Abstract
Currently, ceramics are widely used in various industry branches, especially in energy, chemistry, and aerospace, as well as in medicine. Yttria-stabilized zirconia (YSZ) having unique electrical, thermal, and mechanical properties is one of the most popular ceramics for such applications. In this study, the influence of sintering temperature and yttria percentage on the microstructure and mechanical behavior of YSZ ceramics have been investigated. Corresponding mixtures of ZrO2 powder doped with 3 and 6 mol% Y2O3 powders (hereinafter: 3YSZ and 6YSZ) were prepared, and a series of ceramic specimens were sintered in argon at 1450 °C, 1500 °C, and 1550 °C for 2 h. Changes in the morphology and size of microstructural components as well as their distribution were analyzed with respect to the sintering mode, phase composition, flexural strength, and fracture surface morphology. The 3YSZ and 6YSZ ceramics sintered for 2 h at 1550 °C and 1450 °C, respectively, exhibited the highest levels of strength due to the presence of agglomerates of fine tetragonal zirconia phase particles with high bond strength, as well as larger grains of the monoclinic zirconia phase. The dominant fracture micromechanisms in both the 3YSZ and 6YSZ ceramics related to their high strength are discussed.
1. Introduction
Perfect properties of ZrO2-based ceramics (zirconia) such as high bending strength and fracture toughness, as well as their high chemical stability and biocompatibility [1,2], allow these ceramics to be widely used in the manufacturing of various high-temperature components and units [3,4,5,6,7], as well as in chemical industry [8,9,10], energy generation [11,12], and biomedical applications, in particular, for the manufacture of dental and other implants [13,14] and prostheses [15,16,17]. In dentistry, zirconia ceramics are used for the manufacture of frameworks for dental prostheses, monolithic restorations [18,19,20,21,22,23], as well as abutments for implants, inlay- and onlay-bridges, and single crowns [24].
Previously published results [1,25,26,27] showed that transformation strengthening of zirconia occurs as a result of the transformation of the tetragonal (t) phase into the monoclinic (m) one under significant stresses, especially in the crack tip vicinity, which effectively decelerates the advancing cracks. Therefore, improved mechanical properties of the ceramics can be ensured due to the tetragonal phase present in the ceramic microstructure. For stabilizing the metastable tetragonal phase at ambient temperature, zirconia ceramics are doped with the following stabilizing oxides: Y2O3 [28,29,30], CeO2 [31,32], CaO [33], and MgO [34].
In the zirconia-based ceramics containing 5.29 wt.% Y2O3 and 0.005 wt.% Al2O3, non-uniform distribution of Y2O3, grain growth during sintering at elevated temperatures, and significant percentage of the cubic (c) zirconia phase, formed under these conditions, were found to retard the tetragonal–monoclinic (t-m) transformation and, as a result, transformation strengthening of the material [18]. Numerous works [1,25,26] indicated that zirconia ceramics stabilized with 2–3 mol% Y2O3 contain a significant fraction of the tetragonal phase and, therefore, show the highest tendency towards transformation strengthening. Ceramics, the microstructure of which is formed by 0.3–0.4 μm grains of the tetragonal phase, are widely utilized in dentistry [2]. In tetragonal zirconia stabilized with yttria (Y-TZP) after sintering for 2 h at 1550 °C, the grain size was 0.3–0.7 μm [35]. In Reference [17], it was shown that the t-ZrO2 phase became more stable with decreasing grain size. When the average size of grains in the microstructure decreases to values smaller than the critical one, namely 0.3 μm, the t-ZrO2 phase is stabilized at ambient temperature [36].
Based on the study of Y-TZP ceramics [20], variations in the sintering mode were shown to affect the material microstructure and properties. In particular, a change in the exposure time can affect the grain size. This, in turn, causes a change in strength of these ceramics. The flexural strength of ceramics sintered for 60 min at 1350 °C was found to be 1080 MPa, and this of ceramics sintered for 180 min at 1550 °C increased to 1604 MPa. In the first case, a fine microstructure with grains ranged within 0.1–0.4 μm was observed. However, in the second case, the prevailing grain size was 0.5–0.8 μm, with a certain percentage of much larger grains with up to 0.9–1.3 μm size. Such grain growth caused corresponding changes in mechanical behavior of the material.
The influence of the percentage of ZrO2 on fracture toughness and strength of zirconia-toughened alumina was investigated in Reference [37]. The studied specimens comprised the α-Al2O3 phase and the tetragonal and monoclinic ZrO2 phases. With an increase in the total ZrO2 percentage, the fraction of the t-ZrO2 phase decreased. Growth of the Al2O3 crystals was efficiently inhibited with the addition of 10–20% ZrO2. This, in turn, improved mechanical properties of the materials. According to [38], both the fracture toughness and strength should be determined for a complete characterization of mechanical behavior of zirconia-based ceramics.
In our earlier works [39,40], the mechanical behavior of YSZ ceramics stabilized by 3–5 mol% Y2O3 was investigated with respect to the material composition and phase balance. The highest fracture toughness was revealed for 5YSZ ceramics sintered for 2 h at 1450 °C. For this ceramic material, the correlation between fracture toughness and a percentage of the t-ZrO2 phase was found [39]. In the work [40], mechanical properties of YSZ ceramics doped with 6–8 mol% Y2O3 were investigated in relation to the sintering mode and phase balance. 7YSZ ceramics sintered at 1600 °C for 2 h exhibited the highest crack growth resistance. This corresponds to the previously published results [41].
In the work [42], the effect of the addition of 3 to 8 mol% Y2O3 to ZrO2 on microstructure and mechanical behavior of YSZ ceramics sintered for 2 h in argon at 1550 °C has been investigated. The correlations between the yttria percentage, grain size distribution, phase balance, and strength were analyzed. It was revealed that 7YSZ ceramic had the highest strength. Such excellent characteristics are provided by m-ZrO2 and t-ZrO2 fine-grained microstructure.
A number of works [18,43,44] indicated that the sintering temperature of zirconia-based ceramics can significantly affect their porosity, grain size, and the resulting mechanical properties. In Reference [43], the zirconia compacts containing 0 mol% Y2O3 exhibited a completely m-ZrO2 structure already after pressing; although for ceramics with 1.5 mol% Y2O3, a completely t-ZrO2 structure was obtained only after sintering at 1100 °C. For zirconia ceramics containing 8 mol% Y2O3, a completely c-ZrO2 structure was obtained during pressing. After pressing, pores with a prevailing diameter of 10 nm were observed in all the compacts, and the maximum pore diameter reached 12.5 nm. Powder compacts containing 0 mol% Y2O3 (only the m-ZrO2 phase) exhibited an increase in the pore diameter when the temperature rose to about 600 °C. For the higher temperatures (up to 1100 °C), significant grain growth and decreased porosity were observed, and sample compaction occurred. Similarly, powder compacts containing 1.5 mol% Y2O3 and 8 mol% Y2O3 showed an increase in the pore diameter when the sintering temperature increases to about 600 °C. For the higher temperatures (up to 1100 °C), slight growth of grains, as well as gradual closing of pores and significant densification of the sample, was observed.
