Dynamic Monitoring of the Standard Penetration of PHC Tubular Piles and Analysis of the Construction Effect Based on Monocular Visual Digital Photography
Abstract
1. Introduction
2. Monocular Visual Digital Photography
2.1. Digital Close-Range Photogrammetry Technology
2.2. Image-Forming Principle and Calibration of the Camera
- (1)
- A black-and-white checkerboard was designed. Pictures of the checkerboard were taken using smartphones at different postures, from different distances (Figure 2). A group of pictures was taken, and the poor-quality ones were eliminated. Finally, the calibration results were obtained, as shown in Table 1.
- (2)
- The calibration results were compared with the results of the MATLAB Camera Calibrator, and they had only slight differences. Moreover, the mean reprojection error of the PDMS was smaller than 0.5 pixels.
2.3. Cooperative Transform Shifting Parallax Method
3. Dynamic Monitoring Test of the Standard Penetration of Large-Diameter Tubular Piles and the Relevant Construction Effect
3.1. Dynamic Monitoring Test of Standard Penetration of Large-Diameter Tubular Piles
3.2. Field Tests on the Construction Effect of Large-Diameter Tubular Piles
3.3. Indoor Tests on the Construction Effect of Large-Diameter Tubular Piles
4. Data Processing and Analysis
4.1. Standard Penetration Data Analysis of Large-Diameter Tubular Piles
4.2. Field Monitoring Data Analysis of the Construction Effect of Large-Diameter Tubular Piles
4.3. Plugging Effect Analysis of Large-Diameter Tubular Piles
4.4. Squeezing Effect Analysis of Large-Diameter Tubular Piles
5. Conclusions
- (1)
- When large-diameter tubular piles penetrate from the loose stratum to aleurite and then to silt, the relationship between the penetration and time function (blow counts) evolves as a piecewise function. This, which is a logarithmic function in the early stage, a gently sloping linear function in the middle stage, and a sharply sloping linear function in the late stage. The penetration rates vary significantly under different strata conditions.
- (2)
- According to the measurement data regarding pile deviation, the squeezing effect increases and then weakens during adjacent pile construction and pile-jumping construction. The maximum squeezing effect is observed as the adjacent pile is penetrated by about 20 m or the jumping pile is penetrated by about 10 m. The monitored pile is influenced greatly by the construction of adjacent piles, similar to the results of the pile-jumping construction method.
- (3)
- The plugging effect can be divided into three stages: the formation of a soil plug, increases in the frictional force between the soil plug and pile wall, and closure. In the first stage, it is manifested as a convex arch. In the second stage, the soil plug gradually changes from a convex arch to a concave arch. In the third stage, the soil plug is closed completely. Such engineering characteristics are similar to those of closed-ended piles.
- (4)
- The horizontal and longitudinal spheres of influence of surrounding soil masses expand gradually with increases in the penetration depth of tubular piles. More specifically, vertical influences are significantly greater than horizontal influences. The contour lines the of vertical and horizontal spheres of influence form a rectangular distribution.
- (5)
- When the plugging effect of a tube is closed, a horizontal squeezing effect of the surrounding piles of soil mass is developed. The horizontal sphere of influence expands, including the shear failure zone, radial compression zone, and hemispherical expansion zone. Among them, the radial compression zone is expanded to the point where it is nine times the pile diameter away from the pile axis, and the hemispherical expansion zone extends to the depth where it is 1.5 times the pile length.
