Acceleration of an Electron Bunch with a Non–Gaussian Transverse Profile in Proton-Driven Plasma Wakefield
Abstract
1. Introduction
2. Simulation Configurations
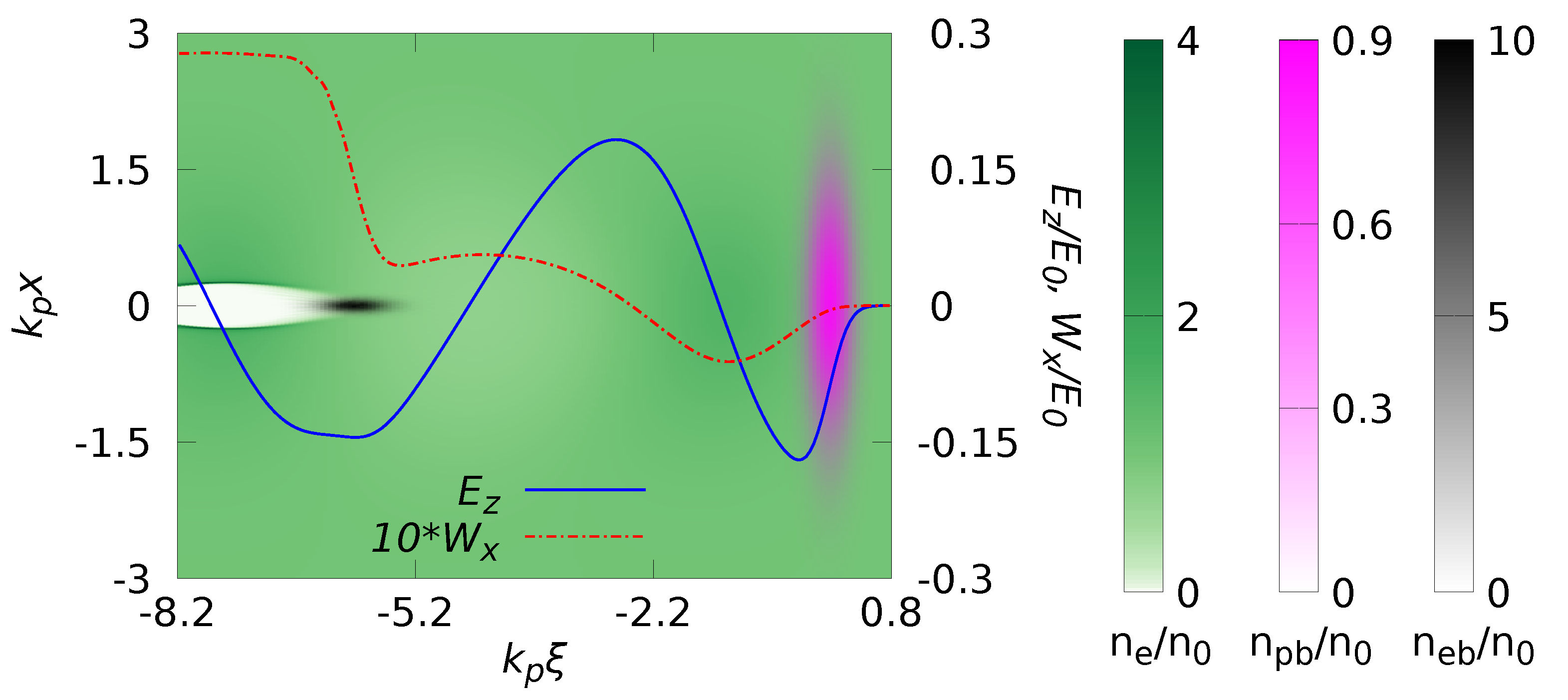
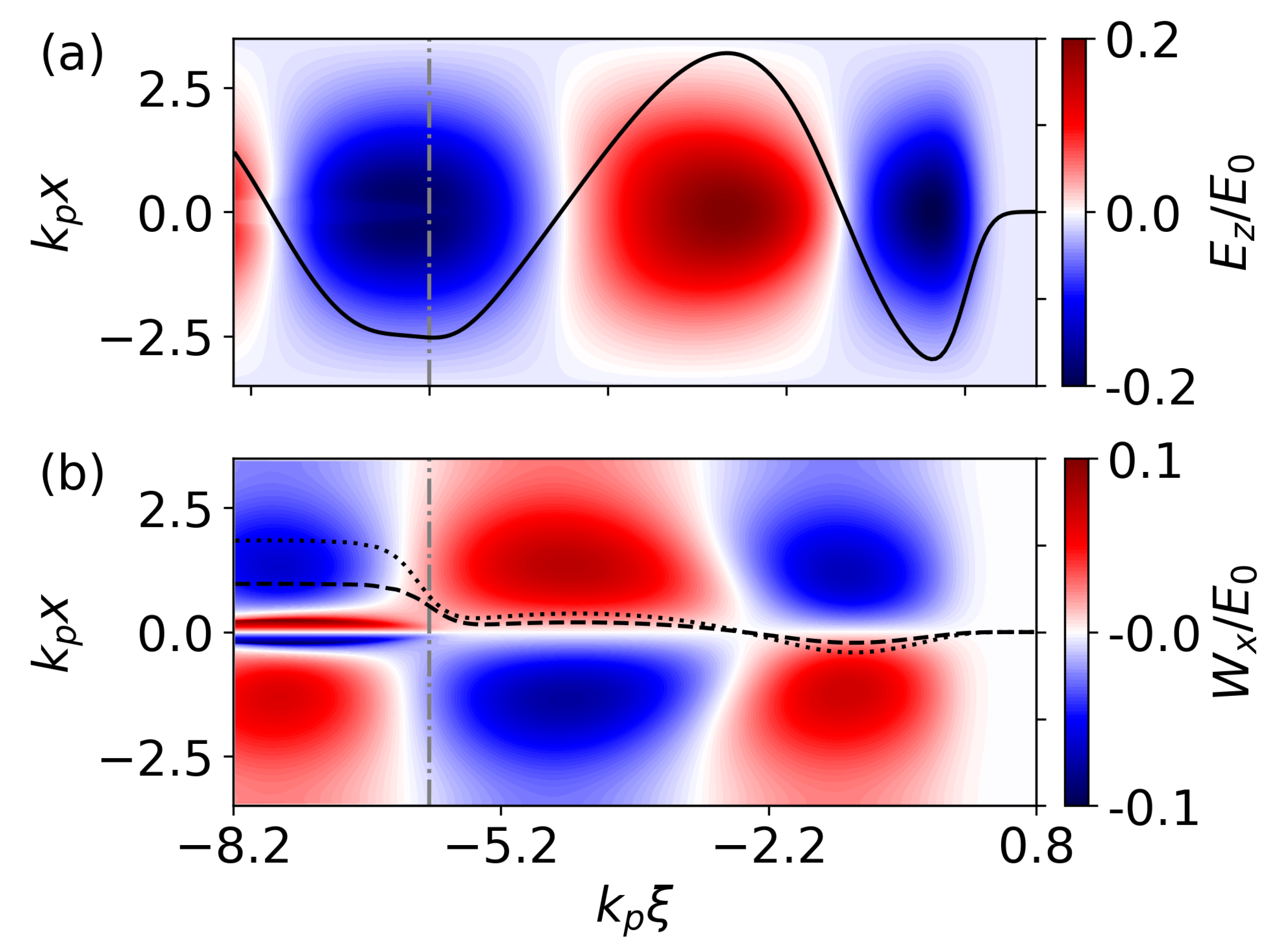
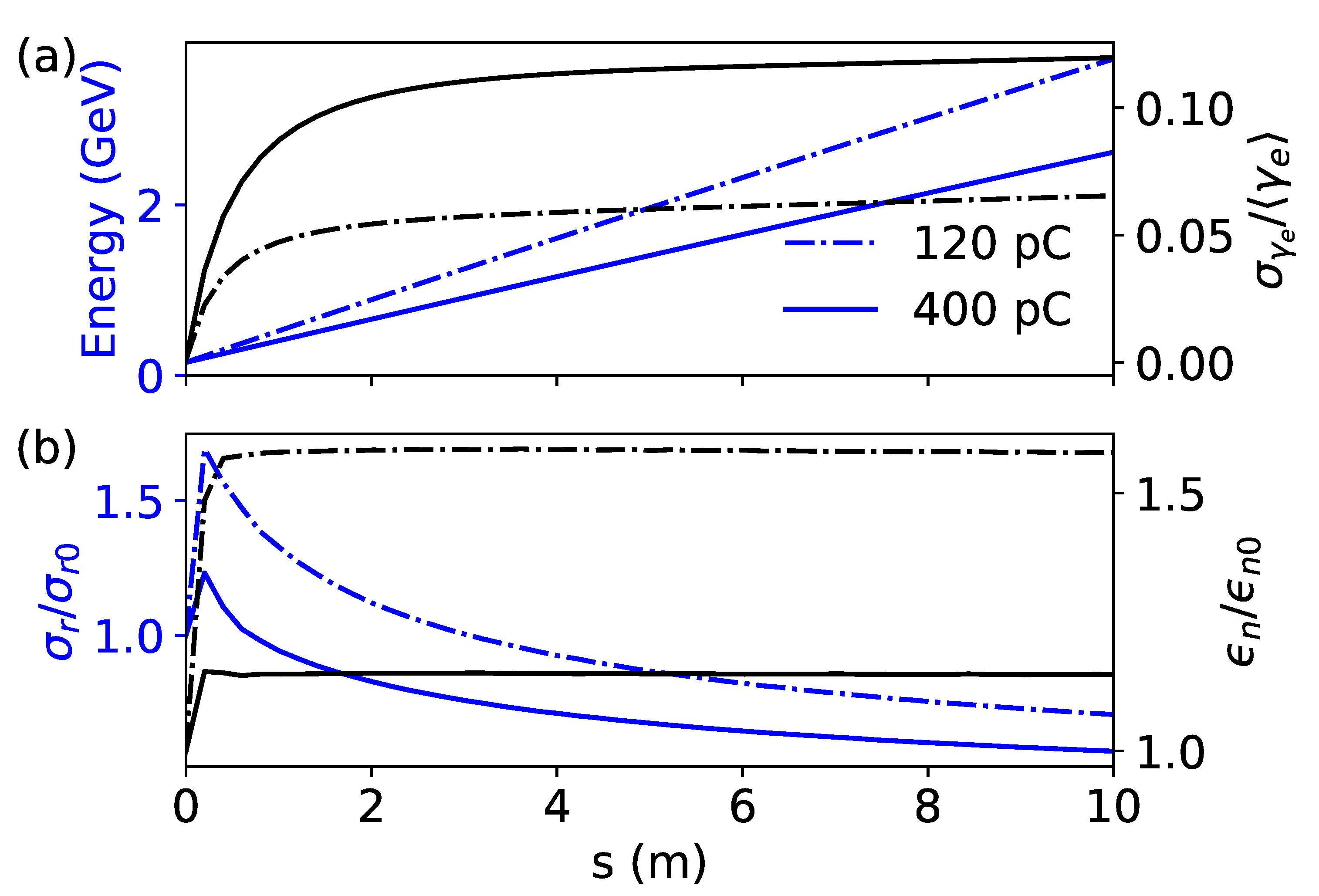
3. Beam Dynamics of a Gaussian Electron Bunch
4. Influences of Non–Gaussian Transverse Distributions
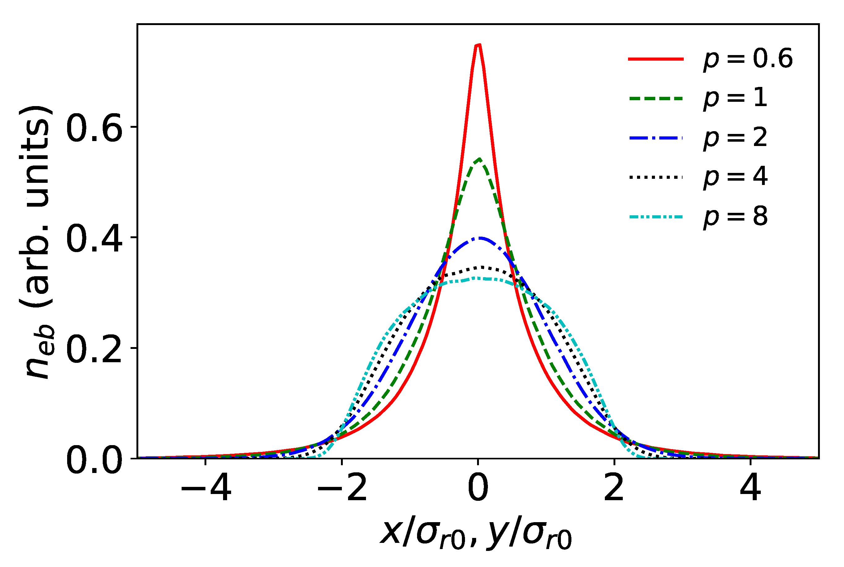
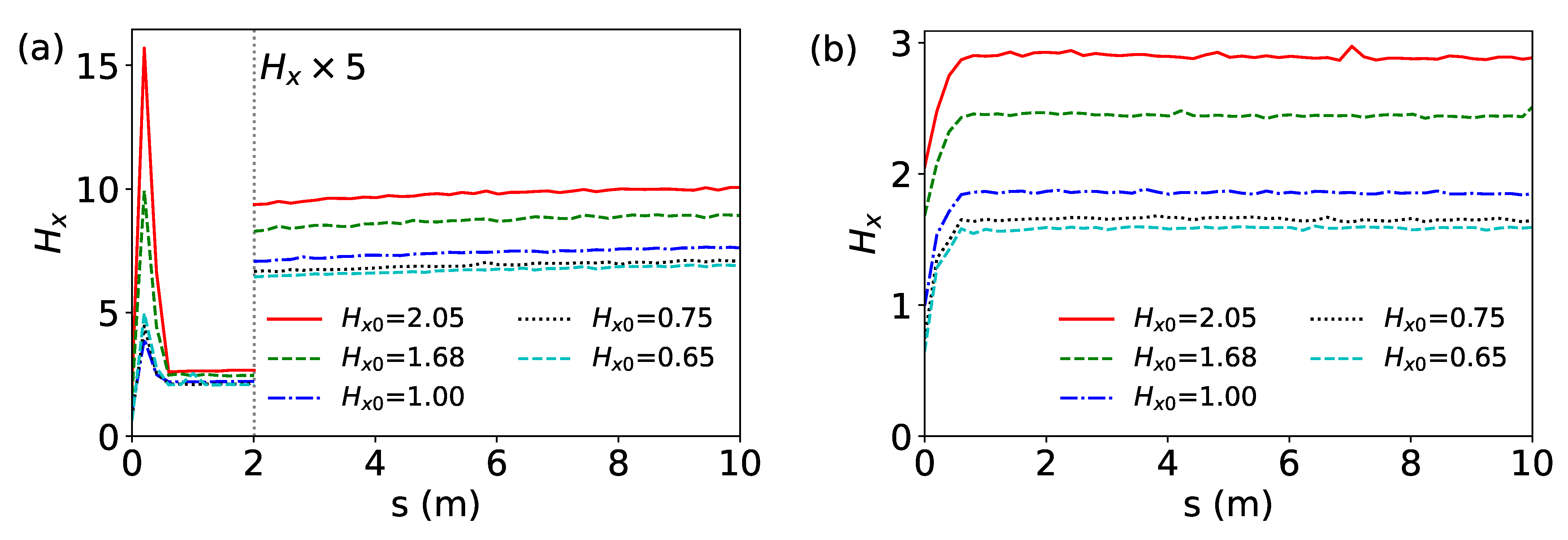
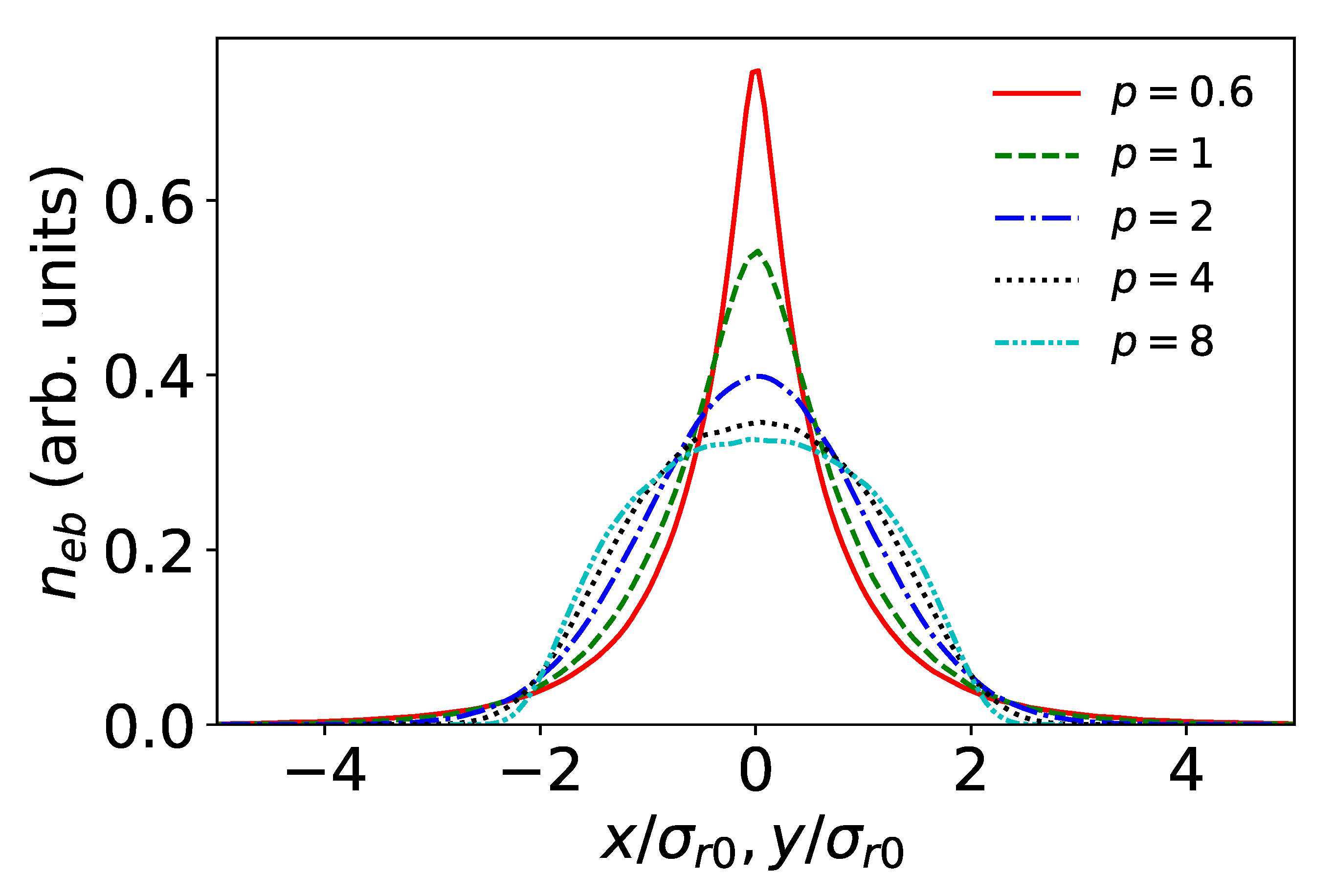
4.1. Axisymmetric Non–Gaussian Transverse Distribution
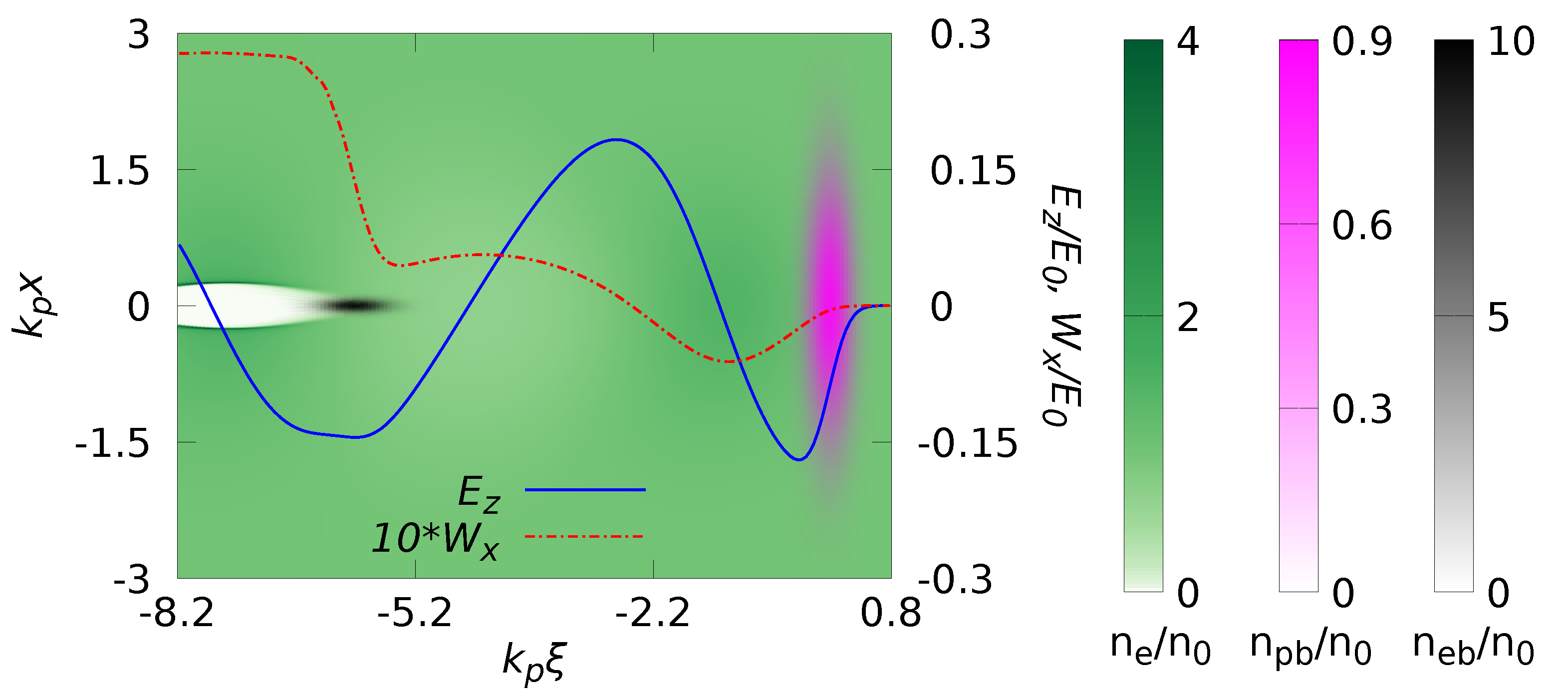
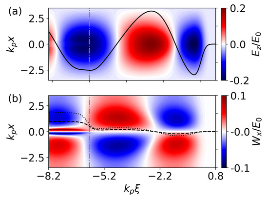
4.2. Non-Axisymmetric, Non-Gaussian Transverse Distribution
5. Conclusions
Author Contributions
Funding
Institutional Review Board Statement
Informed Consent Statement
Data Availability Statement
Acknowledgments
Conflicts of Interest
Appendix A. Halo Parameter
References