In Reference [44], the powder compacts of ZrO2–3 mol% Y2O3 were characterized by a uniform distribution of pores with a diameter of less than 8 nm. After sintering (1070 °C, 2 h), very high-density ceramics (grain size of about 80 nm) exhibiting defect-free microstructure were obtained. The absence of defects was explained by a fairly low sintering temperature.
The aim of this study was to detect correlations between the sintering temperature, yttria percentage, phase composition, microstructure features, and mechanical characteristics of YSZ ceramics. While our previous works on YSZ ceramics had mainly been focused on the effect of yttria percentages (3–5 mol%, 6–8 mol%), this one, in contrast to them, explores changes in the microstructure of YSZ ceramics with a gradual increase in sintering temperature. Thus, this work became crucial in determining optimal sintering mode for providing high mechanical strength of material. The dominant fracture micromechanisms in the studied ceramics related to their strength are discussed.
2. Materials and Methods
The investigated yttria-stabilized zirconia (hereinafter YSZ) was prepared using commercial powders of yttria and zirconia fabricated at the Vol’nogorskii Mining and Smelting Plant, Vol’nogorsk, Ukraine. Corresponding powders were characterized by the average particle sizes as follows: 10–30 nm for Y2O3 and 100–150 nm for ZrO2. Rectangle beam samples of YSZ ceramics doped with 3 and 6 mol% Y2O3 (hereinafter 3YSZ and 6YSZ), of the size 4.2 × 4.2 × 50 mm3, were produced by sintering for 2 h at 1450 °C, 1500 °C, and 1550 °C in an electric resistance furnace in argon. Preparation of powder mixture and selection of sintering modes have been thoroughly described in our earlier paper [39]. Slow polishing of the samples was carried out with a metallographic polishing machine to avoid phase transformations and reach the required surface quality.
Standard preparation techniques were utilized to prepare samples for imaging and chemical analysis. They were cut on Struers Accutom 50 with a diamond disk, mounted in epoxy resin, and polished using a Struers Tegramin machine (Struers, Copenhagen, Denmark) with a set of SiC papers and diamond suspensions. The samples were analyzed without etching or coating.
Both optical Olympus DSX1000 (Olympus, Tokyo, Japan) and scanning electron microscope (SEM) Hitachi SU3500 (Hitachi, Tokyo, Japan) were used for the microstructure and fracture surface characterizations of ceramics. In an assemble with the last one, Oxford energy dispersive X-ray spectroscopy system (EDS) was provided. Additionally, Hitachi SU3900 SEM with Bruker EDS and Esprit software (Bruker, Billerica, MA, USA) and Aztec software (Oxford Instruments, Abingdon, UK) were used. For each material variant, we manually measured 625 grains, 510 pores, 100 cleavage facets, and 310 fracture voids. For a several small and large grains, the yttrium concentration was estimated in each material variant in relation to the yttria fraction, sintering temperature, and grain size. During EDS analysis, acceleration voltage of 20 keV was applied.
X-ray diffraction (XRD) analysis of as-sintered samples was carried out using a diffractometer DRON-4.07M (Bourevestnik, St Petersburg, Russia). A software package WinCSD (WinCSD, https://www.wincsd.eu/, accessed on 21 March 2021) was utilized for performing the indexing, refining the profile, and determining the phase balance (weight percentage). The following reference codes were used for the marked ZrO2 phases (c—cubic, t—tetragonal, m—monoclinic): COD ID 2101234, COD ID 2300612, and COD ID 1528984, respectively.
A testing machine MTS E43.004 (MTS Systems Corporation, Eden Prairie, USA) with a unit for three-point bend loading was used for performing the bend test of the beam samples at 20 °C in air. The loading unit was set with 14 mm distance between the supporting rollers. The material strength in flexure was calculated using the equation [45]:
where σf is the strength (MPa), P is the fracture load (N), s is the distance between the supporting rollers (mm), and h and b are the height and width (mm) of a beam sample, respectively.
For each material variant, five samples were tested, and the flexural strength was calculated as the average value.
3. Results and Discussion
3.1. Characterization of Microstructure
Optical microscopy of the microstructures showed uniformly distributed pores in all the studied materials (Figure 1). For the 3YSZ ceramic, a decrease in the average size of pores can be recognized with a decrease in sintering temperature from 1550 through 1500 to 1450 °C (Figure 1a–c). However, the opposite tendency was found for the 6YSZ ceramic (Figure 1d–f). Thus, the average size of pores decreased in the 3YSZ ceramic from 0.91 to 0.69 μm whereas this in the 6YSZ ceramic increased from 0.49 to 0.76 μm (Table 1). The most distinct differences were found for the pore number density and area fraction of the 3YSZ ceramic with a decrease in sintering temperature from 1500 to 1450 °C and for those of the 6YSZ ceramic with a decrease in sintering temperature from 1550 to 1500 °C. These results indicate the most essential microstructural changes in the mentioned temperature ranges; namely, the highest temperature in the range promotes a more advanced densification of corresponding ceramics.
Figure 1.
Optical microstructure of (a–c) 3YSZ and (d–f) 6YSZ ceramics sintered at (a,d) 1550, (b,e) 1500, and (c,f) 1450 °C.
Table 1.
Parameters of microstructure and fracture surface of the ceramics.
The evolution of porosity with a decrease in the sintering temperature was characterized by the pore size distributions analysis (Figure 2). With a decrease in sintering temperature of the 3YSZ ceramic from 1550 to 1450 °C (Figure 2a), the fraction of 0.3–0.6 μm pores increased from 26 to 54%. At the same time, the fraction of 0.6–0.9 μm pores decreased from 25 to 15%, this of 0.9–1.2 μm pores decreased from 22 to 14.5%, and this of 1.2–1.5 μm pores decreased from 13 to 12% (Figure 2a). For 1.5–1.8 μm and >1.8 μm pores, negligible fractions were estimated for the sintering temperatures of 1500 °C and 1450 °C. The exception was found for 1550 °C, where the fractions reached 7.5%. An increase in the sintering temperature to 1550 °C is suggested to provoke a rapid recrystallization of the initial powder in contrast to a lower sintering temperature. This is followed by substantial shrinkage in local areas where homogeneous distribution of the initial powder was not reached. As a result, a comparatively high number of large pores are formed under such conditions. It should be noted that the average pore size is maximal (i.e., 0.9 µm, see Table 1) and the area fraction of pores is 2.9% (see Table 1) for these conditions. According to the work [46], for the sample series prepared by high-speed sintering (1500 °C, 5 min) the porosity was in the range 0.7–1.2% and for those conventionally sintered (1500 °C, 2 h) it was about 0.3% that exhibited larger deviation of the measured values from the average for the samples sintered rapidly. It was suggested that both high-speed sintering and non-uniform distribution of yttria in 5YSZ zirconia caused an increase in size of residual pores. Similarly, the authors of the work [47] have studied evolution of microstructural components during the sintering of yttria–zirconia compacts at 1400 °C for 2 h. They found that along with domination of small pores, some quantity of much larger pores occurred in the ceramics due to formation of the isolated clusters which consisted of sub-micrometer particles of pure zirconia.