Author Contributions
Funding
Institutional Review Board Statement
Informed Consent Statement
Data Availability Statement
Acknowledgments
Conflicts of Interest
References
- Zhou, Y.; Chen, Y.H.; Kong, G.Q.; Chen, L.; Chen, G. Pile-soil stress ratio and settlement of in-situ shallow solidification-combined pipe-pile composite foundation under embankment load. Rock Soil Mech. 2022, 43, 688–696. [Google Scholar]
- Xing, H.F.; Zhao, H.W.; Ye, G.B.; Xu, C. Analysis of engineering characteristics of PHC pipe piles. Chin. J. Geotech. Eng. 2009, 31, 36–39. [Google Scholar]
- Luo, C.L.; He, J.C.; Ding, J.; Xia, Y.M. Numerical analysis on liquefaction properties and driving penetration of vibrating pile. J. Guangxi Univ. Nat. Sci. Ed. 2011, 36, 923–929. [Google Scholar]
- Lei, H.Y.; Li, X.; Lu, P.Y.; Huo, H.F. Field test and numerical simulation of squeezing effect of pipe pile. Rock Soil Mech. 2012, 33, 1006–1012. [Google Scholar]
- Xie, Y.J.; Wang, H.Z.; Zhu, H.H. Soil plugging effect of PHC pipe pile during driving into soft clay. Rock Soil Mech. 2009, 30, 1671–1675. [Google Scholar]
- Xing, H.F.; Zhao, H.W.; Xu, C.; Ye, G.B. Dring effect of PHC pipe piles. Chin. J. Geotech. Eng. 2009, 31, 1208–1212. [Google Scholar]
- Yu, X.; Zhao, H.Q. The finite element analysis of large diameter PHC pipe pile soil plug effect. Shanxi Archit. 2014, 40, 69–71. [Google Scholar]
- Chen, L.Z.; Gao, F.; Song, C.Y.; Cai, Z.H. Monitoring extrusion effects in soft clay ground caused by statically piling. J. Shanghai Jiao Tong Univ. 2003, 37, 1910–1915. [Google Scholar]
- Liu, J.W.; Wang, L.Z.; Zhu, N.; Zhang, C.W.; Zhao, G.X. Large-scale model test on installation characteristics of open-ended pipe pile. Chin. J. Eng. 2019, 41, 269–277. [Google Scholar]
- Ko, J.; Jeong, S.; Lee, J.K. Large deformation fe analysis of driven steel pipe piles with soil plugging. Comput. Geotech. 2016, 71, 82–97. [Google Scholar] [CrossRef]
- Zhan, Y.X.; Yao, H.L.; Dong, Q.P.; He, D.P. Study of process of open-ended pipe pile driven into sand soil by particle flow simuation. Rock Soil Mech. 2013, 34, 283–289. [Google Scholar]
- Tang, B.; Zhou, Y.J.; Lv, G.S. Model expermental investigation on plugging effect of open pile in Zhanjiang group structual clay. Sci. Technol. Eng. 2017, 17, 117–123. [Google Scholar]
- Leane, B.M.; Gavin, F.G. Base resistance of jacFed pipe piles in sand. J. Geotech. Geoenviron. Eng. 2001, 127, 473–480. [Google Scholar] [CrossRef]
- Wang, T.; Xue, H.; Wu, R. Mechanism of soil plug for jacked pipe pile in clay. Rock Soil Mech. 2018, 39, 4335–4341, 4350. [Google Scholar]
- Doherty, P.; Gavin, F. Shaft capacity of open-ended piles in clay. J. Geotech. Geoenviron. Eng. 2011, 137, 1090–1102. [Google Scholar] [CrossRef]
