Dynamic Task Scheduling in Remote Sensing Data Acquisition from Open-Access Data Using CloudSim
Abstract
1. Introduction
2. Methods
- The actuators perform tasks independently and do not interfere with each other.
- The choice of the task set size in the task pool is defined by the user, and the number of task sets is usually much larger than the tasks being executed. Users can select an appropriate number of task sets according to the size of each task in the task set and the execution speed of each actuator so as to avoid some time-limited tasks being in a waiting state for a long time.
- If the task URL has not been validated, each task URL will only be executed by an executor and only once; that is, there is no execution conflict in the task.
- In order to speed up the training, the prediction module adopts the strategy of incremental learning of the execution history.
- The update frequency of the scheduling algorithm in the scheduler is similar to that of the prediction module. After the prediction module produces new prediction results, task rescheduling is started immediately.
2.1. Task Scheduling Model
2.1.1. Problem Statement
2.1.2. Multi-Objective Optimization Model
2.1.3. Multi-Objective Task Scheduling Based on Task Publisher
2.2. PSO Optimization Algorithm and PSO-BP Algorithm
Improved PSO Optimization Algorithm
| Algorithm 1: Using FCFS algorithm, SJF algorithm, or MAX_MAX algorithm to initialize the particle population. |
| DO |
| FOR Particle Use Equation (10) to calculate the fitness value of the particle IF The fitness value of the particle at the current position is better than the historical best value of the local particle Update the local best individual with the current particles END IF The current local particle is better than the global best particle of the population Update the global particles with the current local particle fitness value FOR Particle Update the position and velocity of particles according to Formula (12) END WHILE Achieve the maximum number of iterations |
2.3. TSCD-TSA Dynamic Task Scheduling Algorithm
- The update frequency of the BP neural network algorithm and dynamic task scheduling algorithm needs to be consistent.
- The BP neural network algorithm is used to adopt a data incremental prediction strategy when predicting; that is, the training data of the algorithm are always taken from the dataset within the most recent period of time to avoid the excessively long training time of the algorithm when the historical collection of data of the node is too large.
- When the dynamic task scheduling algorithm is executed, the scheduling result is updated, and tasks are only reallocated if they have been allocated but the node has not yet started execution. (That is, the result of dynamic task scheduling is the dynamic reallocation of those tasks that have been pre-allocated but not executed.)
3. Experiment and Results Analysis
3.1. Experimental Environment
3.2. Simulation Experiment
4. Discussion
5. Conclusions
Author Contributions
Funding
Institutional Review Board Statement
Informed Consent Statement
Data Availability Statement
Conflicts of Interest
References
- Ma, Y.; Wu, H.; Wang, L.; Huang, B.; Ranjan, R.; Zomaya, A.; Jie, W. Remote sensing big data computing: Challenges and opportunities. Future Gener. Comput. Syst. 2015, 51, 47–60. [Google Scholar] [CrossRef]
- Ma, Y.; Wang, L.; Zomaya, A.Y.; Chen, D.; Ranjan, R. Task-tree based large-scFale mosaicking for massive remote sensed imageries with dynamic dag scheduling. IEEE Trans. Parallel Distrib. Syst. 2013, 25, 2126–2137. [Google Scholar] [CrossRef]
- Wellmann, T.; Lausch, A.; Andersson, E.; Knapp, S.; Cortinovis, C.; Jache, J.; Scheuer, S.; Kremer, P.; Mascarenhas, A.; Kraemer, R. Remote sensing in urban planning: Contributions towards ecologically sound policies? Landsc. Urban Plan. 2020, 204, 103921. [Google Scholar] [CrossRef]
- Zhu, M.; Wang, Z.; Bai, L.; Zhang, J.; Tao, J.; Chen, L. Detection of industrial storage tanks at the city-level from optical satellite remote sensing images. In Proceedings of the Image and Signal Processing for Remote Sensing XXVII, Online, 12 September 2021; SPIE: Bellingham, WA, USA, 2021; Volume 11862, pp. 254–260. [Google Scholar]
- Barrett, E.C. Introduction to Environmental Remote Sensing; Routledge: London, UK, 2013; ISBN 0203761030. [Google Scholar]
- Zhang, J.; Wang, Z.; Bai, L.; Song, G.; Tao, J.; Chen, L. Deforestation Detection Based on U-Net and LSTM in Optical Satellite Remote Sensing Images. In Proceedings of the 2021 IEEE International Geoscience and Remote Sensing Symposium IGARSS, Brussels, Belgium, 11–16 July 2021; pp. 3753–3756. [Google Scholar]
- Wang, Z.; Bai, L.; Song, G.; Zhang, J.; Tao, J.; Mulvenna, M.D.; Bond, R.R.; Chen, L. An oil well dataset derived from satellite-based remote sensing. Remote Sens. 2021, 13, 1132. [Google Scholar] [CrossRef]
- USGS. Available online: https://www.usgs.gov/ (accessed on 5 November 2022).