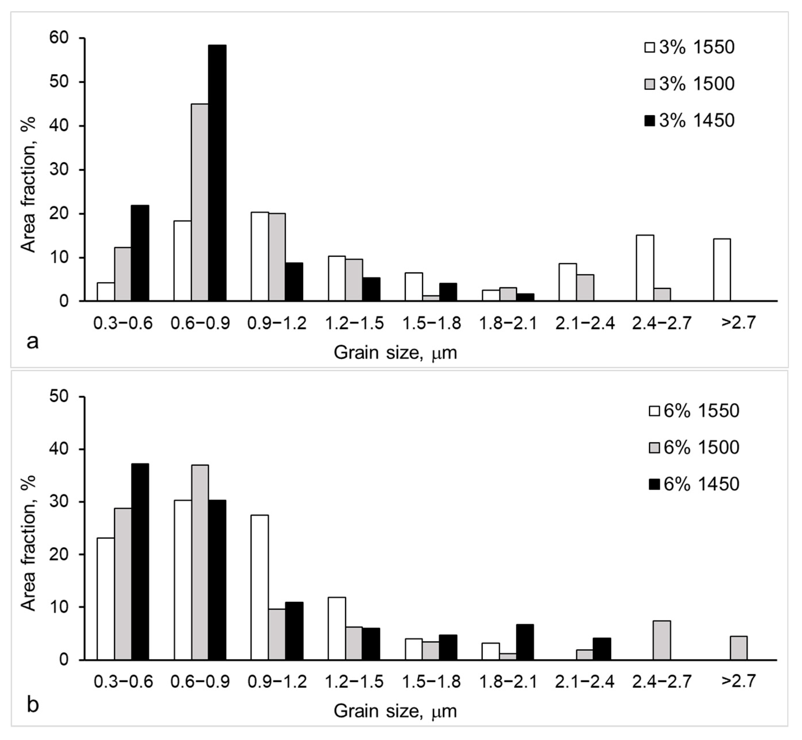
Figure 2.
Distributions of pore size for (a) 3YSZ and (b) 6YSZ ceramics sintered at three temperatures.
A quite different pattern of the porosity evolution was revealed for the material with a higher content of yttria (Figure 2b). With a decrease in the sintering temperature of the 6YSZ ceramic from 1550 to 1450 °C (Figure 2b), the fraction of 0.3–0.6 μm pores decreased from 76 to 40%. At the same time, the fraction of 0.6–0.9 μm pores increased from 9 to 15%, this of 0.9–1.2 μm pores increased from 7 to 22%, and this of 1.2–1.5 μm pores increased from 5 to 10% (Figure 2b). Similarly to a trend for the 3YSZ ceramic, negligible fractions were determined for all the sintering temperatures for 1.5–1.8 μm and >1.8 μm pores.
With a decrease in sintering temperature of the 3YSZ ceramic from 1550 to 1450 °C, the area fractions of 0.3–0.6 μm and 0.6–0.9 μm grains increased from 4 to 21.5% and from 18 to 59%, respectively (Figure 3a–c and Figure 4a). Conversely, for 0.9–1.2 μm up to 1.8–2.1 μm grains a decrease in the area fraction from 20.5 to 8% and from 2.5 to 1.5%, respectively, was observed. After sintering at 1550 °C, untypically high area fractions (up to 15%) were noticed for large 2.4–2.7 μm and >2.7 μm grains.
Figure 3.
SEM-SE microstructure of (a–c) 3YSZ and (d–f) 6YSZ ceramics sintered at (a,d) 1550, (b,e) 1500, and (c,f) 1450 °C.
Figure 4.
Distributions of grain size for (a) 3YSZ and (b) 6YSZ ceramics sintered at three temperatures.
The microstructure of the 6YSZ ceramic showed a quite different variation of the grain size distribution with the sintering temperature (Figure 3d–f and Figure 4b). For this material, the area fraction of 0.3–0.6 μm grains increased from 24 to 37% with the temperature decreasing. This means that the 6YSZ ceramic generally exhibited finer microstructure at a low sintering temperature (1450 °C) compared to the 3YSZ ceramic. Such a trend found for the 6YSZ ceramic is not fully supported with the average grain size calculations, as no significant variation of this parameter was observed with a variation in sintering temperature (Table 1). Therefore, grain size distributions should always be considered for accurate characterization of microstructure evolution in YSZ ceramics, instead of the average grain size parameter.
General trends in the microstructure variation with a decrease in sintering temperature from 1550 through 1500 to 1450 °C can be summarized as follows:
- The average size of pores decreased by 30% in the 3YSZ ceramic; however, it increased by 55% in 6YSZ material (Table 1);
- The average grain size decreased in the 3YSZ ceramic, but no significant variation was observed in the 6YSZ one (Table 1);
- The 6YSZ ceramic sintered at 1450 °C exhibited finer microstructure in terms of the area fractions for the grain size parameter, compared to the 3YSZ ceramic;
- Grain size distributions should always be considered for accurate characterization of microstructure evolution in YSZ ceramics, instead of the average grain size parameter.
3.2. Chemical and Phase Compositions
The mapping made using SEM-EDS exhibited local segregation of yttrium (Y) in the ceramics under study. Thus, the larger grains were enriched in Y in both materials and no significant variation with sintering temperature was observed (Figure 5). Previous research confirmed the existence of the monoclinic (m), tetragonal (t), and cubic (c) ZrO2 phases in these ceramics, enriched with different amounts of Y [39,40,42]. It was found in [39,42] that the larger grains are m-ZrO2, but a remainder of the c-ZrO2 phase (yttrium-enriched c-ZrO2 particles) is situated on their boundaries. This is consistent with our results (Figure 5a,b). In contrast, according to [42], tiny yttrium-depleted t-ZrO2 particles united into agglomerates are situated separately, similarly to the results given in Figure 5a,c.
