Study of Refining Effect of Mixed Pulps Using Refiner Plates with Different Bar Patterns
Abstract
1. Introduction
2. Experimental
2.1. Raw Materials
2.2. Manufacturing a Novel Refiner Plate without a Draft Angle
2.3. Refining
2.4. Analysis of Pulp and Paper Properties
3. Results and Discussion
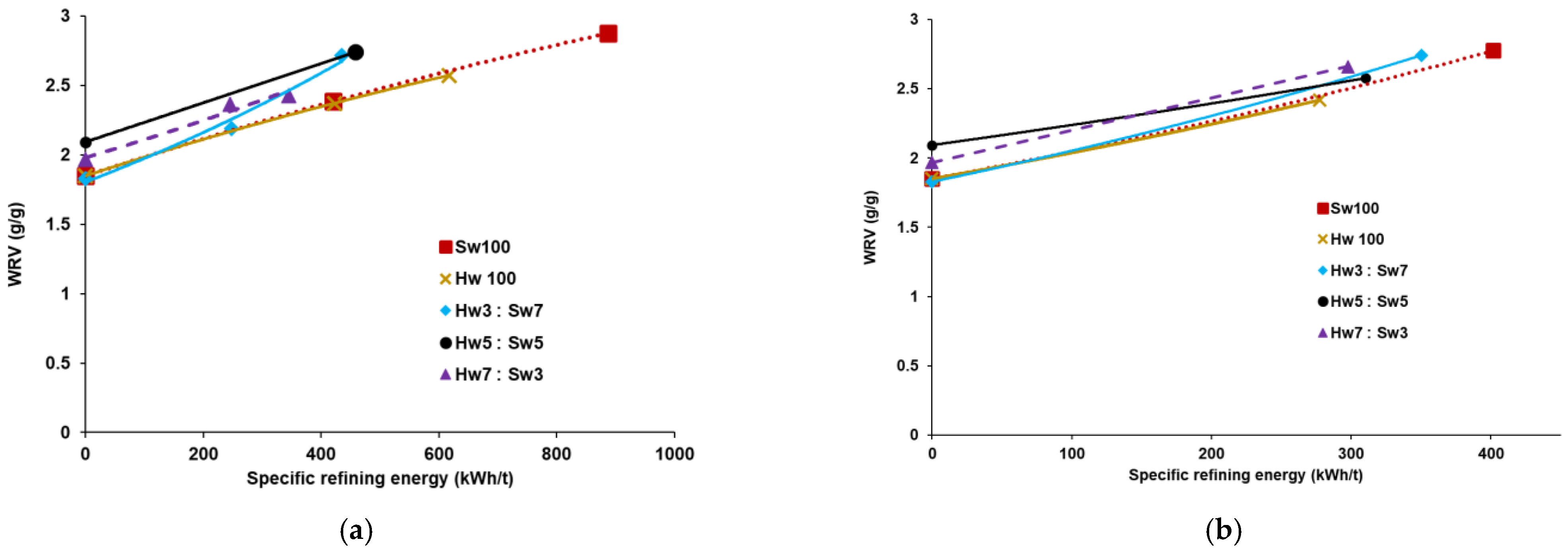
3.1. Fiber Properties
3.2. Physical Properties of Paper
3.3. Stock Throughput
4. Conclusions
Author Contributions
Funding
Acknowledgments
Conflicts of Interest
References
- Lumiainen, J. Refining of chemical pulp. Papermak. Part 2000, 1, 86–122. [Google Scholar]
- Bajpai, P. Technology Developments in Refining; Pira International: Surrey, UK, 2005. [Google Scholar]
- Nugroho, D.D.P. Low Consistency Refining of Mixtures of Softwood & Hardwood Bleached Kraft Pulp: Effects of Refining Power; Asian Institute of Technology: Khlong Nueng, Thailand, 2012. [Google Scholar]
- Annergren, G.; Hagen, N. Industrial beating/refining. Pulp Pap. Chem. Technol. 2009, 3, 121–136. [Google Scholar]
- Ilvessalo-Pfäffli, M.S. Fiber Atlas: Identification of Papermaking Fibers; Springer Science & Business Media: Berlin/Heidelberg, Germany, 1995. [Google Scholar]
- Gharehkhani, S.; Sadeghinezhad, E.; Kazi, S.N.; Yarmand, H.; Badarudin, A.; Safaei, M.R.; Zubir, M.N.M. Basic effects of pulp refining on fiber properties—A review. Carbohydr. Polym. 2015, 115, 785–803. [Google Scholar] [CrossRef] [PubMed]
- Mohlin, U.B.; Miller, J.; Mohlin, U.; Miller, J. Industrial refining-effects of refining conditions on fibre properties. Int. Refin. Conf. 1995, 4, 19–22. [Google Scholar]
- Bajpai, P. Brief description of the pulp and papermaking process. In Biotechnology for Pulp and Paper Processing; Springer: Singapore, 2018; pp. 9–26. [Google Scholar]
- Lumiainen, J.J. A new approach to the critical factors affecting on refining intensity and refining result in low consistency refining. In Proceedings of the Tappi Papermakers Conference, Atlanta, GA, USA, 5 December 1990; pp. 393–410. [Google Scholar]
- Kibblewhite, R.P.; Bawden, A.D. Fiber and fiber wall response to refining in softwood and hardwood pulps. In Proceedings of the PIRA Conference on Current and Future Technologies of Refining Conference, Birmingham, UK, 10–12 December 1991. [Google Scholar]
- Kijima, T.; Yamakawa, I. Effect of beating condition on shrinkage during drying. Jpn. Tappi J. 1978, 32, 722–727. [Google Scholar] [CrossRef][Green Version]
