Corner Convergence Effect of Enclosed Blast Shock Wave and High-Pressure Range
Abstract
1. Introduction
2. Simulation Model
2.1. Model Design
2.2. Simulation Model Verification
2.3. Simulation Working Arrangement
3. Mechanism of High-Pressure Formation at Corners
3.1. Theoretical Analysis of Convergence Effects at Corners
3.2. Simulation of Convergence Effects at Corners
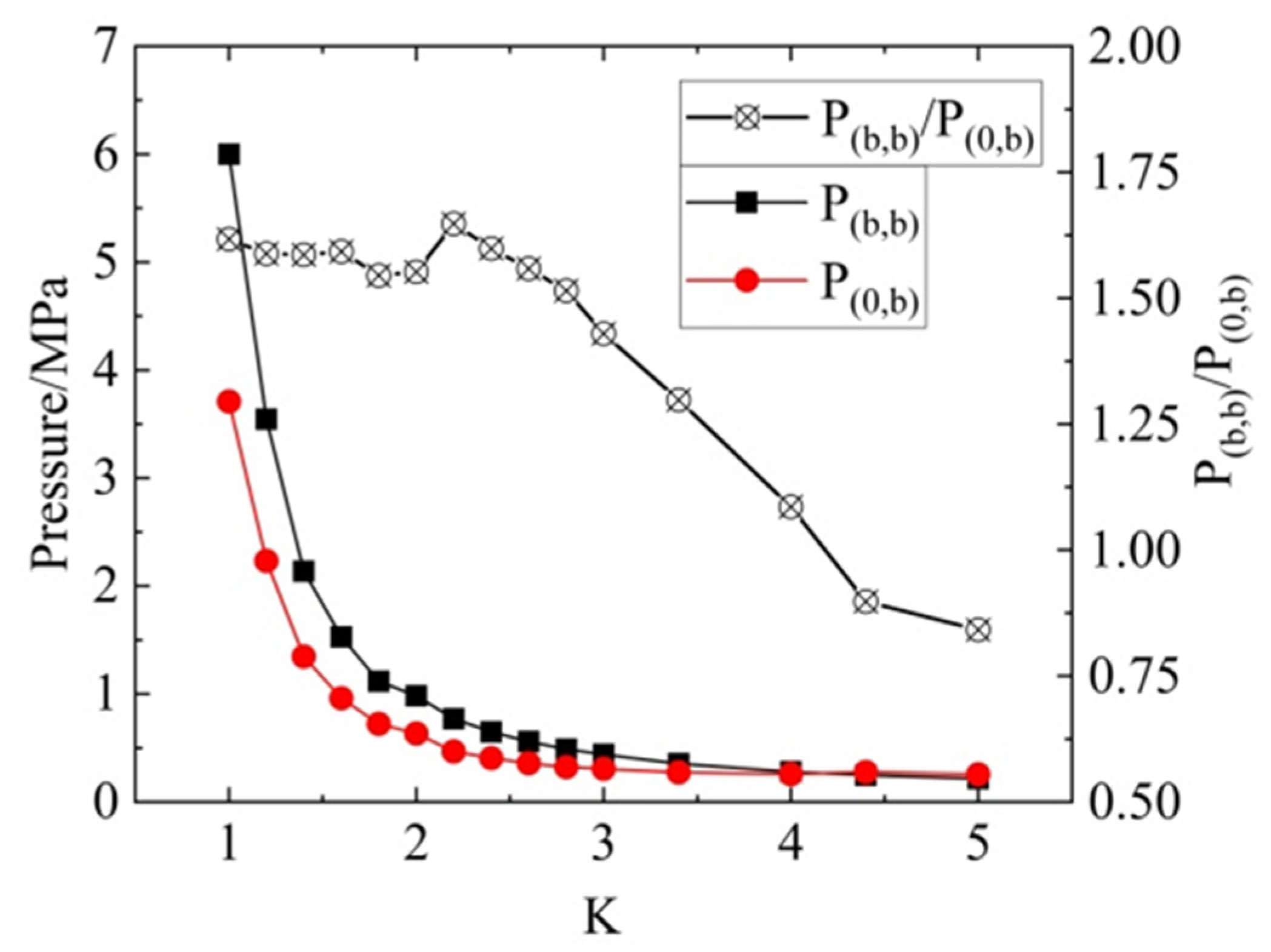
4. Determination of the Range of the High-Pressure Area at the Corner
5. Conclusions
- The aspect ratio, K, significantly influences implosion shock wave convergence at the corner and the associated high-pressure area formation mechanism. When 1 ≤ K ≤ 1.193, the convergence of the initial shock wave and Mach reflected waves from the surfaces of walls A and B occurs at the corner, creating a high-pressure region. However, when 1.193 < K < 2, the convergence at the corner comes from the initial shock wave, the Mach reflection wave on wall A, and the regular reflection wave on wall B. When 2 ≤ K, the high pressure at the corner mainly originates from the positive reflection of Mach waves from the surface of wall A to wall B;
- As K increases, the convergence effect of the shock waves at the corner is no longer noticeable, and the high-pressure region moves towards the center of the short side;
- The functional relationship between K and the range of the high-pressure region at the corner was obtained when K = 1 to 3 and its universality was verified.
