-resolved resonance method. Phys. Plasmas 2011, 18, 033701. [Google Scholar] [CrossRef]
- van Minderhout, B.; Peijnenburg, T.; Blom, P.; Vogels, J.; Kroesen, G.; Beckers, J. The charge of micro-particles in a low pressure spatial plasma afterglow. J. Phys. Appl. Phys. 2019, 52, 32LT03. [Google Scholar] [CrossRef]
- Van Minderhout, B.; Van Huijstee, J.C.A.; Platier, B.; Peijnenburg, T.; Blom, P.; Kroesen, G.M.W.; Beckers, J. Charge control of micro-particles in a shielded plasma afterglow. Plasma Sources Sci. Technol. 2020, 29, 11. [Google Scholar] [CrossRef]
- Staps, T.J.A.; Donders, T.J.M.; Platier, B.; Beckers, J. In-situ measurement of dust charge density in nanodusty plasma. J. Phys. D Appl. Phys. 2021, 55, 08LT01. [Google Scholar] [CrossRef]
- Van De Wetering, F.M.; Brooimans, R.J.; Nijdam, S.; Beckers, J.; Kroesen, G.M. Fast and interrupted expansion in cyclic void growth in dusty plasma. J. Phys. D Appl. Phys. 2015, 48, 035204. [Google Scholar] [CrossRef][Green Version]
- Beckers, J.; Stoffels, W.W.; Kroesen, G.M. Temperature dependence of nucleation and growth of nanoparticles in low pressure Ar/CH4 RF discharges. J. Phys. D Appl. Phys. 2009, 42, 155206. [Google Scholar] [CrossRef]
- Berndt, J.; Hong, S.; Kovačević, E.; Stefanović, I.; Winter, J. Dust particle formation in low pressure Ar/CH4 and Ar/C2H2 discharges used for thin film deposition. Vacuum 2003, 71, 377–390. [Google Scholar] [CrossRef]
- Bouchoule, A.; Boufendi, L. Particulate formation and dusty plasma behaviour in argon-silane RF discharge. Plasma Sources Sci. Technol. 1993, 2, 204. [Google Scholar] [CrossRef]
- Donders, T.; Staps, T.; Beckers, J. Characterization of cyclic dust growth in a low-pressure, radio-frequency driven argon-hexamethyldisiloxane plasma. J. Phys. D Appl. Phys. 2022, 55, 395203. [Google Scholar] [CrossRef]
- Despax, B.; Makasheva, K.; Caquineau, H. Cyclic powder formation during pulsed injection of hexamethyldisiloxane in an axially asymmetric radiofrequency argon discharge. J. Appl. Phys. 2012, 112. [Google Scholar] [CrossRef]
- Bouchoule, A. Dusty Plasmas: Physics, Chemistry and Technological Impacts in Plasma Processing; Wiley: Hoboken, NJ, USA, 1999; p. 408. [Google Scholar]
- Fridman, A.A.; Boufendi, L.; Hbid, T.; Potapkin, B.V.; Bouchoule, A. Dusty plasma formation: Physics and critical phenomena. Theoretical approach. J. Appl. Phys. 1998, 79, 1303. [Google Scholar] [CrossRef]
- Nunomura, S.; Shiratani, M.; Koga, K.; Kondo, M.; Watanabe, Y. Nanoparticle coagulation in fractionally charged and charge fluctuating dusty plasmas. Phys. Plasmas 2008, 15, 080703. [Google Scholar] [CrossRef]
- Herrebout, D.; Bogaerts, A.; Gijbels, R.; Goedheer, W.J.; Vanhulsel, A. A one-dimensional fluid model for an acetylene RF discharge: A study of the plasma chemistry. IEEE Trans. Plasma Sci. 2003, 31, 659–664. [Google Scholar] [CrossRef]
- Stoykov, S.; Eggs, C.; Kortshagen, U. Plasma chemistry and growth of nanosized particles in a C2H2 RF discharge. J. Phys. D Appl. Phys. 2001, 34, 2160. [Google Scholar] [CrossRef]
- Mao, M.; Benedikt, J.; Consoli, A.; Bogaerts, A. New pathways for nanoparticle formation in acetylene dusty plasmas. J. Phys. D Appl. Phys. 2008, 41, 225201. [Google Scholar] [CrossRef]
