Voltammetric and Spectroscopic Investigation of Electrogenerated Oligo-Thiophenes: Effect of Substituents on the Energy-Gap Value
Abstract
Featured Application
Abstract
1. Introduction
2. Materials and Methods
3. Results and Discussion
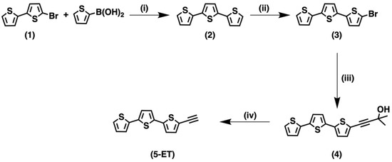
3.1. Synthesis
3.2. Characterization of Monomers
3.3. Electrochemical Polymerization and Polymer Characterization
4. Conclusions
Author Contributions
Funding
Institutional Review Board Statement
Informed Consent Statement
Data Availability Statement
Conflicts of Interest
References
- Dzulkurnain, N.A.; Mokhtar, M.; Rashid, J.I.A.; Knight, V.F.; Wan Yunus, W.M.Z.; Ong, K.K.; Mohd Kasim, N.A.; Mohd Noor, S.A. A review on impedimetric and voltammetric analysis based on polypyrrole conducting polymers for electrochemical sensing applications. Polymers 2021, 13, 2728. [Google Scholar] [CrossRef]
- Lu, H.; Li, X.; Lei, Q. Conjugated Conductive Polymer Materials and its Applications: A Mini-Review. Front. Chem. 2021, 9, 6–11. [Google Scholar] [CrossRef]
- Meloni, F.; Pilo, M.I.; Sanna, G.; Spano, N.; Zucca, A. Ru(terpy)-Based Conducting Polymer in Electrochemical Biosensing of Epinephrine. Appl. Sci. 2021, 11, 2065. [Google Scholar] [CrossRef]
- Meloni, F.; Spychalska, K.; Zając, D.; Pilo, M.I.; Zucca, A.; Cabaj, J. Application of a Thiadiazole-derivative in a Tyrosinase-based Amperometric Biosensor for Epinephrine Detection. Electroanalysis 2021, 33, 1639–1645. [Google Scholar] [CrossRef]
- Pilo, M.; Farre, R.; Lachowicz, J.I.; Masolo, E.; Panzanelli, A.; Sanna, G.; Senes, N.; Sobral, A.; Spano, N. Design of Amperometric Biosensors for the Detection of Glucose Prepared by Immobilization of Glucose Oxidase on Conducting (Poly)Thiophene Films. J. Anal. Methods Chem. 2018, 2018, 1849439. [Google Scholar] [CrossRef]
- Ramanavicius, S.; Ramanavicius, A. Conducting polymers in the design of biosensors and biofuel cells. Polymers 2021, 13, 49. [Google Scholar] [CrossRef]
- Bergamini, G.; Boselli, L.; Ceroni, P.; Manca, P.; Sanna, G.; Pilo, M. Terthiophene appended with terpyridine units as receptors for Protons and Zn2+ions: Photoinduced energy and electron transfer processes. Eur. J. Inorg. Chem. 2011, 2011, 4590–4595. [Google Scholar] [CrossRef]
- Jiang, Y.; Liu, T.; Zhou, Y. Recent Advances of Synthesis, Properties, Film Fabrication Methods, Modifications of Poly(3,4-ethylenedioxythiophene), and Applications in Solution-Processed Photovoltaics. Adv. Funct. Mater. 2020, 30, 2006213. [Google Scholar] [CrossRef]
- Logothetidis, S. Flexible organic electronic devices: Materials, process and applications. Mater. Sci. Eng. B Solid-State Mater. Adv. Technol. 2008, 152, 96–104. [Google Scholar] [CrossRef]
- Manca, P.; Pilo, M.I.; Sanna, G.; Bergamini, G.; Ceroni, P.; Boaretto, R.; Caramori, S. Heteroleptic Ru (II)-terpyridine complex and its metal-containing conducting polymer: Synthesis and characterization. Synth. Met. 2015, 200, 109–116. [Google Scholar] [CrossRef]
- Roncali, J. Molecular engineering of the band gap of π-conjugated systems: Facing technological applications. Macromol. Rapid Commun. 2007, 28, 1761–1775. [Google Scholar] [CrossRef]
- Saito, Y.; Azechi, T.; Kitamura, T.; Hasegawa, Y.; Wada, Y.; Yanagida, S. Photo-sensitizing ruthenium complexes for solid state dye solar cells in combination with conducting polymers as hole conductors. Coord. Chem. Rev. 2004, 248, 1469–1478. [Google Scholar] [CrossRef]