- Chauhan, V.S.; Kumar, N.; Kumar, M.; Chakrabarti, S.K.; Thapar, S.K. Effect of separate and mixed refining of hardwood and softwood pulps on paper properties. J. Korea Tappi 2011, 43, 1–10. [Google Scholar]
- Sigl, R.; Bergfeld, D. Low intensity refining of hardwood and deinked pulps with a new type of filling in a double disc refiner. Tappsa J. 1999, 7. Available online: https://www.eucalyptus.com.br/artigos/1999_TAPPSA_Low+Intensity+Refining.pdf (accessed on 15 September 2022).
- Nazhad, M.M. The influence of refining energy and intensity on enhancing the bonding potential of an OCC pulp. Appita Technol. Innov. Manuf. Environ. 2004, 57, 191–198. [Google Scholar]
- Bajpai, P. Biermann’s Handbook of Pulp and Paper: Volume 2: Paper and Board Making; Elsevier: Amsterdam, The Netherlands, 2018. [Google Scholar]
- Olson, J.A.; Drozdiak, J.; Martinez, M.; Garner, R.; Robertson, A.G.; Kerekes, R. Characterizing fibre shortening in low-consistency refining using a comminution model. Powder Technol. 2003, 129, 122–129. [Google Scholar] [CrossRef]
- J&L Fiber Services. J&L Refiner Plates: Ultra-BarTM Patterns with PowerCastTM Technology; Valmet Inc.: Waukesha, WI, USA, 2006. [Google Scholar]
- Lee, M.-S.; Kim, C.-H.; Lee, J.-Y.; Park, S.-H.; Min, B.-G. Performance evaluation of bar plates without a draft angle to improve refining efficiency. J. Korea TAPPI 2019, 51, 5–11. [Google Scholar] [CrossRef]
- Gu, H.G.; Min, B.G.; Lee, J.Y.; Park, S.H.; Lee, M.S.; Lee, C.Y.; Kim, C.H. Mechanical modification of softwood pulp fibers using a novel lightweight vertical bar plate. Tappi J. 2021, 20, 241–251. [Google Scholar] [CrossRef]
- Ratnieks, E.; Massoquete, A.; Demuner, B.J.; Robinson, D.; DeFore, R. Ultra low intensity refining of eucalyptus pulp for papermaking. In International Pulp Refining Seminar; Otaniemi: Espoo, Finland, 2007; pp. 7–13. [Google Scholar]
- Robinson, D.; DeFoe, R.; Gooding, R. Novel technology for ultra-low intensity refining. In World Pulp & Paper 2010; REM Productions: Milan, Italy, 2010; pp. 20–23. [Google Scholar]
- Min, B.G.; Lee, J.Y.; Kim, C.H.; Park, S.H.; Lee, M.S.; Gu, H.G.; Lee, C.Y. New technology for developing a lightweight refiner plate for hardwood kraft pulp fibers. BioResources 2020, 15, 9128. [Google Scholar] [CrossRef]
- Li, B.; Li, H.; Zha, Q.; Bandekar, R.; Alsaggaf, A.; Ni, Y. Effects of wood quality and refining process on TMP pulp and paper quality. BioResources 2011, 6, 3569–3584. [Google Scholar] [CrossRef]
- Östberg, G.; Salmén, L. Effects of fibrillation of wood fibers on their interaction with water. Nord. Pulp Pap. Res. J. 1991, 6, 23–26. [Google Scholar] [CrossRef]