Figure 5.
Chemical analysis of the 6YSZ ceramic sintered at 1500 °C: (a) SEM-BSE image and EDS maps of O, Y, and Zr with chemical compositions measured for (b) coarse and (c) fine grains.
Using XRD patterns for the studied ceramics presented in our previous research [39,40], we constructed the dependences of phase fractions on the sintering mode (Figure 6). As mentioned above, three phases (m, t, and c-ZrO2) are present in these materials in various ratios.
Figure 6.
Phase balance for 3YSZ and 6YSZ ceramics sintered at three temperatures. Notation: m is monoclinic, c is cubic, and t is tetragonal ZrO2.
In summary, with the sintering temperature decreasing:
- For the 3YSZ ceramic, a slow decrease in the tetragonal ZrO2 phase percentage and a steeper increase in the c-ZrO2 phase fraction occurred; a comparatively high fraction of the t-ZrO2 phase (above 59%) is characteristic for this material;
- For the 6YSZ ceramic, a steeper decrease in the tetragonal ZrO2 phase percentage and a slow increase in the c-ZrO2 phase fraction occurred; a comparatively high yttria percentage provides better stabilization of the c-ZrO2 phase in the studied temperature range; a higher sintering temperature facilitates cubic to tetragonal and monoclinic zirconia phase transitions.
3.3. Strength and Analysis of Fracture Surface
A change in phase balance is obviously related to the material strength (Figure 7). The main regularities of a change in phase balance in relation to the material strength (Figure 6 and Figure 7) were found as follows:
Figure 7.
Flexural strength of 3YSZ and 6YSZ ceramics sintered at three temperatures.
- For the 3YSZ ceramic, the strength is almost linearly related to the t-ZrO2 phase fraction;
- For the 6YSZ ceramic, there is no linear relationship between the strength of the material and phase fractions, as the fractions of both the cubic and monoclinic ZrO2 phases are quite high.
All the above results confirm a synergistic effect of yttria content, pore size distributions and their fractions, grain size distributions and corresponding area fractions, and phase balance on flexural strength. Therefore, a thorough analysis of these microstructural features allows to propose an appropriate fracture micromechanism. This, in turn, allowed improving the mechanical properties of the ceramics via the processing technology optimization.
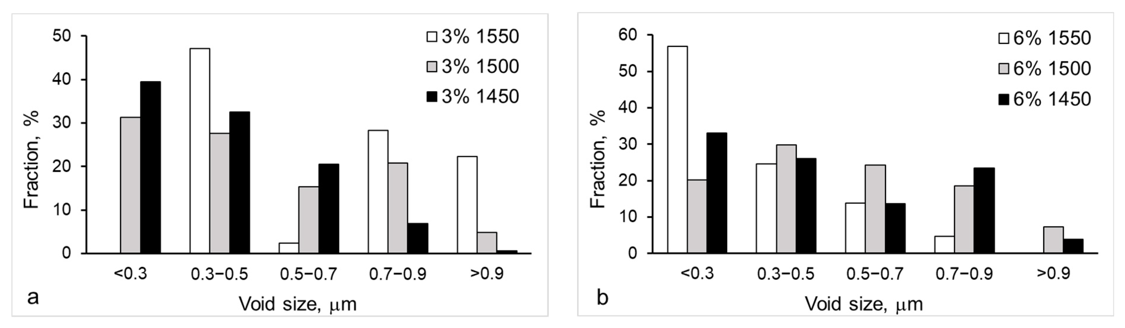
Based on SEM images of fracture surfaces for the 3YSZ and 6YSZ ceramics (Figure 8), the void size and cleavage facet size distributions have been analyzed. It was found that the patterns of the void size distributions vary with the yttria content. The 3YSZ ceramic exhibited a decrease in fractions of voids in the 0.3–0.5 μm, 0.7–0.9 μm, and >0.9 μm size ranges, with a simultaneous increase in the <0.3 µm and 0.5–0.7 μm size ranges (Figure 9a), with decreasing the sintering temperature. In contrast, the 6YSZ ceramic showed a significant decrease in the fraction of voids in the <0.3 µm range with a gradual increase in fractions of voids in all the other ranges (Figure 9b). Moreover, for this material, the most distinct difference in the fraction of voids, namely a decrease in the fraction of voids in the <0.3 µm range by 2.8 times, was found with a decrease in sintering temperature from 1550 to 1500 °C. Such a distinct increase in the fraction of small voids at the sintering temperature of 1550 °C may be related, to a great extent, to plenty of small pores occurring under such conditions. The fracture void formation is believed to depend on the presence of pre-existing pores. In particular, both the Figure 2b and Table 1 confirm this assumption for the 6YSZ ceramic sintered at 1550 °C. For such sintering conditions, the fraction of the smallest pores is maximal (i.e., 76%, see Figure 2b), the average pore size is minimal (i.e., 0.5 µm, see Table 1), and the area fraction of pores is minimal (i.e., 0.5%, see Table 1). In contrast, the fractions of pores in the size range of 0.6–1.5 μm and larger ones are minimal for these conditions.
Figure 8.
SEM-BSE fractography for (a–c) 3YSZ and (d–f) 6YSZ ceramics sintered at (a,d) 1550, (b,e) 1500, and (c,f) 1450 °C.
Figure 9.
Size distributions of fracture voids for (a) 3YSZ and (b) 6YSZ ceramics sintered at three temperatures.
In short summary, with a decrease in sintering temperature from 1550 through 1500 to 1450 °C:
- The average size of fracture voids decreased by 67% in the 3YSZ ceramic; however, it increased by 33% in the 6YSZ material (Table 1);
- The observed variations in fracture void size distributions does not fully align with the trend for the average void size. Therefore, the size distributions should always be used for the characterization of microstructure evolution in YSZ ceramics, instead of the average void size parameter.
Based on the cleavage facet size distribution analysis for 3YSZ ceramic (Figure 10a), it was revealed that with a decrease in sintering temperature from 1550 through 1500 to 1450 °C: (i) fraction of cleavage facets in the 2–4 µm2 size range tends to increase; (ii) in all the other size ranges, no unambiguous variation of the fractions was found. That is, a distinct difference was found for 3YSZ ceramic sintered at 1500 °C, as it exhibits two average levels of the fractions, namely 18–26% for the size ranges of 2–4 µm2, 4–6 µm2, 6–8 µm2, and 8–10 µm2 (relatively small cleavage facets) and about 3% for the size ranges of 10–12 µm2, 12–14 µm2, and >14 µm2 (relatively large cleavage facets). With an increase in the sintering temperature to 1550 °C, a shift in the fractions of cleavage facets towards larger cleavage facets is observed. Similar behavior with a shift in the fractions of cleavage facets towards larger cleavage facets was revealed when decreasing the sintering temperature to 1450 °C. However, a detailed analysis of fracture surfaces of tested specimens showed that at the lowest temperature of 1450 °C, fracture had occurred along the boundaries of separate clusters (Figure 8c). Therefore, the identified in this case cleavage facets cannot be associated with “classic” transgranular fracture, as no recrystallized zirconia grain was found.