- NASA. Available online: https://ladsweb.modaps.eosdis.nasa.gov/search/ (accessed on 5 November 2022).
- ESA. Available online: https://scihub.copernicus.eu/dhus/#/home (accessed on 5 November 2022).
- Zhao, Q.; Yu, L.; Li, X.; Peng, D.; Zhang, Y.; Gong, P. Progress and trends in the application of Google Earth and Google Earth Engine. Remote Sens. 2021, 13, 3778. [Google Scholar] [CrossRef]
- Amani, M.; Ghorbanian, A.; Ahmadi, S.A.; Kakooei, M.; Moghimi, A.; Mirmazloumi, S.M.; Moghaddam, S.H.A.; Mahdavi, S.; Ghahremanloo, M.; Parsian, S. Google earth engine cloud computing platform for remote sensing big data applications: A comprehensive review. IEEE J. Sel. Top. Appl. Earth Obs. Remote Sens. 2020, 13, 5326–5350. [Google Scholar] [CrossRef]
- Xu, C.; Du, X.; Yan, Z.; Fan, X. ScienceEarth: A Big Data Platform for Remote Sensing Data Processing. Remote Sens. 2020, 12, 607. [Google Scholar] [CrossRef]
- Houssein, E.H.; Gad, A.G.; Wazery, Y.M.; Suganthan, P.N. Task scheduling in cloud computing based on meta-heuristics: Review, taxonomy, open challenges, and future trends. Swarm Evol. Comput. 2021, 62, 100841. [Google Scholar] [CrossRef]
- Sarkar, V. Determining average program execution times and their variance. In Proceedings of the ACM SIGPLAN 1989 Conference on Programming Language Design and Implementation, Portland, OR, USA, 19–23 June 1989; pp. 298–312. [Google Scholar]
- Soltani, N.; Soleimani, B.; Barekatain, B. Heuristic Algorithms for Task Scheduling in Cloud Computing: A Survey. Int. J. Comput. Netw. Inf. Secur. 2017, 9, 16–22. [Google Scholar] [CrossRef][Green Version]
- Aladwani, T. Types of task scheduling algorithms in cloud computing environment. In Scheduling Problems: New Applications and Trends; IntechOpen: London, UK, 2020. [Google Scholar]
- Mao, Y.; Chen, X.; Li, X. Max–min task scheduling algorithm for load balance in cloud computing. In Advances in Intelligent Systems and Computing, Proceedings of the International Conference on Computer Science and Information Technology, Kunming, China, 21–23 September 2013; Springer: New Delhi, India, 2014; pp. 457–465. [Google Scholar]
- Anousha, S.; Ahmadi, M. An improved Min-Min task scheduling algorithm in grid computing. In Lecture Notes in Computer Science, Proceedings of the International Conference on Grid and Pervasive Computing, Seoul, Korea, 9–11 May 2013; Springer: Berlin/Heidelberg, Germany, 2013; pp. 103–113. [Google Scholar]