- Gavin, F.; Barry, M.L. The shaft capacity of pipe piles in sand. Can. Geotech. J. 2011, 40, 36–45. [Google Scholar] [CrossRef]
- Thongmunee, S.; Matsumoto, T.; Kobayashi, S.I.; Ken, K. Experimental and Numerical Studies on Push-Up Load Tests for Sand Plugs in a Steel Pipe Pile. Soils Found. 2011, 51, 959–974. [Google Scholar] [CrossRef]
- Mohammed, Y.; Fattah; Wissam, H.; Soudani, A.; Maher, O. Estimation of bearing capacity of open-ended model piles in sand. Arab. J. Geosci. 2016, 9, 242. [Google Scholar]
- Mohammed, Y.; Fattah; Wissam, H.S.; Soudani, A. Bearing capacity of open-ended pipe piles with restricted soil plug. Ships Offshore Struct. 2015, 11, 501–516. [Google Scholar]
- Zhang, G.J.; Guo, G.L.; Yu, C.X.; Liu, S.Z. Application of rapid photogrammetry system in the deformation observation of bridge. Highway 2017, 62, 193–197. [Google Scholar]
- Yu, C.X.; Zhang, G.J.; Zhao, Y.Q.; Liu, X.D.; Ding, X.H.; Zhao, T.L. Bridge monitoring and warning system based on digital measurement technology. J. Shandong Univ. (Eng. Sci.) 2020, 50, 115–122. [Google Scholar]
- Xu, F.; Yu, C.; Huang, G.; Liu, Y. The Monitor of Steel Structure Bend Deformation Based on Digital Photogrammetry. Geomat. Inf. Sci. Wuhan Univ. 2001, 26, 256–260. [Google Scholar]
- Zhang, G.J.; Yu, C.X.; Guo, G.L. Application of digital close-range photogrammetry in the deformation observation of check gate. J. Shandong Univ. (Eng. Sci. Ed.) 2017, 47, 46–51. [Google Scholar]
- Zhang, G.; Guo, G.; Li, L.; Yu, C. Study on the dynamic properties of a suspended bridge using monocular digital photography to monitor the bridge dynamic deformation. J. Civ. Struct. Health Monit. 2018, 8, 555–567. [Google Scholar] [CrossRef]
- Zhang, G.; Guo, G.; Yu, C.; Li, L.; Hu, S.; Wang, X. Monitoring instantaneous dynamic displacements of masonry walls in seismic oscillation outdoors by monocular digital photography. Math. Probl. Eng. 2018, 2018, 1–15. [Google Scholar] [CrossRef]
- Wu, L.Y. Research on Digital Photogrammetry Technology in Instantaneous Deformation Monitoring of Aircraft Structures. Master’s Dissertation, Shandong Jianzhu University, Jinan, China, 2020. [Google Scholar]
- Ge, Y.; Yu, C.; Zhao, T.; Liu, X. Real-Time Monitoring Deformation of Building Using Photography Dynamic Monitoring System. Stavební Obz. Civ. Eng. J. 2021, 30, 245–259. [Google Scholar] [CrossRef]
- Ge, Y.; Yu, C.; Liu, X.; Wang, R. Monitoring dynamic deformation of communication tower using photography dynamic monitoring system. IOP Conf. Ser. Earth Environ. Sci. 2020, 558, 022061. [Google Scholar] [CrossRef]
- Achour, K.; Benkhelif, M. A new approach to 3d reconstruction without camera calibration. Pattern Recognit. 2001, 34, 2467–2476. [Google Scholar] [CrossRef]
- Brown, D.C. Close-range camera calibration. Eng 1971, 8, 855–866. [Google Scholar]