Figure 10.
Cleavage facet size distributions for (a) 3YSZ and (b) 6YSZ ceramics sintered at three temperatures.
A gradual decrease in fractions of cleavage facets (from 31.5% to 16%) with increasing the cleavage facet size (from 2–4 µm2 to 8–10 µm2) was revealed for the 6YSZ ceramic sintered at 1550 °C (Figure 10b). Moreover, a very small percentage (less than 6%) was found for larger cleavage facets. In the cases of sintering temperatures of 1450 °C and 1500 °C, the total fraction of large cleavage facets of 10–12 µm2 and >14 µm2 was much higher (from 20% to about 29%).
In short summary, with a decrease in sintering temperature from 1550 through 1500 to 1450 °C:
- The average size of cleavage facets (corresponding to the fracture by the transgranular micromechanism) decreased by 11% in 3YSZ ceramic; however, it increased by 21% in the 6YSZ material (Table 1);
- Cleavage area decreased by 8.5 times in the 3YSZ ceramic; however, it increased by 44% in the 6YSZ material;
- No unambiguous variations of the fractions of cleavage facet distribution were found in the 3YSZ and 6YSZ ceramics with a decrease in sintering temperature from 1550 through 1500 to 1450 °C.
Generally, among the parameters used in this work for characterizing microstructure, the “effective” ones should quantitatively correlate the microstructural constituents to mechanical properties of the YSZ ceramics:
- The most distinct differences for the pore number density and area fraction in the 3YSZ ceramic (both are increasing by a similar value of 1.54 = 0.0724/0.0471 and 1.54 = 4.0/2.6 times) were found with a decrease in sintering temperature from 1500 to 1450 °C. In the 6YSZ ceramic, these parameters varied more (increased by 0.0516/0.02 = 2.58 and 2.4/0.5 = 4.8 times, respectively) with a decrease in sintering temperature from 1550 to 1500 °C (Table 1);
- The pore number density and area fraction of the 3YSZ ceramic sintered at a temperature of 1550 °C are 0.0328/0.02 = 1.64 and 2.9/0.5 = 5.8 times higher, respectively, than those of the 6YSZ ceramic sintered at the same temperature (Table 1);
- With a decrease in sintering temperature from 1550 to 1450 °C, for the 3YSZ ceramic the area fractions of 0.3–0.6 μm and 0.6–0.9 μm grains increased from 4 to 21.5% and from 18 to 59%, respectively; untypically high area fractions (up to 15%) were observed for large grains in the 3YSZ ceramic, namely 2.4–2.7 μm and >2.7 μm grain sizes in the case of sintering temperature of 1550 °C (Figure 4a);
- With a decrease in sintering temperature from 1550 to 1450 °C, for the 6YSZ ceramic, the area fraction of 0.3–0.6 μm grains (the smallest grains, Figure 4b) increased from 24 to 37%; this material exhibited finer microstructure compared to other conditions; for 6YSZ ceramics sintered at 1500 °C and 1450 °C, increased area fractions were revealed for larger grains, >2.4 μm and >1.5 μm grain sizes, respectively;
- It was revealed for the 3YSZ ceramic sintered at 1500 °C (Figure 10a) that the total percentage of relatively small cleavage facets (2–10 µm2) exceeds 90%, whereas this of relatively large cleavage facets (>10 µm2) is less than 10%; with both the increase in the sintering temperature to 1550 °C and decrease to 1450 °C, shifts in the fractions of cleavage facets towards large values are observed; fracture along boundaries of separate clusters occurred in the 3YSZ ceramic sintered at 1450 °C, and no recrystallized zirconia grain was identified; thus, the cleavage facets identified for this material condition cannot be associated with “classic” transgranular fracture;
- A gradual decrease in fractions of cleavage facets (from 31.5% to 16%) in the size range from 2 to 10 µm was observed in the 6YSZ ceramic sintered at 1550 °C, and a small fraction (about 6%) was found for larger cleavage facets (Figure 10b); the total fraction of large cleavage facets of >10 µm2 was much higher (from 20% to about 29%) for sintering temperatures of 1450 °C and 1500 °C than for 1550 °C;
- The above-mentioned differences in the void size distribution shapes may be related to the complex nature of the void formation, as some voids could grow from pre-existing pores and others might have formed in the high-density parts of the volume. This should be taken into account when characterizing the fracture evolution based on the fracture void imaging.
3.4. Technology Optimization
We have analyzed how the key parameters under study should be changed for providing high strength of the studied ceramics. In terms of lowering porosity, the sintering temperature for the 3YSZ ceramic should be about 1500 °C, as the increase in both the pore number density and area fraction by 1.54 times was found with a decrease in sintering temperature from 1500 to 1450 °C. In terms of decreasing the cleavage facet size, the sintering temperature of 1500 °C would also be beneficial, as the total percentage of relatively small cleavage facets (from 2 to 10 µm2) exceeds 90% for this temperature. An increase in sintering temperature to 1550 °C generates unusually high area fractions (up to 15%) of coarse grains in the >2.4 μm size range. This was confirmed by a slightly increased cleavage facet size compared to that for the 3YSZ ceramic sintered at 1500 °C. These larger grains exhibit a monoclinic crystal structure with a remainder of the c-ZrO2 or t-ZrO2 phase enriched with yttrium [39,40,41,42]. In spite of the highest strength observed after sintering at 1550 °C and the fracture growth mainly occurring along the boundaries of the fine-grained t-ZrO2 agglomerates [39,40,42], the transgranular fracture of coarse m-ZrO2 grains may deteriorate toughness. The lower sintering temperature (1500 °C) providing a higher fraction of relatively small cleavage facets allows this issue to be solved.