- Jiménez, M.; Tanarro, I.; Herrero, V.J. Time evolution of neutral and charged species in Ar/C2H2 capacitively-coupled RF discharges. Plasma Sources Sci. Technol. 2022, 31, 065003. [Google Scholar] [CrossRef]
- Kortshagen, U.R.; Bhandarkar, U.V.; Swihart, M.T.; Girshick, S.L. Generation and growth of nanoparticles in low-pressure plasmas. Pure Appl. Chem. 1999, 71, 1871–1877. [Google Scholar] [CrossRef]
- Warthesen, S.J.; Girshick, S.L. Numerical simulation of the spatiotemporal evolution of a nanoparticle-plasma system. Plasma Chem. Plasma Process. 2007, 27, 292–310. [Google Scholar] [CrossRef]
- Agarwal, P.; Girshick, S.L. Sectional modeling of nanoparticle size and charge distributions in dusty plasmas. Plasma Sources Sci. Technol. 2012, 21, 055023. [Google Scholar] [CrossRef][Green Version]
- De Bleecker, K.; Bogaerts, A.; Goedheer, W. Modelling of nanoparticle coagulation and transport dynamics in dusty silane discharges. N. J. Phys. 2006, 8, 178. [Google Scholar] [CrossRef]
- Greiner, F.; Melzer, A.; Tadsen, B.; Groth, S.; Killer, C.; Kirchschlager, F.; Wieben, F.; Pilch, I.; Krüger, H.; Block, D.; et al. Diagnostics and characterization of nanodust and nanodusty plasmas. Eur. Phys. J. D 2018, 72, 81. [Google Scholar] [CrossRef]
- Groth, S.; Greiner, F.; Tadsen, B.; Piel, A. Kinetic Mie ellipsometry to determine the time-resolved particle growth in nanodusty plasmas. J. Phys. D Appl. Phys. 2015, 48, 465203. [Google Scholar] [CrossRef]
- Groth, S.; Greiner, F.; Piel, A. Spatio-temporally resolved investigations of layered particle growth in a reactive argon-acetylene plasma. Plasma Sources Sci. Technol. 2019, 28, 115016. [Google Scholar] [CrossRef]
- Asnaz, O.H.; Jung, H.; Greiner, F.; Piel, A. Size and density evolution of a single microparticle embedded in a plasma. Phys. Plasmas 2017, 24, 83701. [Google Scholar] [CrossRef]
- Schepers, L.; Beckers, J.; IJzerman, W. Determination of microparticle characteristics in an etching plasma. Contrib. Plasma Phys. 2018, 58, 985–994. [Google Scholar] [CrossRef]
- Kohlmann, N.; Wieben, F.; Han Asnaz, O.; Block, D.; Greiner, F. High-precision in-situ size measurements of single microparticles in an RF plasma. Phys. Plasmas 2019, 26, 53701. [Google Scholar] [CrossRef]
- Onofri, F.R.; Wozniak, M.; Barbosa, S. On the Optical Characterisation of Nanoparticle and their Aggregates in Plasma Systems. Contrib. Plasma Phys. 2011, 51, 228–236. [Google Scholar] [CrossRef]
- Barbosa, S.; Onofri, F.R.; Couëdel, L.; Wozniak, M.; Montet, C.; Pelcé, C.; Arnas, C.; Boufendi, L.; Kovacevic, E.; Berndt, J.; et al. An introduction to light extinction spectrometry as a diagnostic for dust particle characterisation in dusty plasmas. J. Plasma Phys. 2016, 82, 1–24. [Google Scholar] [CrossRef]
- Eom, G.S.; Park, C.W.; Shin, Y.H.; Chung, K.H.; Park, S.; Choe, W.; Hahn, J.W. Size determination of nanoparticles in low-pressure plasma with laser-induced incandescence technique. Appl. Phys. Lett. 2003, 83, 1261–1263. [Google Scholar] [CrossRef][Green Version]
- Daun, K.J.; Stagg, B.J.; Liu, F.; Smallwood, G.J.; Snelling, D.R. Determining aerosol particle size distributions using time-resolved laser-induced incandescence. Appl. Phys. B Lasers Opt. 2007, 87, 363–372. [Google Scholar] [CrossRef]