- Bradski, G.R.; Kaehler, A. Learning OpenCV—Computer Vision with the OpenCV Library: Software That Sees; O’Reilly Media, Inc.: Sebastopol, CA, USA, 2008; pp. 154–159. [Google Scholar]
- Tsai, R.Y. A versatile camera calibration technique for high-accuracy 3d machine vision metrology using off the shelf tv cameras and lenses. IEEE J. Robot. Autom. 1987, 3, 323–344. [Google Scholar] [CrossRef]
- Zhang, Z. A flexible new technique for camera calibration. IEEE Trans. Pattern Anal. Mach. Intell. 2000, 22, 1330–1334. [Google Scholar] [CrossRef]
- Zhang, G.J.; Yu, C.X.; Guo, G.L.; Gong, Y.Q. Monitoring Sluice Health in Vibration by Monocular Digital Photography and a Measurement Robot. KSCE J. Civ. Eng. 2019, 23, 2666–2678. [Google Scholar] [CrossRef]
- Yu, C.; Zhang, G.; Ding, X.; Zhao, Y.; Guo, G. Monitoring dynamic deformation of shuttle steel shelves by digital photography. Civ. Eng. J. 2019, 27, 136–150. [Google Scholar] [CrossRef]
- Gao, M. A field investigation and analysis of a large pipe pile under static and dynamic lateral loadings. Acta Entomol. Sin. 1986, 29, 272–282. [Google Scholar]
- Wu, W.; El Naggar, M.H.; Abdlrahem, M.; Mei, G.; Wang, K. New interaction model for vertical dynamic response of pipe piles considering soil plug effect. Can. Geotech. J. 2017, 54, 987–1001. [Google Scholar] [CrossRef]
- Zheng, C.; Luan, L.; Qin, H.; Zhou, H. Horizontal dynamic response of a combined loaded large-diameter pipe pile simulated by the timoshenko beam theory. Int. J. Struct. Stab. Dyn. 2020, 20, 18. [Google Scholar] [CrossRef]
- Trung, N.T.; Kiyomiya, O.; Yoshida, M. The dynamic behavior of a steel pipe sheet pile foundation in a liquefied layer during an earthquake. J. JSCE 2014, 2, 16–135. [Google Scholar] [CrossRef][Green Version]




















| Calibration Method | PDMS | MATLAB | |
|---|---|---|---|
| Camera internal parameters | 3095.729583 | 3115.151478 | |
| 3081.980675 | 3101.594706 | ||
| 1979.634456 | 1990.049731 | ||
| 1510.257453 | 1513.00499 | ||
| Average re projection error | Mean error in Pixel | 0.2256 | 0.3800 |
| Deformation parameters | 0.286489 | 0.342840 | |
| −1.464689 | −1.956038 | ||
| −0.000442 | 0.000571 | ||
| −0.000537 | −0.000147 | ||
| 2.365860 | 3.615712 | ||
| Geologic Age | Strata No. | Bottom Elevation (m) | Bottom Depth (m) | Thickness of Strata (m) | Description of Strata |
|---|---|---|---|---|---|
| Q4 al+pl | 1 | 15.5 | 0.5 | 0.5 | Plain fill: isabelline, loose, slightly humid, silt as the major component, with few plant roots. |
| Q4 al+pl | 2 | 8.9 | 7.1 | 6.6 | Silt: isabelline, slightly compact, slightly humid, uniform ingredients, high sand content. |
| Q4 al+pl | 3 | −1.2 | 17.2 | 10.1 | Silty clay: yellow, 14.1–14.5 M. cinereus, plastic, locally thin silt strata, occasional iron and manganese oxides, moderate dry strength, moderate tenacity, smooth cutting surface. |