In terms of lowering porosity, the sintering temperature for the 6YSZ ceramic should be about 1550 °C, as the increase in the pore number density and area fraction by 2.58 and 4.8 times, respectively, were found with a decrease in sintering temperature from 1550 to 1500 °C. A decrease in the cleavage facet size for the 6YSZ ceramic was also revealed after sintering at 1550 °C, and the total percentage of relatively small cleavage facets (from 2 to 10 µm2) exceeded 96% for this condition. In all the other cases, i.e., sintering at 1450 °C and 1500 °C, the total percentage of relatively large cleavage facets increased from 20% to 29%. With respect to grain sizes, higher area fractions were observed for medium grains (of 0.9–1.5 μm size) after sintering at 1550 °C, compared to sintering at 1500 °C and 1450 °C. According to our previous works [39,40,42], these are t-ZrO2 grains. An increase in area fractions was revealed for larger grains, probably the m-ZrO2 phase, especially from 2.4–2.7 μm to >2.7 μm and from 1.5–1.8 μm to 2.1–2.4 μm, for 6YSZ ceramics sintered at 1500 °C and 1450 °C, respectively. Larger fractions of coarser grains correlate with the highest strength of this material. Therefore, in the cases of 1450 °C up to 1500 °C sintering temperatures, a slightly increased cleavage facet size confirms the implementation of the high energy-consuming fracture micromechanism [42] similar to that described above for the 3YSZ ceramic sintered at 1550 °C. This micromechanism based on dominant fracture along the boundaries of the fine-grained t-ZrO2 agglomerates, also includes cleavage fracture of the larger grains with a monoclinic crystal structure and a remainder of the c-ZrO2 or t-ZrO2 phase enriched with yttrium [39,40,41,42]. In contrast, the high amount of relatively small cleavage facets formed in the 6YSZ ceramic sintered at 1550 °C does not provide the complete implementation of such fracture micromechanism.
Therefore, the sintering modes providing high mechanical strength (800 MPa and higher) of YSZ ceramics were determined. Sintering at 1500 °C for 2 h was found to be a promising mode for the 3YSZ ceramic, whereas a lower sintering temperature (1450 °C) at the same holding time can provide a close level of strength for the 6YSZ ceramic. As compared to the data presented in [36,44] for yttria-stabilized zirconia used in restorative dentistry, our ceramics exhibited 12–35% higher level of strength.
4. Conclusions
Investigation of the microstructure-properties relationship and fracture behavior in the ZrO2 ceramics stabilized with 3 and 6 mol% Y2O3 (3YSZ and 6YSZ) and sintered at 1450 °C, 1500 °C, and 1550 °C for 2 h has led to the following conclusions:
- For the 3YSZ ceramic, with an increase in sintering temperature from 1450 to 1550 °C, the porosity decreased (in particular, the pore number density decreased by 2.2 times and their area fraction by 1.4 times), and the number density of fracture voids decreased by 3.6 times. However, at 1550 °C, high area fractions (up to 15%) of coarse grains in the >2.4 μm size range were generated, which was consistent with an increased cleavage facet size. After sintering at the intermediate temperature of 1500 °C, the total percentage of relatively small cleavage facets (from 2 to 10 µm2) reached 90%, the cleavage fracture area was reasonably low (13%), and the flexural strength was high (800 MPa). This resulted from an optimum phases balance consisting of 60% m-ZrO2 and near 20% of each t-ZrO2 and c-ZrO2. Therefore, we propose sintering at 1500 °C for 2 h as a promising technology mode for the 3YSZ ceramic.
- For the 6YSZ ceramic, with an increase in sintering temperature from 1450 to 1550 °C the porosity decreased (in particular, the pore number density decreased by two times and their area fraction decreased by five times), the number density of fracture voids decreased by 2.4 times, the total percentage of relatively small cleavage facets (from 2 to 10 µm2) reached 96%, and the cleavage area decreased to a minor value of 9%. However, the temperature of 1550 °C resulted in a lower fraction of coarse grains (>2.1 μm), probably the m-ZrO2 phase, and a significantly increased the fraction of medium t-ZrO2 grains (0.9–1.5 μm), as compared to 1450 °C for which a high fraction of small t-ZrO2 grains (0.3–0.6 μm) and a quite high fraction of coarse m-ZrO2 grains (1.5–2.4 μm) was found. Therefore, an increase in sintering temperature of the 6YSZ ceramic above 1450 °C did not produce a substantial improvement in strength. This could be explained by a stronger stabilization of the crystal structure with an increased Y2O3 content at 1450 °C leading to an “optimum” phase balance with ~50% m-ZrO2, 35% t-ZrO2, and 15% c-ZrO2.
- 3YSZ sintered at 1550 °C showed about 17% higher strength than 6YSZ sintered at 1450 °C. Thus, lower concentrations of Y2O3 might be positively considered from the mechanical properties point of view. However, a higher cost of energy for sintering at higher temperatures may facilitate adoption of materials with a higher Y2O3 content processed at lower temperatures. Due to the comparatively high strength, the investigated samples can find potential practical applications in manufacturing prostheses and dental implants.
Author Contributions
Conceptualization, V.K. and Z.D.; experiment, A.K., B.V. and O.M.; analysis, O.M. and A.K.; writing—original draft preparation, B.V., V.K. and A.K.; writing—review and editing, V.K., A.K, Z.D. and B.V.; supervision, B.V. and V.K.; funding acquisition, V.K., B.V. and Z.D. All authors have read and agreed to the published version of the manuscript.
Funding
This study was supported by the Ministry of Education and Science of Ukraine under the project number 0122U000952, “Development of a scientific basis for the creation of multifunctional oxide ceramic materials and coatings”.
Institutional Review Board Statement
Not applicable.
Informed Consent Statement
Not applicable.
Data Availability Statement
All the supporting and actual data are presented in the manuscript.
Acknowledgments
Chemical analysis, microstructural, and fractographic investigations were performed at the Centre of Microscopy and Microanalysis at University of Queensland (Brisbane, Australia).
Conflicts of Interest
The authors declare no conflict of interest.