- Raj, A.; Kaur, K.; Dutta, U.; Sandeep, V.V.; Rao, S. Enhancement of hadoop clusters with virtualization using the capacity scheduler. In Proceedings of the 2012 Third International Conference on Services in Emerging Markets, Mysore, India, 12–15 December 2012; pp. 50–57. [Google Scholar]
- Yadav, R.K.; Mishra, A.K.; Prakash, N.; Sharma, H. An improved round robin scheduling algorithm for CPU scheduling. Int. J. Comput. Sci. Eng. 2010, 2, 1064–1066. [Google Scholar]
- Casanova, H.; Legrand, A.; Zagorodnov, D.; Berman, F. Heuristics for scheduling parameter sweep applications in grid environments. In Proceedings of the Proceedings 9th Heterogeneous Computing Workshop (HCW 2000) (Cat. No. PR00556), Cancun, Mexico, 1 May 2000; pp. 349–363. [Google Scholar]
- Xu, X.; Xue, S.; Shi, W. A Heuristic Scheduling Algorithm based on PSO in the Cloud Computing Environment. Int. J. u-and e-Serv. 2016, 9, 349–362. [Google Scholar] [CrossRef]
- Fong, S.; Wong, R.; Vasilakos, A.V. Accelerated PSO Swarm Search Feature Selection for Data Stream Mining Big Data. IEEE Trans. Serv. Comput. 2016, 9, 33–45. [Google Scholar] [CrossRef]
- Hamad, S.A.; Omara, F.A. Genetic-based task scheduling algorithm in cloud computing environment. Int. J. Adv. Comput. Sci. Appl. 2016, 7, 550–556. [Google Scholar]
- Fidanova, S.; Durchova, M. Ant algorithm for grid scheduling problem. In Lecture Notes in Computer Science, Proceedings of the International Conference on Large-Scale Scientific Computing, Sozopol, Bulgaria, 6–10 June 2005; Springer: Berlin/Heidelberg, Germany, 2005; pp. 405–412. [Google Scholar]
- Tripathy, B.; Dash, S.; Padhy, S.K. Dynamic task scheduling using a directed neural network. J. Parallel Distrib. Comput. 2015, 75, 101–106. [Google Scholar] [CrossRef]
- Jena, R.K. Multi objective task scheduling in cloud environment using nested PSO framework. Procedia Comput. Sci. 2015, 57, 1219–1227. [Google Scholar] [CrossRef]
- Kiani, F.; Seyyedabbasi, A.; Nematzadeh, S.; Candan, F.; Çevik, T.; Anka, F.A.; Randazzo, G.; Lanza, S.; Muzirafuti, A. Adaptive Metaheuristic-Based Methods for Autonomous Robot Path Planning: Sustainable Agricultural Applications. Appl. Sci. 2022, 12, 943. [Google Scholar] [CrossRef]
- Elmougy, S.; Sarhan, S.; Joundy, M. A novel hybrid of Shortest job first and round Robin with dynamic variable quantum time task scheduling technique. J. Cloud Comput. 2017, 6, 12. [Google Scholar] [CrossRef]
- Manasrah, A.M.; Ba Ali, H. Workflow Scheduling Using Hybrid GA-PSO Algorithm in Cloud Computing. Wirel. Commun. Mob. Comput. 2018, 2018, 1934784. [Google Scholar] [CrossRef]
- Choudhary, A.; Gupta, I.; Singh, V.; Jana, P.K. A GSA based hybrid algorithm for bi-objective workflow scheduling in cloud computing. Future Gener. Comput. Syst. 2018, 83, 14–26. [Google Scholar] [CrossRef]