| Q4 al+pl | 4 | −3.2 | 19.2 | 2 | Aleurite: isabelline, moderately compact, saturated, quartz and feldspar as major components, relatively pure arenaceous, good sorting performance, poor grading. |
| Q4 al+pl | 5 | −7.6 | 23.6 | 4.4 | Silt: isabelline, compact, humid, thin layer with small clay soil content, moderate dry strength, poor tenacity. |
| Q3 al+pl | 6 | −10.1 | 26.1 | 2.5 | Aleurite: isabelline, compact, saturated, quartz and feldspar as major components, relatively pure arenaceous, good sorting performances, poor grading. |
| Q3 al+pl | 7 | −26.1 | 42.1 | 16 | Fine sand: isabelline, compact, saturated, quartz and feldspar as major components, relatively pure arenaceous, good sorting, poor grading. |
| Q3 al+pl | 8 | −34 | 50 | 7.9 | Silt: brown, compact, humid, thin layer with small clay soil content, looks like multi-layer steamed bread, stinking smell, moderate dry strength, poor tenacity. |
| Blow Counts | Pile 1 Blow Test | Pile 2 Blow Test | ||||
|---|---|---|---|---|---|---|
| 1-Point 0 | 1-Point 1 | 1-Point 2 | 2-Point 0 | 2-Point 1 | 2-Point 2 | |
| 1 | 0 | 0.73 | 0.73 | 0.99 | 0 | 0 |
| 2 | 0 | 0 | 0.73 | 0.99 | 0 | 0 |
| 3 | 0 | 0 | 0.73 | 0.49 | 0 | 0 |
| 4 | −0.73 | 0 | 0.73 | 0.99 | 0 | 0 |
| 5 | −0.73 | 0.73 | 0 | 0.49 | −0.49 | 0 |
| 6 | 0 | 0 | 0.73 | 0.49 | 0 | 0 |
| 7 | −0.73 | 0 | 0 | 0.99 | 0 | −0.49 |
| 8 | −0.73 | 0.73 | 0 | 0.99 | 0 | 0 |
| 9 | 0 | 0 | 0.73 | 0.99 | 0 | 0 |
| 10 | 0 | 0 | 0.73 | 0.49 | 0 | 0 |
| 11 | 0 | 0 | 0.73 | 0.99 | −0.49 | 0 |
| 12 | 0 | 0 | 0.73 | 0.49 | 0 | 0 |
| MSE | 0.42 | 0.37 | 0.63 | 0.82 | 0.20 | 0.14 |
| Hit Times | Displacement/m | Hit Times | Displacement/m | Hit Times | Displacement/m |
|---|---|---|---|---|---|
| 1 | 0.099 | 42 | 6.190 | 83 | 8.801 |
| 2 | 0.157 | 43 | 6.323 | 84 | 8.883 |
| 3 | 0.267 | 44 | 6.433 | 85 | 8.921 |
| 4 | 0.314 | 45 | 6.430 | 86 | 8.922 |
| 5 | 0.388 | 46 | 6.605 | 87 | 8.960 |
| 6 | 0.460 | 47 | 6.626 | 88 | 8.997 |
| 7 | 0.596 | 48 | 6.885 | 89 | 9.046 |
| 8 | 0.605 | 49 | 6.948 | 90 | 9.084 |
| 9 | 0.704 | 50 | 6.977 | 91 | 9.124 |
| 10 | 0.832 | 51 | 7.100 | 92 | 9.220 |
| 11 | 0.883 | 52 | 7.159 | 93 | 9.257 |
| 12 | 0.940 | 53 | 7.190 | 94 | 9.287 |
| 13 | 1.310 | 54 | 7.317 | 95 | 9.327 |
| 14 | 1.505 | 55 | 7.372 | 96 | 9.364 |
| 15 | 1.622 | 56 | 7.398 | 97 | 9.403 |
| 16 | 1.786 | 57 | 7.488 | 98 | 9.408 |
| 17 | 1.937 | 58 | 7.551 | 99 | 9.507 |
| 18 | 1.993 | 59 | 7.604 | 100 | 9.523 |
| 19 | 2.364 | 60 | 7.692 | 101 | 9.548 |
| 20 | 2.595 | 61 | 7.737 | 102 | 9.605 |
| 21 | 2.780 | 62 | 7.786 | 103 | 9.593 |
| 22 | 2.978 | 63 | 7.851 | 104 | 9.671 |
| 23 | 3.073 | 64 | 7.900 | 105 | 9.663 |
| 24 | 3.519 | 65 | 7.962 | 106 | 9.705 |
| 25 | 3.790 | 66 | 8.016 | 107 | 9.782 |