Author Contributions
Funding
Acknowledgments
Conflicts of Interest
References
- Baker, W.E. Explosion Hazard sand Evaluation; Elsevier Pulishing Company: NewYork, NY, USA, 1983. [Google Scholar]
- Ma, K.; Ren, F.; Huang, H.; Yang, X.; Zhang, F. Experimental investigation on the dynamic mechanical properties and energy absorption mechanism of foam concrete. Constr. Build. Mater. 2022, 342, 127927. [Google Scholar] [CrossRef]
- Anzellini, S.; Burakovsky, L.; Turnbull, R.; Bandiello, E.; Errandonea, D. P–V–T Equation of State of Iridium Up to 80 GPa and 3100 K. Crystals 2021, 11, 452. [Google Scholar] [CrossRef]
- Baty, S.R.; Burakovsky, L.; Errandonea, D. Ab Initio Phase Diagram of Copper. Crystals 2021, 11, 537. [Google Scholar] [CrossRef]
- Qin, Y.; Yao, X.; Wang, Z.; Wang, Y. Experimental investigation on damage features of stiffened cabin structures subjected to internal blast loading. Ocean. Eng. 2022, 265, 112639. [Google Scholar] [CrossRef]
- Ren, X.; Huang, Z.; Jiang, Y.; Chen, Z.; Cao, X.; Zhao, T.; L, Y. The scaling laws of cabin structures subjected to internal blast loading: Experimental and numerical studies. Def. Technol. 2022, 18, 811–822. [Google Scholar] [CrossRef]
- Qin, Y.; Wang, Y.; Wang, Z.; Yao, X. Investigation on similarity laws of cabin structure for the material distortion correction under internal blast loading. Thin-Walled Struct. 2022, 177, 109371. [Google Scholar] [CrossRef]
- Gan, L.; Zong, Z.; Qian, H.; Lin, J. Experimental and numerical study of damage mechanism of steel box girders under external blast loads. J. Constr. Steel Res. 2022, 198, 107578. [Google Scholar] [CrossRef]
- Yuan, Y.; Zhang, C.; Xu, Y. Influence of standoff distance on the deformation of square steel plates subjected to internal blast loadings. Thin-Walled Struct. 2021, 164, 107914. [Google Scholar] [CrossRef]
- Yuan, Y.; Li, X.; Zhang, C.; Tan, P.J.; Chen, P. Impulse saturation in metal plates under confined blasts. Int. J. Impact Eng. 2022, 168, 104308. [Google Scholar] [CrossRef]
- Li, X.D.; Yin, J.P.; Zhao, P.D.; Zhang, L.; Xu, Y.X.; Wang, Q.; Zhang, P. The effect of stand-off distance on damage to clamped square steel plates under enclosed explosion. Structures 2020, 25, 965–978. [Google Scholar] [CrossRef]
- Hou, H.; Zhu, X.; Mei, Z. Study on the blast load and failure mode of ship structure subject to internal explosion. Explos. Shock. Waves 2007, 27, 151–158. [Google Scholar]
- Hou, H.; Zhu, X.; Li, W.; Mei, Z. Experimental studies on characteristics of blast loading when exploded inside ship cabin. J. Ship Mech. 2010, 14, 901–907. [Google Scholar]
- Yao, D.; Luo, G.; Xie, W.; Li, D. Study on the Law of Explosion Pressure Load in Bare Charge Chamber. J. Wuhan Univ. Technol. 2019, 43, 168–173. [Google Scholar]
- Wang, Q. Research on Damage Assessment Method of Coupling Effect of Shock Wave and Fragment under Internalbl; North University of China: Taiyuan, China, 2018. [Google Scholar]
- Kong, X.; Wu, W.; Li, J.; Li, X.; Xu, S. Experimental Research of Influence of Corner Structure on Blast Loading under Inner Explosion. Shipbuild. China 2012, 3, 40–50. [Google Scholar]
- Chan, P.C.; Klein, H.H. A study of blast effects inside an enclosure. J. Fluids Eng. 1994, 116, 450–455. [Google Scholar] [CrossRef]
- Hu, Y.; Wu, C.Q.; Lukaszewicz, M.; Dragos, J.; Ren, J.; Haskett, M. Characteristics of confined blast loading in unvented structures. Int. J. Prot. Struct. 2011, 2, 21–44. [Google Scholar] [CrossRef]