- Huang, Y.; Chen, Z.; Tao, Y.U.; Huang, X.; Gu, X. Agricultural remote sensing big data: Management and applications. J. Integr. Agric. 2018, 17, 1915–1931. [Google Scholar] [CrossRef]
- Ma, X.; Wang, Z.; Bai, L.; Xu, B.; Gao, J.; Wen, B.; Tao, J. Implementation of a Federated Large-Scale Remote Sensing Data Sharing Platform. In Proceedings of the 2021 IEEE International Geoscience and Remote Sensing Symposium IGARSS, Brussels, Belgium, 11–16 July 2021; pp. 5771–5774. [Google Scholar]
- Guo, J.; Huang, C.; Hou, J. A Scalable Computing Resources System for Remote Sensing Big Data Processing Using GeoPySpark Based on Spark on K8s. Remote Sens. 2022, 14, 521. [Google Scholar] [CrossRef]
- Yu, Z.; Wang, Z.; Bai, L.; Chen, L.; Tao, J. Remote Sensing Inversion of PM10 Based on Spark Platform. In Proceedings of the 2021 IEEE International Geoscience and Remote Sensing Symposium IGARSS, Brussels, Belgium, 11–16 July 2021; pp. 1685–1688. [Google Scholar]
- Chebbi, I.; Boulila, W.; Mellouli, N.; Lamolle, M.; Farah, I.R. A comparison of big remote sensing data processing with Hadoop MapReduce and Spark. In Proceedings of the 2018 4th International Conference on Advanced Technologies for Signal and Image Processing (ATSIP), Sousse, Tunisia, 21–24 March 2018; pp. 1–4. [Google Scholar]
- An, Q.; Hu, Q.; Tang, R.; Rao, L. Intelligent Scheduling Methodology for UAV Swarm Remote Sensing in Distributed Photovoltaic Array Maintenance. Sensors 2022, 22, 4467. [Google Scholar] [CrossRef]
- Wu, X.; Yang, Y.; Sun, Y.; Xie, Y.; Song, X.; Huang, B. Dynamic regional splitting planning of remote sensing satellite swarm using parallel genetic PSO algorithm. Acta Astronaut. 2022, in press. [Google Scholar] [CrossRef]
- Alkayal, E.S.; Jennings, N.R.; Abulkhair, M.F. Efficient task scheduling multi-objective particle swarm optimization in cloud computing. In Proceedings of the 2016 IEEE 41st Conference on Local Computer Networks Workshops (LCN Workshops), Dubai, United Arab Emirates, 7–10 November 2016; pp. 17–24. [Google Scholar]
- Gabi, D.; Ismail, A.S.; Zainal, A.; Zakaria, Z.; Al-Khasawneh, A. Cloud scalable multi-objective task scheduling algorithm for cloud computing using cat swarm optimization and simulated annealing. In Proceedings of the 2017 8th International Conference on Information Technology (ICIT), Amman, Jordan, 17–18 May 2017; pp. 1007–1012. [Google Scholar]