| 26 | 3.986 | 67 | 8.027 | 108 | 9.819 |
| 27 | 4.113 | 68 | 8.081 | 109 | 9.868 |
| 28 | 4.149 | 69 | 8.135 | 110 | 9.911 |
| 29 | 4.658 | 70 | 8.244 | 111 | 9.931 |
| 30 | 4.655 | 71 | 8.301 | 112 | 9.978 |
| 31 | 4.763 | 72 | 8.308 | 113 | 10.007 |
| 32 | 4.877 | 73 | 8.353 | 114 | 10.051 |
| 33 | 4.997 | 74 | 8.409 | 115 | 10.079 |
| 34 | 5.045 | 75 | 8.442 | 116 | 10.118 |
| 35 | 5.143 | 76 | 8.466 | 117 | 10.186 |
| 36 | 5.187 | 77 | 8.552 | 118 | 10.191 |
| 37 | 5.455 | 78 | 8.631 | ⋮ | ⋮ |
| 38 | 5.617 | 79 | 8.672 | ⋮ | ⋮ |
| 39 | 5.736 | 80 | 8.708 | 151 | 11.507 |
| 40 | 5.833 | 81 | 8.781 | 152 | 11.541 |
| 41 | 5.914 | 82 | 8.791 | 153 | 11.535 |
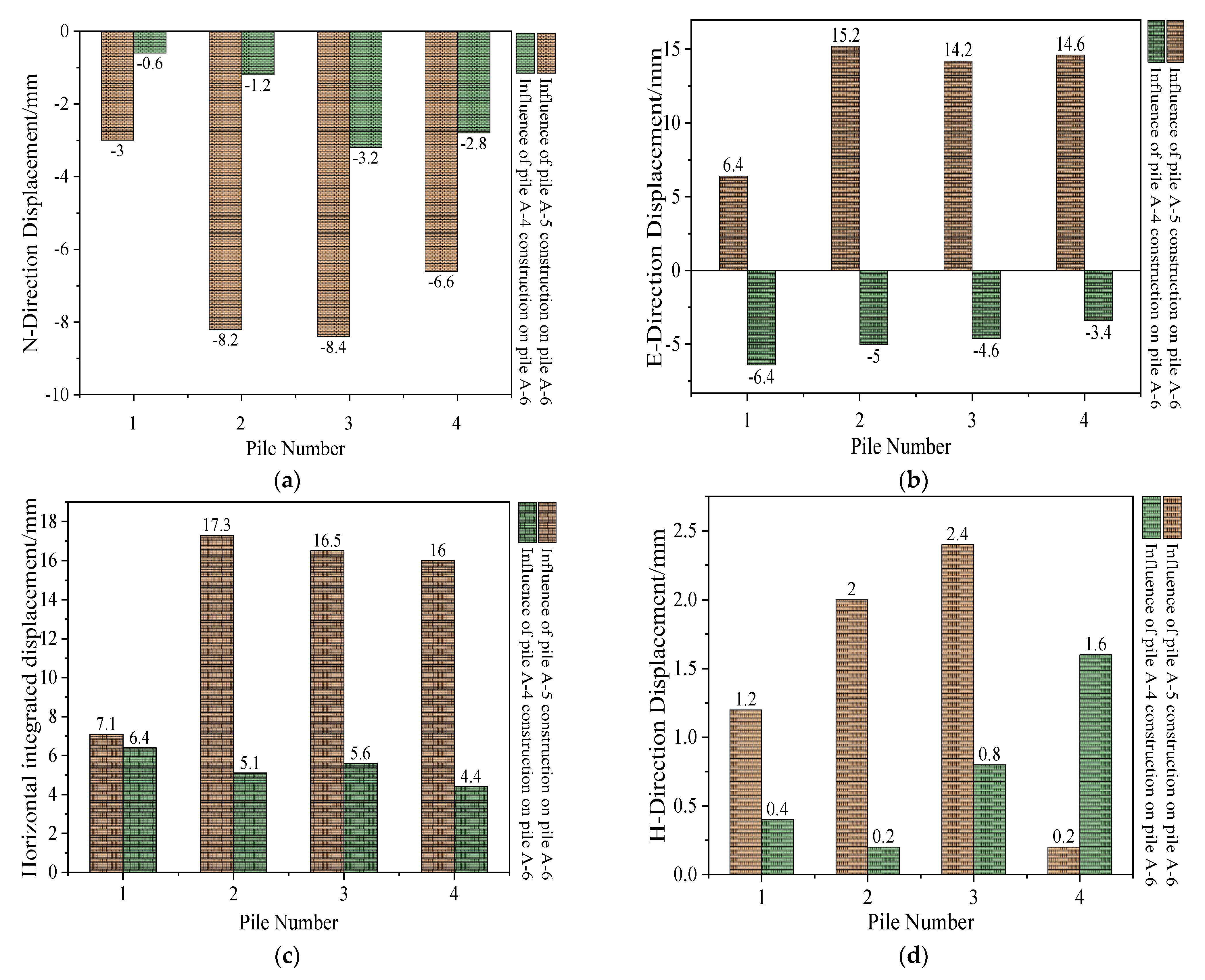
| Pipe Pile Number | Displacement in N Direction/mm | Displacement in E Direction/mm | Displacement in H Direction/mm | |||
|---|---|---|---|---|---|---|
| Construction of A-5 | Construction of A-4 | Construction of A-5 | Construction of A-4 | Construction of A-5 | Construction of A-4 | |
| 1 | −3.0 | −0.6 | 6.4 | −6.4 | 1.2 | 0.4 |
| 2 | −8.2 | −1.2 | 15.2 | −5.0 | 2.0 | 0.2 |
| 3 | −8.4 | −3.2 | 14.2 | −4.6 | 2.4 | 0.8 |
| 4 | −6.6 | −2.8 | 14.6 | −3.4 | 0.2 | 1.6 |
Publisher’s Note: MDPI stays neutral with regard to jurisdictional claims in published maps and institutional affiliations. |
© 2022 by the authors. Licensee MDPI, Basel, Switzerland. This article is an open access article distributed under the terms and conditions of the Creative Commons Attribution (CC BY) license (https://creativecommons.org/licenses/by/4.0/).
Share and Cite
Zhang, G.; Liu, Z.; Xiong, W.; Zhang, S.; Liu, S.; Wang, Z.; Wang, Y. Dynamic Monitoring of the Standard Penetration of PHC Tubular Piles and Analysis of the Construction Effect Based on Monocular Visual Digital Photography. Appl. Sci. 2022, 12, 11468. https://doi.org/10.3390/app122211468
Zhang G, Liu Z, Xiong W, Zhang S, Liu S, Wang Z, Wang Y. Dynamic Monitoring of the Standard Penetration of PHC Tubular Piles and Analysis of the Construction Effect Based on Monocular Visual Digital Photography. Applied Sciences. 2022; 12(22):11468. https://doi.org/10.3390/app122211468
Chicago/Turabian StyleZhang, Guojian, Zhiyong Liu, Wei Xiong, Sifeng Zhang, Shengzhen Liu, Zhiwei Wang, and Yushuai Wang. 2022. "Dynamic Monitoring of the Standard Penetration of PHC Tubular Piles and Analysis of the Construction Effect Based on Monocular Visual Digital Photography" Applied Sciences 12, no. 22: 11468. https://doi.org/10.3390/app122211468
APA StyleZhang, G., Liu, Z., Xiong, W., Zhang, S., Liu, S., Wang, Z., & Wang, Y. (2022). Dynamic Monitoring of the Standard Penetration of PHC Tubular Piles and Analysis of the Construction Effect Based on Monocular Visual Digital Photography. Applied Sciences, 12(22), 11468. https://doi.org/10.3390/app122211468