- Edri, I.; Savir, Z.; Feldgun, V.; Karinski, Y.; Yankelevsky, D. On blast pressure analysis due to a partially confined explosion: I. experimental studies. Int. J. Prot. Struct. 2011, 2, 1–20. [Google Scholar] [CrossRef]
- Xu, W.Z.; Wu, W.G. Two-dimensional numerical simulation of the factors influencing the explosion overpressure load inside the confined spacz. Chin. J. Ship Res. 2019, 14, 91–98. [Google Scholar]
- Sochet, I.; Sauvan, P.; Trelat, S. Analysis of reflected blast wave pressure profles in a confned room. Shock. Waves 2012, 22, 253–264. [Google Scholar]
- Zhao, X.; Wang, B.; Li, X.; Han, Z. Shockwave Propagation Characteristics of Thermobaric Explosive in an Explosion Chamber. Chin. J. Energetic Mater. 2016, 24, 231–237. [Google Scholar]
- Kinney, G.F.; Graham, K.J. Explosive Shocks in Air; Springer: Berlin/Heidelberg, Germany, 1985. [Google Scholar]
















| Density, ρ (kg/m3) | Detonation Velocity, D (m/s) | C-J Pressure (Pa) | C1 (Pa) |
|---|---|---|---|
| 1630 | 6800 | 2.10 × 1010 | 3.74 × 1011 |
| C2 | r1 | r2 | |
| 3.75 × 109 | 4.15 | 0.9 | 0.35 |
| Serial Number | K | a (mm) | b (mm) | W (g) |
|---|---|---|---|---|
| 1 | 1 | 500 | 500 | 100 |
| 2 | 1.2 | 600 | 500 | |
| 3 | 1.4 | 700 | 500 | |
| 4 | 1.6 | 800 | 500 | |
| 5 | 1.8 | 900 | 500 | |
| 6 | 2.0 | 1000 | 500 | |
| 7 | 2.2 | 1100 | 500 | |
| 8 | 2.4 | 1200 | 500 | |
| 9 | 2.6 | 1300 | 500 | |
| 10 | 2.8 | 1400 | 500 | |
| 11 | 3.0 | 1500 | 500 | |
| 12 | 3.4 | 1700 | 500 | |
| 13 | 4 | 2000 | 500 | |
| 14 | 4.4 | 2200 | 500 | |
| 15 | 5 | 2500 | 500 | |
| 16 | 1.1 | 550 | 500 | 200 |
| 17 | 1.3 | 650 | 500 | |
| 18 | 1.5 | 750 | 500 | |
| 19 | 1.7 | 850 | 500 | |
| 20 | 1.9 | 950 | 500 | |
| 21 | 2.1 | 1050 | 500 | |
| 22 | 2.3 | 1150 | 500 | |
| 23 | 2.5 | 1250 | 500 | |
| 24 | 2.7 | 1350 | 500 | |
| 25 | 2.9 | 1450 | 500 | |
| 26 | 1.1 | 1100 | 1000 | 1000 |
| 27 | 1.3 | 1300 | 1000 | |
| 28 | 1.5 | 1500 | 1000 | |
| 29 | 1.7 | 1700 | 1000 | |
| 30 | 1.9 | 1900 | 1000 | |
| 31 | 2.1 | 2100 | 1000 | |
| 32 | 2.3 | 2300 | 1000 | |
| 33 | 2.5 | 2500 | 1000 | |
| 34 | 2.7 | 2700 | 1000 | |
| 35 | 2.9 | 2900 | 1000 |
Publisher’s Note: MDPI stays neutral with regard to jurisdictional claims in published maps and institutional affiliations. |
© 2022 by the authors. Licensee MDPI, Basel, Switzerland. This article is an open access article distributed under the terms and conditions of the Creative Commons Attribution (CC BY) license (https://creativecommons.org/licenses/by/4.0/).
Share and Cite
Li, X.; Chen, H.; Yin, J.; Wang, Z. Corner Convergence Effect of Enclosed Blast Shock Wave and High-Pressure Range. Appl. Sci. 2022, 12, 11341. https://doi.org/10.3390/app122211341
Li X, Chen H, Yin J, Wang Z. Corner Convergence Effect of Enclosed Blast Shock Wave and High-Pressure Range. Applied Sciences. 2022; 12(22):11341. https://doi.org/10.3390/app122211341
Chicago/Turabian StyleLi, Xudong, Haojie Chen, Jianping Yin, and Zhijun Wang. 2022. "Corner Convergence Effect of Enclosed Blast Shock Wave and High-Pressure Range" Applied Sciences 12, no. 22: 11341. https://doi.org/10.3390/app122211341
APA StyleLi, X., Chen, H., Yin, J., & Wang, Z. (2022). Corner Convergence Effect of Enclosed Blast Shock Wave and High-Pressure Range. Applied Sciences, 12(22), 11341. https://doi.org/10.3390/app122211341