- Blumenfeld, I.; Clayton, C.E.; Decker, F.J.; Hogan, M.J.; Huang, C.; Ischebeck, R.; Iverson, R.; Joshi, C.; Katsouleas, T.; Kirby, N.; et al. Energy doubling of 42 GeV electrons in a metre-scale plasma wakefield accelerator. Nature 2007, 445, 741–744. [Google Scholar] [CrossRef] [PubMed]
- Litos, M.; Adli, E.; An, W.; Clarke, C.I.; Clayton, C.E.; Corde, S.; Delahaye, J.P.; England, R.J.; Fisher, A.S.; Frederico, J.; et al. High-efficiency acceleration of an electron beam in a plasma wakefield accelerator. Nature 2014, 515, 92–95. [Google Scholar] [CrossRef] [PubMed]
- Caldwell, A.; Lotov, K.; Pukhov, A.; Simon, F. Proton-driven plasma-wakefield acceleration. Nat. Phys. 2009, 5, 363–367. [Google Scholar] [CrossRef][Green Version]
- Adli, E.; Ahuja, A.; Apsimon, O.; Apsimon, R.; Bachmann, A.-M.; Barrientos, D.; Batsch, F.; Bauche, J.; Olsen, V.K.B.; Bernardini, M.; et al. Acceleration of electrons in the plasma wakefield of a proton bunch. Nature 2018, 561, 363–367. [Google Scholar] [CrossRef] [PubMed]
- Turner, M.; Adli, E.; Ahuja, A.; Apsimon, O.; Apsimon, R.; Bachmann, A.M.; Marin, M.B.; Barrientos, D.; Batsch, F.; Batkiewicz, J.; et al. Experimental Observation of Plasma Wakefield Growth Driven by the Seeded Self-Modulation of a Proton Bunch. Phys. Rev. Lett. 2019, 122, 054801. [Google Scholar] [CrossRef]