- Saranya, K.; Rameez, M.; Subramania, A. Developments in conducting polymer based counter electrodes for dye-sensitized solar cells—An overview. Eur. Polym. J. 2015, 66, 207–227. [Google Scholar] [CrossRef]
- Hong, X.; Liu, Y.; Li, Y.; Wang, X.; Fu, J.; Wang, X. Application Progress of Polyaniline, Polypyrrole and Polythiophene in Lithium-Sulfur Batteries Xiaodong. Polymers 2020, 12, 331. [Google Scholar] [CrossRef]
- Kondratiev, V.V.; Holze, R. Intrinsically conducting polymers and their combinations with redox-active molecules for rechargeable battery electrodes: An update. Chem. Pap. 2021, 75, 4981–5007. [Google Scholar] [CrossRef]
- Bhosale, M.E.; Chae, S.; Kim, J.M.; Choi, J.Y. Organic small molecules and polymers as an electrode material for rechargeable lithium ion batteries. J. Mater. Chem. A 2018, 6, 19885–19911. [Google Scholar] [CrossRef]
- Ashassi-Sorkhabi, H.; Kazempour, A. Incorporation of organic/inorganic materials into polypyrrole matrix to reinforce its anticorrosive properties for the protection of steel alloys: A review. J. Mol. Liq. 2020, 309, 113085. [Google Scholar] [CrossRef]
- Merz, A.; Uebel, M.; Rohwerder, M. The Protection Zone: A Long-Range Corrosion Protection Mechanism around Conducting Polymer Particles in Composite Coatings: Part I. Polyaniline and Polypyrrole. J. Electrochem. Soc. 2019, 166, C304–C313. [Google Scholar] [CrossRef]
- Riaz, U.; Nwaoha, C.; Ashraf, S.M. Recent advances in corrosion protective composite coatings based on conducting polymers and natural resource derived polymers. Prog. Org. Coat. 2014, 77, 743–756. [Google Scholar] [CrossRef]
- Ning, C.; Zhou, Z.; Tan, G.; Zhu, Y.; Mao, C. Electroactive polymers for tissue regeneration: Developments and perspectives. Prog. Polym. Sci. 2018, 81, 144–162. [Google Scholar] [CrossRef]
- Stejskal, J.; Sapurina, I.; Vilčáková, J.; Humpolíček, P.; Truong, T.H.; Shishov, M.A.; Trchová, M.; Kopecký, D.; Kolská, Z.; Prokeš, J.; et al. Conducting polypyrrole-coated macroporous melamine sponges: A simple toy or an advanced material? Chem. Pap. 2021, 75, 5035–5055. [Google Scholar] [CrossRef]
- Manca, P.; Pilo, M.I.; Casu, G.; Gladiali, S.; Sanna, G.; Scanu, R.; Spano, N.; Zucca, A.; Zanardi, C.; Bagnis, D.; et al. A new terpyridine tethered polythiophene: Electrosynthesis and characterization. J. Polym. Sci. Part A Polym. Chem. 2011, 49, 3513–3523. [Google Scholar] [CrossRef]
- Roncali, J. Conjugated Poly (thiophenes): Synthesis, Functionalization, and Applications. Chem. Rev. 1992, 92, 711–738. [Google Scholar] [CrossRef]
- Roncali, J. Synthetic principles for bandgap control in linear π-conjugated systems. Chem. Rev. 1997, 97, 173–205. [Google Scholar] [CrossRef] [PubMed]
- Roncali, J.; Garnier, F.; Lemaire, M.; Garreau, R. Poly mono-, bi- and trithiophene: Effect of oligomer chain length on the polymer properties. Synth. Met. 1986, 15, 323–331. [Google Scholar] [CrossRef]
- Zotti, G.; Schiavon, G. Evolution of in situ conductivity of polythiophene deposits by potential cycling. Synth. Met. 1990, 39, 183–190. [Google Scholar] [CrossRef]
- Manca, P.; Gladiali, S.; Cozzula, D.; Zucca, A.; Sanna, G.; Spano, N.; Pilo, M.I. Oligo-thiophene tethered 1,10-phenanthroline as N-chelating moiety. Electrochemical and optical characterization of the π-conjugated molecule and of the relevant conducting polymer and metallopolymers. Polymer 2015, 56, 123–130. [Google Scholar] [CrossRef]