- Sipkens, T.A.; Mansmann, R.; Daun, K.J.; Petermann, N.; Titantah, J.T.; Karttunen, M.; Wiggers, H.; Dreier, T.; Schulz, C. In situ nanoparticle size measurements of gas-borne silicon nanoparticles by time-resolved laser-induced incandescence. Appl. Phys. B Lasers Opt. 2014, 116, 623–636. [Google Scholar] [CrossRef]
- Yatom, S.; Bak, J.; Khrabryi, A.; Raitses, Y. Detection of nanoparticles in carbon arc discharge with laser-induced incandescence. Carbon 2017, 117, 154–162. [Google Scholar] [CrossRef]
- Van De Wetering, F.M.; Oosterbeek, W.; Beckers, J.; Nijdam, S.; Kovačević, E.; Berndt, J. Laser-induced incandescence applied to dusty plasmas. J. Phys. D Appl. Phys. 2016, 49, 295206. [Google Scholar] [CrossRef]
- Boufendi, L.; Hermann, J.; Bouchoule, A.; Dubreuil, B.; Stoffels, E.; Stoffels, W.W.; De Giorgi, M.L. Study of initial dust formation in an ArSiH4 discharge by laser induced particle explosive evaporation. J. Appl. Phys. 1994, 76, 148. [Google Scholar] [CrossRef]
- Smirnov, R.D.; West, W.P.; Krasheninnikov, S.I.; Pigarov, A.Y.; Rosenberg, M.; Bray, B.D. Laser-dust interaction and dust size distribution measurements on DIII-D. Phys. Plasmas 2007, 14, 112507. [Google Scholar] [CrossRef]
- Platier, B.; Staps, T.J.; Van Der Schans, M.; Ijzerman, W.L.; Beckers, J. Resonant microwaves probing the spatial afterglow of an RF plasma jet. Appl. Phys. Lett. 2019, 115, 254103. [Google Scholar] [CrossRef]
- Van Ninhuijs, M.A.; Daamen, K.A.; Franssen, J.G.; Conway, J.; Platier, B.; Beckers, J.; Luiten, O.J. Microwave cavity resonance spectroscopy of ultracold plasmas. Phys. Rev. A 2019, 100, 061801. [Google Scholar] [CrossRef]
- van der Schans, M.; Platier, B.; Koelman, P.; de Wetering, F.v.; Van Dijk, J.; Beckers, J.; Nijdam, S.; IJzerman, W. Decay of the electron density and the electron collision frequency between successive discharges of a pulsed plasma jet in N2. Plasma Sources Sci. Technol. 2019, 28, 035020. [Google Scholar] [CrossRef]
- Pozar, D.M. Microwave Engineering, 3rd ed.; John Wiley & Sons: Hoboken, NJ, USA, 2011. [Google Scholar]
- Mott-Smith, H.M.; Langmuir, I. The Theory of Collectors in Gaseous Discharges. Phys. Rev. 1926, 28, 727. [Google Scholar] [CrossRef]
- Schweigert, I.V.; Alexandrov, A.L.; Ariskin, D.A. Effect of nanoparticles on discharge plasma and first steps of their formation. Plasma Chem. Plasma Process. 2014, 34, 671–702. [Google Scholar] [CrossRef]
- Bhandarkar, U.V.; Swihart, M.T.; Girshick, S.L.; Kortshagen, U.R. Modelling of silicon hydride clustering in a low-pressure silane plasma. J. Phys. D Appl. Phys. 2000, 33, 2731. [Google Scholar] [CrossRef]
- De Bleecker, K.; Bogaerts, A.; Goedheer, W. Detailed modeling of hydrocarbon nanoparticle nucleation in acetylene discharges. Phys. Rev.-Stat. Nonlinear Soft Matter Phys. 2006, 73, 026405. [Google Scholar] [CrossRef]
- Trunec, D.; Zajíčková, L.; Buršíková, V.; Studnička, F.; Sťahel, P.; Prysiazhnyi, V.; Peřiná, V.; Houdkov, J.; Navártil, Z.; Franta, D. Deposition of hard thin films from HMDSO in atmospheric pressure dielectric barrier discharge. J. Phys. D Appl. Phys. 2010, 43, 225403. [Google Scholar] [CrossRef]