- Johansson, A. Correlations between Fibre Properties and Paper Properties. Master’s Thesis, KTH, School of Chemical Science and Engineering, Stockholm, Sweden, 2011. [Google Scholar]
- Wangaard, F.F.; Woodson, G.E. Fiber length-fiber strength interrelationship for slash pine and its effect on pulp-sheet properties. Wood Sci. 1972, 5, 235–240. [Google Scholar]
- Hubbe, M.A. Bonding between cellulosic fibers in the absence and presence of dry-strength agents—A review. BioResources 2006, 1, 281–318. [Google Scholar] [CrossRef]













| Length-Weighted Mean Fiber Length (mm) | Length-Weighted Fine Contents (%) | Fiber Width (µm) | Fiber Coarseness (mg/m) | Freeness (mL CSF) | |
|---|---|---|---|---|---|
| Hw-BKP | 0.7 | 9.5 | 20.6 | 0.46 | 640 |
| Sw-BKP | 2.2 | 5.1 | 34.0 | 0.18 | 790 |
| Plate A (PA55) | Plate B (PB97) | |
|---|---|---|
| Plate | ![]() | ![]() |
| Bar dimension (mm) | ![]() | ![]() |
| Bar angle (°) | 20 | 40 |
| Bar number/segment | 67 | 160 |
| Segment No. | 3 | 3 |
| CEL (km/s) | 55 | 97 |
| Weight/segment (g) | 924.9 | 794.5 |
Publisher’s Note: MDPI stays neutral with regard to jurisdictional claims in published maps and institutional affiliations. |
© 2022 by the authors. Licensee MDPI, Basel, Switzerland. This article is an open access article distributed under the terms and conditions of the Creative Commons Attribution (CC BY) license (https://creativecommons.org/licenses/by/4.0/).
Share and Cite
Ryu, J.-H.; Kim, C.-H.; Lee, J.-Y.; Lee, J.-S.; Lee, C.-H.; Park, J.-H. Study of Refining Effect of Mixed Pulps Using Refiner Plates with Different Bar Patterns. Appl. Sci. 2022, 12, 11445. https://doi.org/10.3390/app122211445
Ryu J-H, Kim C-H, Lee J-Y, Lee J-S, Lee C-H, Park J-H. Study of Refining Effect of Mixed Pulps Using Refiner Plates with Different Bar Patterns. Applied Sciences. 2022; 12(22):11445. https://doi.org/10.3390/app122211445
Chicago/Turabian StyleRyu, Jeong-Heon, Chul-Hwan Kim, Ji-Young Lee, Ji-Su Lee, Cheong-Ha Lee, and Jin-Hwa Park. 2022. "Study of Refining Effect of Mixed Pulps Using Refiner Plates with Different Bar Patterns" Applied Sciences 12, no. 22: 11445. https://doi.org/10.3390/app122211445
APA StyleRyu, J.-H., Kim, C.-H., Lee, J.-Y., Lee, J.-S., Lee, C.-H., & Park, J.-H. (2022). Study of Refining Effect of Mixed Pulps Using Refiner Plates with Different Bar Patterns. Applied Sciences, 12(22), 11445. https://doi.org/10.3390/app122211445