- Adli, E.; Ahuja, A.; Apsimon, O.; Apsimon, R.; Bachmann, A.M.; Barrientos, D.; Barros, M.M.; Batkiewicz, J.; Batsch, F.; Bauche, J.; et al. Experimental Observation of Proton Bunch Modulation in a Plasma at Varying Plasma Densities. Phys. Rev. Lett. 2019, 122, 054802. [Google Scholar] [CrossRef]
- Olsen, V.K.B.; Adli, E.; Muggli, P. Emittance preservation of an electron beam in a loaded quasilinear plasma wakefield. Phys. Rev. Accel. Beams 2018, 21, 011301. [Google Scholar] [CrossRef]
- Muggli, P. Physics to plan AWAKE Run 2. J. Phys. Conf. Ser. 2020, 1596, 012008. [Google Scholar] [CrossRef]
- Farmer, J.; Liang, L.; Ramjiawan, R.; Velotti, F.; Weidl, M.; Gschwendtner, E.; Muggli, P. Injection tolerances for AWAKE Run 2c. arXiv 2022, arXiv:2203.11622. [Google Scholar]
- Lu, W.; Huang, C.; Zhou, M.; Mori, W.B.; Katsouleas, T. Nonlinear Theory for Relativistic Plasma Wakefields in the Blowout Regime. Phys. Rev. Lett. 2006, 96, 165002. [Google Scholar] [CrossRef]