References
- Chevalier, J.; Gremillard, L.; Virkar, A.V.; Clarke, D.R. The tetragonal-monoclinic transformation in zirconia: Lessons learned and future trends. J. Am. Ceram. Soc. 2009, 92, 1901–1920. [Google Scholar] [CrossRef]
- Piconi, C.; Sprio, S. Zirconia implants: Is there a future? Curr. Oral Health Rep. 2018, 5, 186–193. [Google Scholar] [CrossRef]
- Jiang, S.; Huang, X.; He, Z.; Buyers, A. Phase transformation and lattice parameter changes of non-trivalent rare earth-doped YSZ as a function of temperature. J. Mater. Eng. Perform. 2018, 27, 2263–2270. [Google Scholar] [CrossRef]
- Schaedler, T.A.; Leckie, R.M.; Kramer, S.; Evans, A.G.; Levi, C.G. Toughening of nontransformable t’-YSZ by addition of titania. J. Am. Ceram. Soc. 2007, 90, 3896–3901. [Google Scholar] [CrossRef]
- Chabak, Y.G.; Fedun, V.I.; Shimizu, K.; Efremenko, V.G.; Zurnadzhy, V.I. Phase-structural composition of coating obtained by pulsed plasma treatment using eroded cathode of T1 high speed steel. Probl. At. Sci. Technol. Ser. Plasma Electron. N. Accel. Methods 2016, 104, 100–106. [Google Scholar]
- Zhao, M.; Pan, W.; Wan, C.; Qu, Z.; Li, Z.; Yang, J. Defect engineering in development of low thermal conductivity materials: A review. J. Eur. Ceram. Soc. 2017, 37, 1–13. [Google Scholar] [CrossRef]
- Podhurska, V.; Vasyliv, B.; Ostash, O.; Brodnikovskyi, Y.; Vasylyev, O. Influence of treatment temperature on microstructure and properties of YSZ–NiO anode materials. Nanoscale Res. Lett. 2016, 11, 93. [Google Scholar] [CrossRef][Green Version]
- Santos, A.J.; Garcia-Segura, S.; Dosta, S.; Cano, I.G.; Martínez-Huitle, C.A.; Brillas, E. A ceramic electrode of ZrO2-Y2O3 for the generation of oxidant species in anodic oxidation. Assessment of the treatment of Acid Blue 29 dye in sulfate and chloride media. Sep. Purif. Technol. 2019, 228, 115747. [Google Scholar] [CrossRef]
- Chabak, Y.; Efremenko, V.; Zurnadzhy, V.; Puchý, V.; Petryshynets, I.; Efremenko, B.; Fedun, V.; Shimizu, K.; Bogomol, I.; Kulyk, V.; et al. Structural and tribological studies of “(TiC+WC)/Hardened Steel” PMMC coating deposited by air pulsed plasma. Metals 2022, 12, 218. [Google Scholar] [CrossRef]
- Yan, Y.; Ma, Z.; Sun, J.; Bu, M.; Huo, Y.; Wang, Z.; Li, Y.; Hu, N. Surface microstructure-controlled ZrO2 for highly sensitive room-temperature NO2 sensors. Nano Mater. Sci. 2021, 3, 268–275. [Google Scholar] [CrossRef]
- Vasyliv, B.; Milewski, J.; Podhurska, V.; Wejrzanowski, T.; Kulyk, V.; Skibiński, J.; Vira, V.; Szabłowski, Ł.; Szczęśniak, A.; Dybiński, O. Study of the degradation of a fine-grained YSZ–NiO anode material during reduction in hydrogen and reoxidation in air. Appl. Nanosci. 2022, 12, 965–975. [Google Scholar] [CrossRef]
- Vasyliv, B.; Kulyk, V.; Duriagina, Z.; Mierzwinski, D.; Kovbasiuk, T.; Tepla, T. Estimation of the effect of redox treatment on microstructure and tendency to brittle fracture of anode materials of YSZ–NiO(Ni) system. East. Eur. J. Enterp. Technol. 2020, 6, 61–71. [Google Scholar] [CrossRef]
- Vladislavova, L.; Smolorz, T.; Orlovskaya, N.; Lugovy, M.; Reece, M.J.; Köbel, S.; Kopia, A.; Makowska, M.; Graule, T.; Blugan, G. Strength analysis and stress-strain deformation behavior of 3 mol% Y-TZP and 21 wt.% Al2O3-3 mol% Y-TZP. Materials 2021, 14, 3903. [Google Scholar] [CrossRef]
- Li, D.; Liu, Y.; Zhong, Y.; Liu, L.; Adolfsson, E.; Shen, Z. Dense and strong ZrO2 ceramics fully densified in <15 min. Adv. Appl. Ceram. 2019, 118, 23–29. [Google Scholar] [CrossRef]
- Chintapalli, R.; Mestra, A.; Marro, F.G.; Yan, H.; Reece, M.; Anglada, M. Stability of nanocrystalline spark plasma sintered 3Y-TZP. Materials 2010, 3, 800–814. [Google Scholar] [CrossRef]
- Guazzato, M.; Albakry, M.; Ringer, S.P.; Swain, M.V. Strength, fracture toughness and microstructure of a selection of all-ceramic materials. Part II. Zirconia-based dental ceramics. Dent. Mater. 2004, 20, 449–456. [Google Scholar] [CrossRef]
- Zou, J.; Zhong, Y.; Eriksson, M.; Liu, L.; Shen, Z. Tougher zirconia nanoceramics with less yttria. Adv. Appl. Ceram. 2018, 118, 9–15. [Google Scholar] [CrossRef]
- Soubelet, C.G.; Albano, M.P. Differences in microstructure and mechanical properties between Y-TZP and AL2O3-doped Y-TZP/bioglass ceramics. Int. J. Appl. Ceram. Technol. 2021, 18, 2237–2249. [Google Scholar] [CrossRef]
- Stawarczyk, B.; Özcan, M.; Hallmann, L.; Ender, A.; Mehl, A.; Hämmerlet, C.H. The effect of zirconia sintering temperature on flexural strength, grain size, and contrast ratio. Clin. Oral Investig. 2013, 17, 269–274. [Google Scholar] [CrossRef]
- Juntavee, N.; Attashu, S. Effect of different sintering process on flexural strength of translucency monolithic zirconia. J. Clin. Exp. Dent. 2018, 10, e821–e830. [Google Scholar] [CrossRef]
- Chevalier, J. What future for zirconia as a biomaterial? Biomaterials 2006, 27, 535–543. [Google Scholar] [CrossRef]
- Kim, M.-J.; Ahn, J.-S.; Kim, J.-H.; Kim, H.-Y.; Kim, W.-C. Effects of the sintering conditions of dental zirconia ceramics on the grain size and translucency. J. Adv. Prosthodont. 2013, 5, 161–166. [Google Scholar] [CrossRef]
- Gautam, C.; Joyner, J.; Gautam, A.; Rao, J.; Vajtai, R. Zirconia based dental ceramics: Structure, mechanical properties, biocompatibility and applications. Dalton Trans. 2016, 45, 19194–19215. [Google Scholar] [CrossRef]
- Amaral, M.; Cesar, P.F.; Bottino, M.A.; Lohbauer, U.; Valandro, L.F. Fatigue behavior of Y-TZP ceramic after surface treatments. J. Mech. Behav. Biomed. Mater. 2016, 57, 149–156. [Google Scholar] [CrossRef]