- Zanardi, C.; Scanu, R.; Pigani, L.; Pilo, M.I.; Sanna, G.; Seeber, R.; Spano, N.; Terzi, F.; Zucca, A. Synthesis and electrochemical polymerisation of 3′-functionalised terthiophenes. Electrochemical and spectroelectrochemical characterisation. Electrochim. Acta 2006, 51, 4859–4864. [Google Scholar] [CrossRef]
- Holliday, B.J.; Swager, T.M. Conducting metallopolymers: The roles of molecular architecture and redox matching. Chem. Commun. 2005, 2005, 23–36. [Google Scholar] [CrossRef]
- Fabrizi De Biani, F.; Reale, A.; Razzano, V.; Paolino, M.; Giuliani, G.; Donati, A.; Giorgi, G.; Mróz, W.; Piovani, D.; Botta, C.; et al. Electrochemical and optoelectronic properties of terthiophene- and bithiophene-based polybenzofulvene derivatives. RSC Adv. 2018, 8, 10836–10847. [Google Scholar] [CrossRef]
- Hinkens, D.M.; Chen, Q.; Siddiki, M.K.; Gosztola, D.; Tapsak, M.A.; Qiao, Q.; Jeffries-El, M.; Darling, S.B. Model compounds based on poly(p-phenylenevinyleneborane) and terthiophene: Investigating the p-n junction in diblock copolymers. Polymer 2013, 54, 3510–3520. [Google Scholar] [CrossRef]
- Zhao, X.; Piliego, C.; Kim, B.; Poulsen, D.A.; Ma, B.; Unruh, D.A.; Fréchet, J.M.J. Solution-processable crystalline platinum-acetylide oligomers with broadband absorption for photovoltaic cells. Chem. Mater. 2010, 22, 2325–2332. [Google Scholar] [CrossRef]
- Zhu, Y.; Millet, D.B.; Wolf, M.O.; Rettig, S.J. Models for conjugated metal acetylide polymers: Ruthenium oligothienylacetylide complexes. Organometallics 1999, 18, 1930–1938. [Google Scholar] [CrossRef]
- Fulmer, G.R.; Miller, A.J.M.; Sherden, N.H.; Gottlieb, H.E.; Nudelman, A.; Stoltz, B.M.; Bercaw, J.E.; Goldberg, K.I. NMR chemical shifts of trace impurities: Common laboratory solvents, organics, and gases in deuterated solvents relevant to the organometallic chemist. Organometallics 2010, 29, 2176–2179. [Google Scholar] [CrossRef]
- Hou, J.; Huo, L.; He, C.; Yang, C.; Li, Y. Synthesis and absorption spectra of poly(3-(phenylenevinyl)thiophene)s with conjugated side chains. Macromolecules 2006, 39, 594–603. [Google Scholar] [CrossRef]
- Granovsky, A.A. Firefly Version 7.1.G. Available online: http://classic.chem.msu.su/gran/firefly/index.html (accessed on 16 October 2022).
- Schmidt, M.W.; Baldridge, K.K.; Boatz, J.A.; Elbert, S.T.; Gordon, M.S.; Jensen, J.H.; Koseki, S.; Matsunaga, N.; Nguyen, K.A.; Su, S.; et al. General atomic and molecular electronic structure system. J. Comput. Chem. 1993, 14, 1347–1363. [Google Scholar] [CrossRef]
- Perdew, J.P.; Ernzerhof, M.; Burke, K. Rationale for mixing exact exchange with density functional approximations. J. Chem. Phys. 1996, 105, 9982–9985. [Google Scholar] [CrossRef]
- Weigend, F.; Ahlrichs, R. Balanced basis sets of split valence, triple zeta valence and quadruple zeta valence quality for H to Rn: Design and assessment of accuracy. Phys. Chem. Chem. Phys. 2005, 7, 3297–3305. [Google Scholar] [CrossRef]
- Hohenberg, P.; Kohn, W. Inhomogeneous Electron Gas. Phys. Rev. 1964, 136, B864–B871. [Google Scholar] [CrossRef]
- Avogadro: An Open-Source Molecular Builder and Visualization Tool. Version 1.0.3. Available online: http://avogadro.cc/ (accessed on 16 October 2022).