- Dworschak, M.; Asnaz, O.H.; Greiner, F. A minimally invasive electrostatic particle extractor for nanodusty plasmas and its application for the verification of in situ Mie polarimetry. Plasma Sources Sci. Technol. 2021, 30, 035011. [Google Scholar] [CrossRef]
- Killer, C.; Mulsow, M.; Melzer, A. Spatio-temporal evolution of the dust particle size distribution in dusty argon rf plasmas. Plasma Sources Sci. Technol. 2015, 24, 025029. [Google Scholar] [CrossRef]
- Chutia, B.; Deka, T.; Bailung, Y. A nanodusty plasma experiment to create extended dust clouds using reactive argon acetylene plasmas. Phys. Plasmas 2021, 28, 63703. [Google Scholar] [CrossRef]
- Mitic, S.; Pustylnik, M.Y.; Morfill, G.E.; Kovačević, E. In situ characterization of nanoparticles during growth by means of white light scattering. Opt. Lett. 2011, 36, 3699. [Google Scholar] [CrossRef]








| Author | Used Method | Precursor | Plasma Power (W) | (Total) Pressure (Pa) | Growth Time (s) | Dust Particle Size (nm) |
|---|---|---|---|---|---|---|
| Groth et al. [50] | Ellipsometry | C2H2 | 8 | 24 | 85 | 200 |
| Groth et al. [51] | Ellipsometry | C2H2 | 20 | 24 | 90 | 100 |
| Dworschak et al. [73] | Ellipsometry + AFM | C2H2 | 8 | 25 | 130 | 150 |
| Killer et al. [74] | Ellipsometry | C2H2 | 8 | 24 | 129 | 210 |
| Tadsen et al. [23] | Ellipsometry | C2H2 | 8 | 11.5 | 85 | 184 |
| Chutia et al. [75] | SEM | C2H2 | 1 | 20 | 600 | 300 |
| Van de Wetering et al. [61] | LII | C2H2 | 7 | 10 | 100–165 | |
| Mitic et al. [76] | White light scattering | C2H2 | 0.3 | 20 | 150 | 260 |
| Eom et al. [57] | TiRe-LII | SiH4 | 5 | 2.7 | 1000 | 200 |
Publisher’s Note: MDPI stays neutral with regard to jurisdictional claims in published maps and institutional affiliations. |
© 2022 by the authors. Licensee MDPI, Basel, Switzerland. This article is an open access article distributed under the terms and conditions of the Creative Commons Attribution (CC BY) license (https://creativecommons.org/licenses/by/4.0/).
Share and Cite
Donders, T.; Staps, T.; Beckers, J. Time-Synchronized Microwave Cavity Resonance Spectroscopy and Laser Light Extinction Measurements as a Diagnostic for Dust Particle Size and Dust Density in a Low-Pressure Radio-Frequency Driven Nanodusty Plasma. Appl. Sci. 2022, 12, 12013. https://doi.org/10.3390/app122312013
Donders T, Staps T, Beckers J. Time-Synchronized Microwave Cavity Resonance Spectroscopy and Laser Light Extinction Measurements as a Diagnostic for Dust Particle Size and Dust Density in a Low-Pressure Radio-Frequency Driven Nanodusty Plasma. Applied Sciences. 2022; 12(23):12013. https://doi.org/10.3390/app122312013
Chicago/Turabian StyleDonders, Tim, Tim Staps, and Job Beckers. 2022. "Time-Synchronized Microwave Cavity Resonance Spectroscopy and Laser Light Extinction Measurements as a Diagnostic for Dust Particle Size and Dust Density in a Low-Pressure Radio-Frequency Driven Nanodusty Plasma" Applied Sciences 12, no. 23: 12013. https://doi.org/10.3390/app122312013
APA StyleDonders, T., Staps, T., & Beckers, J. (2022). Time-Synchronized Microwave Cavity Resonance Spectroscopy and Laser Light Extinction Measurements as a Diagnostic for Dust Particle Size and Dust Density in a Low-Pressure Radio-Frequency Driven Nanodusty Plasma. Applied Sciences, 12(23), 12013. https://doi.org/10.3390/app122312013