- Decker, F.J. Beam distributions beyond RMS. AIP Conf. Proc. 1995, 333, 550–556. [Google Scholar] [CrossRef]
- Papadopoulou, S.; Antoniou, F.; Argyropoulos, T.; Hostettler, M.; Papaphilippou, Y.; Trad, G. Impact of non-Gaussian beam profiles in the performance of hadron colliders. Phys. Rev. Accel. Beams 2020, 23, 101004. [Google Scholar] [CrossRef]
- Geng, H.; Meng, C.; Yan, F.; Zhang, Y.; Zhao, Y.L. Application of Generalized Gaussian Distribution in the Processing the Wire Scanner Data. In Proceedings of the 12th International Particle Accelerator Conference, Online, 24–28 May 2021; pp. 3759–3761. [Google Scholar] [CrossRef]
- Ramjiawan, R.; Bencini, V.; Doebert, S.; Farmer, J.; Gschwendtner, E.; Velotti, F.; Verra, L.; Della Porta, G.Z. Design of the AWAKE Run 2c transfer lines using numerical optimizers. arXiv 2022, arXiv:2203.01605. [Google Scholar]
- Liang, L.; Farmer, J.P.; Xia, G. Simulation Study of Electron Beam Acceleration With Non-Gaussian Transverse Profile for AWAKE Run 2. In Proceedings of the 12th International Particle Accelerator Conference, Online, 24–28 May 2021; pp. 3012–3015. [Google Scholar] [CrossRef]
- Ramjiawan, R.; Doebert, S.; Gschwendtner, E.; Velotti, F.; Verra, L.; Muggli, P.; Farmer, J. Design of the Proton and Electron Transfer Lines for AWAKE Run 2c. In Proceedings of the 12th International Particle Accelerator Conference, Online, 24–28 May 2021; pp. 778–781. [Google Scholar] [CrossRef]
- Verra, L.; Gschwendtner, E.; Muggli, P. Study of external electron beam injection into proton driven plasma wakefields for AWAKE Run 2. J. Phys. Conf. Ser. 2020, 1596, 012007. [Google Scholar] [CrossRef]
- Litos, M.D.; Ariniello, R.; Doss, C.E.; Hunt-Stone, K.; Cary, J.R. Beam emittance preservation using Gaussian density ramps in a beam-driven plasma wakefield accelerator. Philos. Trans. R. Soc. A 2019, 377, 20180181. [Google Scholar] [CrossRef] [PubMed]
- Rosenzweig, J.B.; Barov, N.; Thompson, M.C.; Yoder, R.B. Energy loss of a high charge bunched electron beam in plasma: Simulations, scaling, and accelerating wakefields. Phys. Rev. ST Accel. Beams 2004, 7, 061302. [Google Scholar] [CrossRef]