- Allouche, A. Software News and Updates Gabedit—A Graphical User Interface for Computational Chemistry Softwares. J. Comput. Chem. 2011, 32, 174–182. [Google Scholar] [CrossRef]
- Bauerle, P.; Wurthner, F.; Gotz, G.; Effenberger, F. Selective Synthesis of alfa-Substitued Oligothiophenes. Synthesis 1993, 1993, 1099–1103. [Google Scholar] [CrossRef]
- Jadamiec, M.; Lapkowski, M.; Matlengiewicz, M.; Brembilla, A.; Henry, B.; Rodehüser, L. Electrochemical and spectroelectrochemical evidence of dimerization and oligomerization during the polymerization of terthiophenes. Electrochim. Acta 2007, 52, 6146–6154. [Google Scholar] [CrossRef]
- Diáz, F.R.; Jessop, I.; Núñez, C.; Del Valle, M.A.; Zamora, P.P.; Bernède, J.C. Electrochemical synthesis of poly(3′-alkylterthiophenes). Characterization and applications. Polym. Bull. 2012, 68, 1801–1813. [Google Scholar] [CrossRef][Green Version]
- Barbarella, G.; Zambianchi, M.; Bongini, A.; Antolini, L. The Deformability of the Thiophene Ring: A Key to the Understanding of the Conformational Properties of Oligo- and Polythiophenes. Adv. Mater. 1993, 5, 834. [Google Scholar] [CrossRef]








| Compound | Eox (V) | Eox,onset (V) | |||
|---|---|---|---|---|---|
| CH2Cl2/TEAPF6 0.1 M | CH3CN/TEAPF6 0.1 M | CH2Cl2/TEAPF6 0.1 M | CH3CN/TEAPF6 0.1 M | HOMO (eV) | |
| 2,2′:5′,2″-terthiophene (2) | 1.13 | 1.05 | 0.97 | 0.95 | −5.66 |
| 5-Br-terthiophene (3) | 1.21 | 1.13 | 0.99 | 0.92 | −5.63 |
| 5-ethynyl-terthiophene (5-ET) | 1.15 | 1.12 | 0.93 | 0.91 | −5.62 |
| 3′-ethynyl-terthiophene (3′-ET) | 1.26 | 1.19 | 1.00 | 1.01 | −5.72 |
| λmax (nm) | Eg,opt (eV) | |||||
|---|---|---|---|---|---|---|
| CH2Cl2 | CH3CN | Calculated | CH2Cl2 | CH3CN | Calculated | |
| 2,2′:5′:2″-terthiophene (2) | 355 | 358 | 364 | 3.10 | 3.10 | 3.41 |
| 5-Br-terthiophene (3) | 359 | 359 | 374 | 3.04 | 3.04 | 3.32 |
| 5-ethynyl-terthiophene (5-ET) | 383 | 379 | 388 | 2.88 | 2.88 | 3.20 |
| 3′-ethynyl-terthiophene (3′-ET) | 352 | 348 | 375 | 2.90 | 2.95 | 3.31 |
| PBE96 | OLYP | B3LYP5 | B3PW91 | BHHLYP | O3LYP5 | PBE0 | ||
|---|---|---|---|---|---|---|---|---|
| 3-21G | Time (min) | 85.6 | 123.8 | 94.9 | 100.2 | 91.1 | 99.1 | 82.9 |
| % AE (dist) | 2.65 | 2.49 | 2.31 | 2.02 | 1.91 | 1.76 | 1.85 | |
| % AE (ang) | 3.06 | 21.24 | 3.47 | 3.63 | 4.69 | 3.46 | 1.68 | |
| % AE (all) | 2.70 | 4.83 | 2.45 | 2.22 | 2.26 | 1.97 | 1.83 | |
| 6-31G | Time (min) | 150.2 | 167.1 | 113.3 | 166.1 | 137.4 | 113.9 | 148.3 |
| % AE (dist) | 2.63 | 2.49 | 2.33 | 2.01 | 1.70 | 1.77 | 1.87 | |
| % AE (ang) | 1.74 | 15.22 | 4.63 | 5.95 | 5.84 | 4.75 | 3.85 | |