- Xing, L.; Li, W.; He, M.; Tan, X. Comprehensive multi-objective model to remote sensing data processing task scheduling problem. Concurr. Comput. Pract. Exp. 2017, 29, e4248. [Google Scholar] [CrossRef]
- Chen, H.; Du, C.; Li, J.; Jing, N.; Wang, L. An approach of satellite periodic continuous observation task scheduling based on evolutionary computation. In Proceedings of the Genetic and Evolutionary Computation Conference Companion, Berlin, Germany, 15–19 July 2017; pp. 15–16. [Google Scholar]
- Sun, J.; Li, H.; Zhang, Y.; Xu, Y.; Zhu, Y.; Zang, Q.; Wu, Z.; Wei, Z. Multiobjective task scheduling for energy-efficient cloud implementation of hyperspectral image classification. IEEE J. Sel. Top. Appl. Earth Obs. Remote Sens. 2020, 14, 587–600. [Google Scholar] [CrossRef]
- Zhao, Y.; Tian, C.; Fan, J.; Guan, T.; Qiao, C. RPC: Joint Online Reducer Placement and Coflow Bandwidth Scheduling for Clusters. In Proceedings of the International Conference on Network Protocols, ICNP, Cambridge, UK, 25–27 September 2018. [Google Scholar]
- Duggan, M.; Shaw, R.; Duggan, J.; Howley, E.; Barrett, E. A multitime-steps-ahead prediction approach for scheduling live migration in cloud data centers. Softw.-Pract. Exp. 2019, 49, 617–639. [Google Scholar] [CrossRef]
- Chao, S.C.; Lin, K.C.J.; Chen, M.S. Flow Classification for Software-Defined Data Centers Using Stream Mining. IEEE Trans. Serv. Comput. 2019, 12, 105–116. [Google Scholar] [CrossRef]
- Calheiros, R.N.; Ranjan, R.; Beloglazov, A.; De Rose, C.A.F.; Buyya, R. CloudSim: A toolkit for modeling and simulation of cloud computing environments and evaluation of resource provisioning algorithms. Softw.-Pract. Exp. 2011, 41, 23–50. [Google Scholar] [CrossRef]






| Node Number | Download Power (kB/s) | Energy Consumption per Unit Time (wh) | Unit Task Cost (CNY) |
|---|---|---|---|
| 1 | 2914.7 | 300 | 2 |
| 2 | 5049.45 | 330 | 4 |
| 3 | 4028.56 | 320 | 3 |
| 4 | 1531.6 | 285 | 1 |
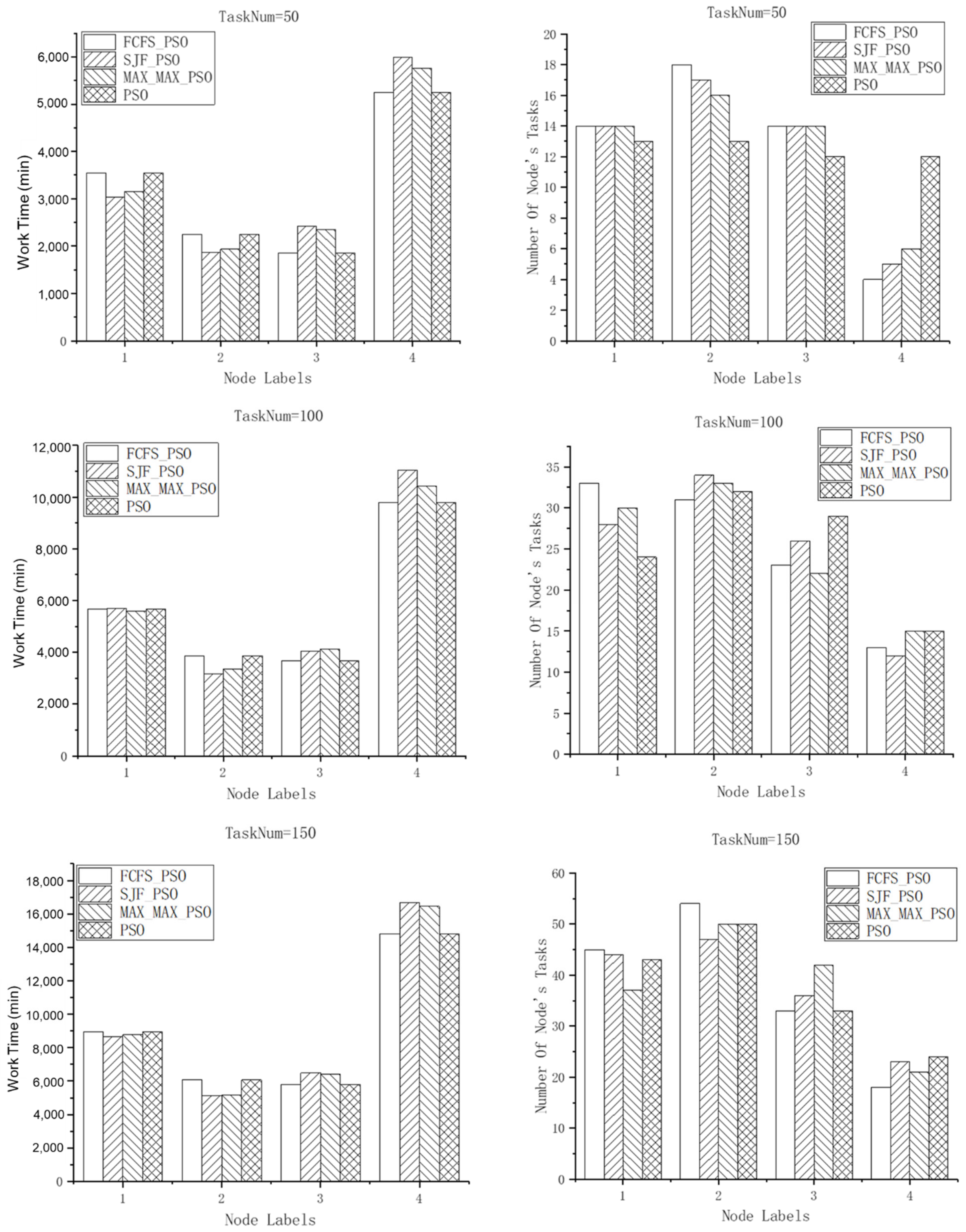
| The Number of Tasks | Algorithm | Node 1 | Node 2 | Node 3 | Node 4 | ||||
|---|---|---|---|---|---|---|---|---|---|
| Time (min) | The Number of Tasks | Time (min) | The Number of Tasks | Time (min) | The Number of tasks | Time (min) | The Number of Tasks | ||
| 50 | FCFS_PSO | 3544 | 14 | 2254 | 18 | 1861 | 14 | 5246 | 4 |
| SJF_PSO | 3027 | 14 | 1874 | 17 | 2426 | 14 | 5998 | 5 | |
| MAX_MAX_PSO | 3152 | 14 | 1935 | 16 | 2349 | 14 | 5761 | 6 | |
| PSO | 3543 | 13 | 2253 | 13 | 1861 | 12 | 5246 | 12 | |
| 100 | FCFS_PSO | 5675 | 33 | 3858 | 31 | 3663 | 23 | 9776 | 13 |
| SJF_PSO | 5691 | 28 | 3166 | 34 | 4041 | 26 | 11,032 | 12 | |
