Thermal Performance Estimation of Nanofluid-Filled Finned Absorber Tube Using Deep Convolutional Neural Network
Abstract
1. Introduction
2. Methods
2.1. Preparation of Dataset
2.1.1. Physical Model and Dataset Design
2.1.2. Governing Equations and Numerical Simulation
2.1.3. Input Presentation
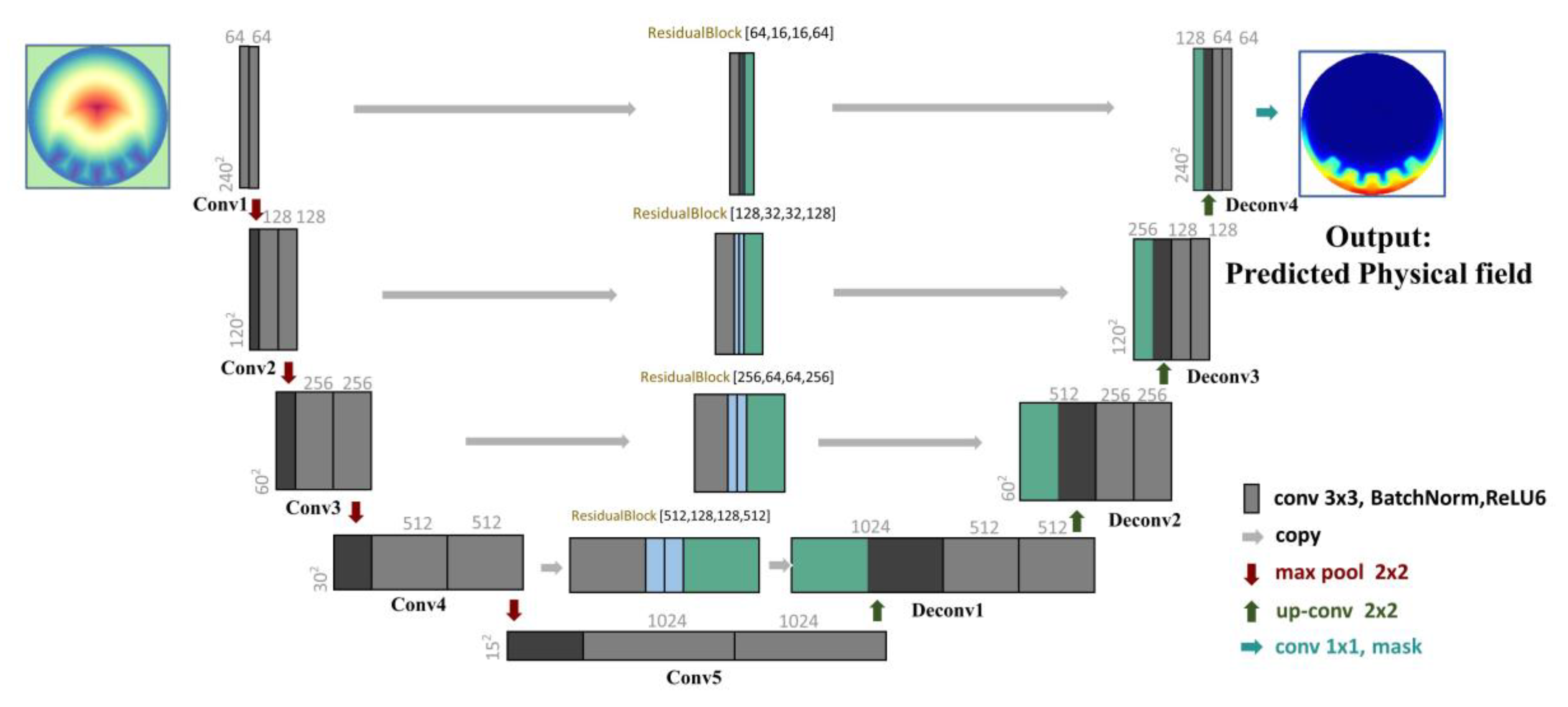
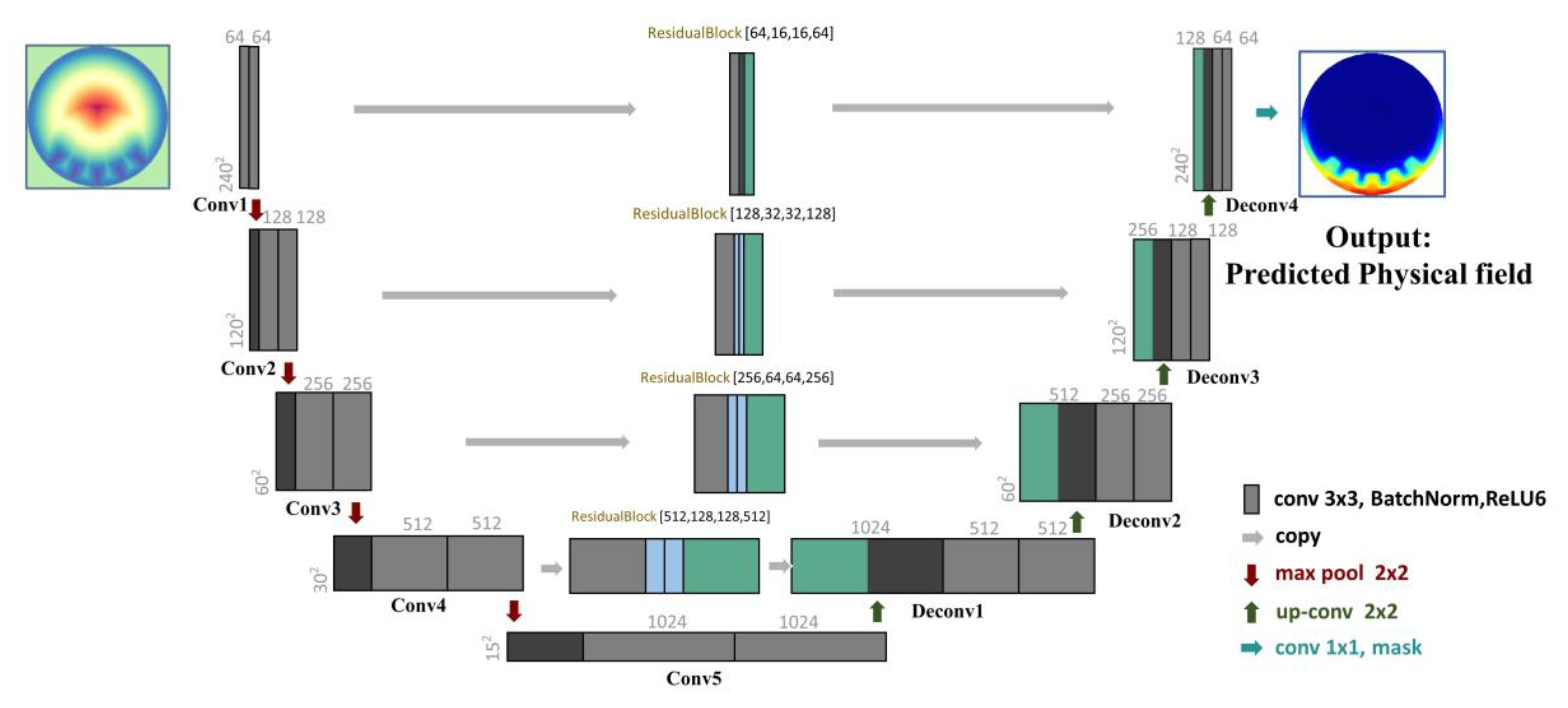
2.2. Architecture Design of ROM Networks for Field and Scalar Prediction
2.3. Operations in Convolutional and Fully Connected Layers
2.4. Model Training and Evaluation Methods
3. Results
3.1. The Performance of ROM for Nanofluid Temperature Field Prediction
3.2. The Performance of ROM for Heat Flux Prediction
3.3. Time Consumption Comparison with CFD Simulators
4. Discussion
5. Conclusions
- The temperature field of the outlet cross section of the absorber tube is reconstructed with high accuracy, more than 99.9%. Moreover, the computational speed is four orders faster than using the numerical simulation.