| % AE (all) | 2.52 | 4.08 | 2.61 | 2.50 | 2.22 | 2.14 | 2.12 | |
| MC | Time (min) | 269.4 | 392 | 360.9 | 348.2 | 255.9 | 311.9 | 320.6 |
| % AE (dist) | 2.54 | 2.37 | 2.23 | 1.89 | 1.70 | 1.63 | 2.13 | |
| % AE (ang) | 4.78 | 20.95 | 8.76 | 10.09 | 9.15 | 8.56 | 6.57 | |
| % AE (all) | 2.82 | 4.69 | 3.05 | 2.92 | 2.63 | 2.49 | 2.69 | |
| def2-SVP | Time (min) | 445.9 | 476.2 | 382 | 435.3 | 523.9 | 455.4 | 470.6 |
| % AE (dist) | 1.28 | 1.14 | 1.01 | 0.72 | 0.34 | 0.70 | 0.63 | |
| % AE (ang) | 5.53 | 12.93 | 5.19 | 6.67 | 7.69 | 5.41 | 4.77 | |
| % AE (all) | 1.81 | 2.62 | 1.54 | 1.47 | 1.26 | 1.29 | 1.15 | |
| Eox (V) | Erid (V) | HOMO (eV) | LUMO (eV) | Eg,ec (eV) | Eg,opt (eV) | |
|---|---|---|---|---|---|---|
| Poly-2 | 1.24 | −1.44 | −5.68 | −3.34 | 2.34 | 2.08 |
| Poly-3 | 1.28 | −1.48 | −5.81 | −3.35 | 2.46 | 2.21 |
| Poly-5-ET | 0.93 | −1.68 | −5.37 | −3.63 | 1.74 | 1.89 |
| Poly-3′-ET | 1.05 | −1.73 | −5.47 | −3.40 | 2.07 | 2.06 |
Publisher’s Note: MDPI stays neutral with regard to jurisdictional claims in published maps and institutional affiliations. |
© 2022 by the authors. Licensee MDPI, Basel, Switzerland. This article is an open access article distributed under the terms and conditions of the Creative Commons Attribution (CC BY) license (https://creativecommons.org/licenses/by/4.0/).
Share and Cite
Pilo, M.I.; Masolo, E.; Maidich, L.; Manca, P.; Sanna, G.; Spano, N.; Zucca, A. Voltammetric and Spectroscopic Investigation of Electrogenerated Oligo-Thiophenes: Effect of Substituents on the Energy-Gap Value. Appl. Sci. 2022, 12, 11714. https://doi.org/10.3390/app122211714
Pilo MI, Masolo E, Maidich L, Manca P, Sanna G, Spano N, Zucca A. Voltammetric and Spectroscopic Investigation of Electrogenerated Oligo-Thiophenes: Effect of Substituents on the Energy-Gap Value. Applied Sciences. 2022; 12(22):11714. https://doi.org/10.3390/app122211714
Chicago/Turabian StylePilo, Maria I., Elisabetta Masolo, Luca Maidich, Paola Manca, Gavino Sanna, Nadia Spano, and Antonio Zucca. 2022. "Voltammetric and Spectroscopic Investigation of Electrogenerated Oligo-Thiophenes: Effect of Substituents on the Energy-Gap Value" Applied Sciences 12, no. 22: 11714. https://doi.org/10.3390/app122211714
APA StylePilo, M. I., Masolo, E., Maidich, L., Manca, P., Sanna, G., Spano, N., & Zucca, A. (2022). Voltammetric and Spectroscopic Investigation of Electrogenerated Oligo-Thiophenes: Effect of Substituents on the Energy-Gap Value. Applied Sciences, 12(22), 11714. https://doi.org/10.3390/app122211714