- Sosedkin, A.; Lotov, K. LCODE: A parallel quasistatic code for computationally heavy problems of plasma wakefield acceleration. Nucl. Instrum. Methods Phys. Res. A 2016, 829, 350–352. [Google Scholar] [CrossRef]
- Williamson, B.; Xia, G.; Gessner, S.; Petrenko, A.; Farmer, J.; Pukhov, A. Betatron radiation diagnostics for AWAKE Run 2. Nucl. Instrum. Methods Phys. Res. A 2020, 971, 164076. [Google Scholar] [CrossRef]
- Joanes, D.N.; Gill, C.A. Comparing measures of sample skewness and kurtosis. J. R. Stat. Soc. Ser. 1998, 47, 183–189. [Google Scholar] [CrossRef]
- Allen, C.K.; Wangler, T.P. Beam halo definitions based upon moments of the particle distribution. Phys. Rev. ST Accel. Beams 2002, 5, 124202. [Google Scholar] [CrossRef]
- Azzalini, A. A Class of Distributions Which Includes the Normal Ones. Scand. J. Stat. 1985, 12, 171–178. [Google Scholar]
- Pukhov, A. Particle-in-Cell Codes for plasma-based particle acceleration. In Proceedings of the 2014 CAS-CERN Accelerator School: Plasma Wake Acceleration, Geneva, Switzerland, 23–29 November 2014; Volume 1, pp. 181–206. [Google Scholar] [CrossRef]
- Pukhov, A. Three-dimensional electromagnetic relativistic particle-in-cell code VLPL (Virtual Laser Plasma Lab). J. Plasma Phys. 1999, 61, 425–433. [Google Scholar] [CrossRef]
- Mehrling, T.J.; Fonseca, R.A.; Martinez de la Ossa, A.; Vieira, J. Mitigation of the Hose Instability in Plasma-Wakefield Accelerators. Phys. Rev. Lett. 2017, 118, 174801. [Google Scholar] [CrossRef] [PubMed]
- Lehe, R.; Schroeder, C.B.; Vay, J.L.; Esarey, E.; Leemans, W.P. Saturation of the Hosing Instability in Quasilinear Plasma Accelerators. Phys. Rev. Lett. 2017, 119, 244801. [Google Scholar] [CrossRef] [PubMed]











Publisher’s Note: MDPI stays neutral with regard to jurisdictional claims in published maps and institutional affiliations. |
© 2022 by the authors. Licensee MDPI, Basel, Switzerland. This article is an open access article distributed under the terms and conditions of the Creative Commons Attribution (CC BY) license (https://creativecommons.org/licenses/by/4.0/).
Share and Cite
Liang, L.; Xia, G.; Pukhov, A.; Farmer, J.P. Acceleration of an Electron Bunch with a Non–Gaussian Transverse Profile in Proton-Driven Plasma Wakefield. Appl. Sci. 2022, 12, 10919. https://doi.org/10.3390/app122110919
Liang L, Xia G, Pukhov A, Farmer JP. Acceleration of an Electron Bunch with a Non–Gaussian Transverse Profile in Proton-Driven Plasma Wakefield. Applied Sciences. 2022; 12(21):10919. https://doi.org/10.3390/app122110919
Chicago/Turabian StyleLiang, Linbo, Guoxing Xia, Alexander Pukhov, and John Patrick Farmer. 2022. "Acceleration of an Electron Bunch with a Non–Gaussian Transverse Profile in Proton-Driven Plasma Wakefield" Applied Sciences 12, no. 21: 10919. https://doi.org/10.3390/app122110919
APA StyleLiang, L., Xia, G., Pukhov, A., & Farmer, J. P. (2022). Acceleration of an Electron Bunch with a Non–Gaussian Transverse Profile in Proton-Driven Plasma Wakefield. Applied Sciences, 12(21), 10919. https://doi.org/10.3390/app122110919