- Kumar, A.; Kumar, P.; Dhaliwal, A.S. Structural studies of zirconia and yttria doped zirconia for analysing it phase stabilization criteria. IOP Conf. Ser. Mater. Sci. Eng. 2021, 1033, 012052. [Google Scholar] [CrossRef]
- Gupta, T.K.; Bechtold, J.H.; Kuznicki, R.C.; Cadoff, L.H.; Rossing, B.R. Stabilization of tetragonal phase in polycrystalline zirconia. J. Mater. Sci. 1977, 12, 2421–2426. [Google Scholar] [CrossRef]
- Scott, H.G. Phase relationships in the zirconia–yttria system. J. Mater. Sci. 1975, 10, 1527–1535. [Google Scholar] [CrossRef]
- Chevalier, J.; Deville, S.; Munch, E.; Jullian, R.; Lair, F. Critical effect of cubic phase on aging in 3 mol% yttria-stabilized zirconia ceramics for hip replacement prosthesis. Biomaterials 2004, 25, 5539–5545. [Google Scholar] [CrossRef]
- Deville, S.; Gremillard, L.; Chevalier, J.; Fantozzi, G. A critical comparison of methods for the determination of the aging sensitivity in biomedical grade yttria-stabilized zirconia. J. Biomed. Mater. Res. B Appl. Biomater. 2005, 72B, 239–245. [Google Scholar] [CrossRef]
- Studart, A.R.; Filser, F.; Kocher, P.; Gauckler, L.J. Fatigue of zirconia under cycling loading in water and its implications for the design of dental bridges. Dent. Mater. 2007, 23, 106–114. [Google Scholar] [CrossRef]
- Alfano, M.; Girolamo, G.D.; Pagnotta, L.; Sun, D. Processing, microstructure and mechanical properties of air plasma-sprayed ceria–yttria co-stabilized zirconia coatings. Strain 2010, 46, 409–418. [Google Scholar] [CrossRef]
- Girolamo, G.D.; Blasi, C.; Schioppa, M.; Tapfer, L. Structure and thermal properties of heat treated plasma sprayed ceria–yttria co-stabilized zirconia coatings. Ceram. Int. 2010, 36, 961–968. [Google Scholar] [CrossRef]
- Chen, G.; Ling, Y.; Li, Q.; Zheng, H.; Li, K.; Jiang, Q.; Chen, J.; Omran, M.; Gao, L. Crystal structure and thermomechanical properties of CaO-PSZ ceramics synthesised from fused ZrO2. Ceram. Int. 2020, 46, 15357–15363. [Google Scholar] [CrossRef]
- Chen, G.; Li, Q.; Ling, Y.; Zheng, H.; Chen, J.; Jiang, Q.; Li, K.; Peng, J.; Omran, M.; Gao, L. Phase stability and microstructure morphology of microwave-sintered magnesia-partially stabilised zirconia. Ceram. Int. 2021, 47, 4076–4082. [Google Scholar] [CrossRef]
- Gui, J.; Xie, Z. Phase transformation and slow crack growth study of Y-TZP dental ceramic. Mater. Sci. Eng. A 2016, 676, 531–535. [Google Scholar] [CrossRef]
- Bona, A.D.; Pecho, O.E.; Alessandretti, R. Zirconia as a dental biomaterial. Materials 2015, 8, 4978–4991. [Google Scholar] [CrossRef]
- Romaniv, O.M.; Zalite, I.V.; Simin’Kovych, V.M.; Tkach, O.N.; Vasyliv, B.D. Effect of the concentration of zirconium dioxide on the fracture resistance of Al2O3–ZrO2 ceramics. Mater. Sci. 1996, 31, 588–594. [Google Scholar] [CrossRef]
- Romaniv, O.M.; Vasyliv, B.D. Some features of formation of the structural strength of ceramic materials. Mater. Sci. 1998, 34, 149–161. [Google Scholar] [CrossRef]
- Kulyk, V.V.; Duriagina, Z.A.; Vasyliv, B.D.; Vavrukh, V.I.; Lyutyy, P.Y.; Kovbasiuk, T.M.; Holovchuk, M.Y. Effects of yttria content and sintering temperature on the microstructure and tendency to brittle fracture of yttria-stabilized zirconia. Arch. Mater. Sci. Eng. 2021, 109, 65–79. [Google Scholar] [CrossRef]
- Kulyk, V.; Duriagina, Z.; Vasyliv, B.; Vavrukh, V.; Kovbasiuk, T.; Lyutyy, P.; Vira, V. The effect of sintering temperature on the phase composition, microstructure, and mechanical properties of yttria-stabilized zirconia. Materials 2022, 15, 2707. [Google Scholar] [CrossRef]
- Li, Q.-L.; Jiang, Y.-Y.; Wei, Y.-R.; Swain, M.V.; Yao, M.-F.; Li, D.-S.; Wei, T.; Jian, Y.-T.; Zhao, K.; Wang, X.-D. The influence of yttria content on the microstructure, phase stability and mechanical properties of dental zirconia. Ceram. Int. 2022, 48, 5361–5368. [Google Scholar] [CrossRef]
- Kulyk, V.; Duriagina, Z.; Kostryzhev, A.; Vasyliv, B.; Vavrukh, V.; Marenych, O. The effect of yttria content on microstructure, strength, and fracture behavior of yttria-stabilized zirconia. Materials 2022, 15, 5212. [Google Scholar] [CrossRef]
- Trunec, M.; Castkova, K.; Roupcova, P. Effect of phase structure on sintering behavior of zirconia nanopowders. J. Am. Ceram. Soc. 2013, 96, 3720–3727. [Google Scholar] [CrossRef]
- Duràn, P.; Villegas, M.; Fernàndez, J.F.; Capel, F.; Moure, C. Theoretically dense and nanostructured ceramics by pressureless sintering of nanosized Y-TZP powders. Mater. Sci. Eng. A 1997, 232, 168–176. [Google Scholar] [CrossRef]
- Gere, J.M.; Timoshenko, S.P. Mechanics of Materials, 4th ed.; PWS Publishing Company: Boston, MA, USA, 1997; p. 912. [Google Scholar]
- Nonaka, K.; Teramae, M.; Pezzotti, G. Evaluation of the effect of high-speed sintering on the properties of 5 mol% yttria stabilized dental zirconia sintered bodies. Materials 2022, 15, 5685. [Google Scholar] [CrossRef]
- Wojteczko, K.; Pędzich, Z.; Zientara, D.; Berent, K.; Haberko, K. Phenomena occurring upon the sintering of a mixture of yttria–zirconia nanometric powder and sub-micrometric pure zirconia powder. Materials 2021, 14, 6937. [Google Scholar] [CrossRef]
Publisher’s Note: MDPI stays neutral with regard to jurisdictional claims in published maps and institutional affiliations. |
© 2022 by the authors. Licensee MDPI, Basel, Switzerland. This article is an open access article distributed under the terms and conditions of the Creative Commons Attribution (CC BY) license (https://creativecommons.org/licenses/by/4.0/).