| MAX_MAX_PSO | 5586 | 30 | 3346 | 33 | 4117 | 22 | 10,439 | 15 | |
| PSO | 5676 | 24 | 3858 | 32 | 3663 | 29 | 9776 | 15 | |
| 150 | FCFS_PSO | 8951 | 45 | 6065 | 54 | 5805 | 33 | 14,807 | 18 |
| SJF_PSO | 8651 | 44 | 5128 | 47 | 6485 | 36 | 16,678 | 23 | |
| MAX_MAX_PSO | 8764 | 37 | 5174 | 50 | 6427 | 42 | 16,464 | 21 | |
| PSO | 8951 | 43 | 6065 | 50 | 5805 | 33 | 14,807 | 24 | |
| The Number of Tasks | Algorithm | Average Task Execution Time (min) | Optimum Fitness Value | Total Task Execution Time (min) | Total Task Energy Consumption (Wh) | Total Task Cost (CNY) |
|---|---|---|---|---|---|---|
| 50 | FCFS_PSO | 258 | 2766 | 12,905 | 3,897,650 | 146 |
| SJF_PSO | 266 | 2768 | 13,324 | 4,012,270 | 143 | |
| MAX_MAX_PSO | 264 | 2657 | 13,196 | 3,977,715 | 140 | |
| PSO | 258 | 2757 | 12,905 | 3,897,020 | 126 | |
| 100 | FCFS_PSO | 230 | 4912 | 22,972 | 6,933,960 | 278 |
| SJF_PSO | 239 | 4876 | 23,930 | 7,189,320 | 282 | |
| MAX_MAX_PSO | 235 | 4653 | 23,488 | 7,072,535 | 273 | |
| PSO | 229 | 5768 | 22,972 | 6,934,260 | 278 | |
| 150 | FCFS_PSO | 238 | 9365 | 35,629 | 10,764,345 | 423 |
| SJF_PSO | 246 | 8397 | 36,943 | 11,115,970 | 407 | |
| MAX_MAX_PSO | 245 | 7844 | 36,830 | 11,085,500 | 421 | |
| PSO | 237 | 8946 | 35,628 | 10,764,345 | 409 |
Publisher’s Note: MDPI stays neutral with regard to jurisdictional claims in published maps and institutional affiliations. |
© 2022 by the authors. Licensee MDPI, Basel, Switzerland. This article is an open access article distributed under the terms and conditions of the Creative Commons Attribution (CC BY) license (https://creativecommons.org/licenses/by/4.0/).
Share and Cite
Wang, Z.; Bai, L.; Liu, X.; Chen, Y.; Zhao, M.; Tao, J. Dynamic Task Scheduling in Remote Sensing Data Acquisition from Open-Access Data Using CloudSim. Appl. Sci. 2022, 12, 11508. https://doi.org/10.3390/app122211508
Wang Z, Bai L, Liu X, Chen Y, Zhao M, Tao J. Dynamic Task Scheduling in Remote Sensing Data Acquisition from Open-Access Data Using CloudSim. Applied Sciences. 2022; 12(22):11508. https://doi.org/10.3390/app122211508
Chicago/Turabian StyleWang, Zhibao, Lu Bai, Xiaogang Liu, Yuanlin Chen, Man Zhao, and Jinhua Tao. 2022. "Dynamic Task Scheduling in Remote Sensing Data Acquisition from Open-Access Data Using CloudSim" Applied Sciences 12, no. 22: 11508. https://doi.org/10.3390/app122211508
APA StyleWang, Z., Bai, L., Liu, X., Chen, Y., Zhao, M., & Tao, J. (2022). Dynamic Task Scheduling in Remote Sensing Data Acquisition from Open-Access Data Using CloudSim. Applied Sciences, 12(22), 11508. https://doi.org/10.3390/app122211508