- For the estimation of heat flux at the outlet, various sizes of datasets are examined. The 2000-data-point dataset achieves the highest accuracy, more than 99.7%, and the determination coefficient R2 of 81 samples is higher than 0.9995. Furthermore, each prediction of outlet heat flux takes very little time, only about 0.004 s, which is five orders faster than the CFD solver in OpenFOAM, which is about 400 s for each simulation.
- The strategy of learning rate decreasing is applied to provide a relatively high computational speed at the beginning of the training to reduce the time cost, and at the same time, a relatively small learning rate value at the end of training facilitates the convergence of the solution. Moreover, through the hyperparameter analysis, the initial learning rate of 5 × 10−7 is confirmed as the optimum choice.
Author Contributions
Funding
Acknowledgments
Conflicts of Interest
Nomenclature
| output of the lth layer | R2 | coefficient of determination | |
| output of the jth neuron in lth layer | s | stride size | |
| A | the area of a cross section | S | the volumetric heat source |
| bl | bias vector of the lth layer | T | temperature |
| b | body force per unit volume | u | velocity tensor |
| c | specific heat capacity | u | velocity component in the stream direction |
| D | symmetric part of the velocity gradient | w | width of fin |
| h | height of fin | wl | weight of the lth layer |
| H | height of a matrix | W | width of a matrix |
| the size of convolution kernel | simulated result | ||
| L | length of absorbent tube | predicted result | |
| nval | number of data points in validation set | the average of the simulated result | |
| N | amount of test data | ||
| output feature size of the l-th layer | |||
| p | number of zero-padded layers | Greek symbols | |
| P | fluid pressure | α | angle of adjacent fins |
| q | heat flux of a cross section | one element of the weight in lth layer | |
| Qu | useful heat production | thermal conductivity | |
| ri | inner radius of annulus | μ | dynamic viscosity |
| re | external radius of annulus | ρ | density of nanofluid |
References
- Imene, Y. Advances in Renewablele Energies and Power Technologies—Volume 1: Solar and Wind Energies; Elsevier: Amsterdam, The Netherlands, 2018; ISBN 9780128129593. [Google Scholar]
- Letcher, T.M. Future Energy: Improved, Sustainable and Clean Options for Our Planet; Elsevier: Amsterdam, The Netherlands, 2020; ISBN 9780081028865. [Google Scholar]
- Junginger, M.; Louwen, A. Technological Learning in the Transition to a Low-Carbon Energy System: Conceptual Issues, Empirical Findings, and Use in Energy Modeling; Elsevier: Amsterdam, The Netherlands, 2019; ISBN 9780128187623. [Google Scholar]
- IEA Concentrated Solar Power (CSP). Paris. 2021. Available online: https://www.iea.org/reports/concentrated-solar-power-csp (accessed on 24 October 2022).
- Bishoyi, D.; Sudhakar, K. Modeling and Performance Simulation of 100MW PTC Based Solar Thermal Power Plant in Udaipur India. Case Stud. Therm. Eng. 2017, 10, 216–226. [Google Scholar] [CrossRef]
- Sun, J. Hybrid Solar Power System. In Advances in Clean Energy Technologies; Academic Press: Cambridge, MA, USA, 2021; pp. 405–448. [Google Scholar] [CrossRef]
- Goel, A.; Manik, G. Solar Thermal System—an Insight into Parabolic Trough Solar Collector and Its Modeling. In Renewable Energy Systems Modeling, Optimization and Control; Academic Press: Cambridge, MA, USA, 2021; pp. 309–337. [Google Scholar] [CrossRef]
- Price, H.; Mehos, M.; Kearney, D.; Cable, R.; Kelly, B.; Kolb, G.; Morse, F. Frederick Morsea Chapter 20—Concentrating Solar Power Best Practices. In Concentrating Solar Power Technology; Woodhead Publishing: Sawston, UK, 2021; pp. 725–757. ISBN 9780128199701. [Google Scholar]
- Chavez Panduro, E.A.; Finotti, F.; Largiller, G.; Lervåg, K.Y. A Review of the Use of Nanofluids as Heat-Transfer Fluids in Parabolic-Trough Collectors. Appl. Therm. Eng. 2022, 211, 118346. [Google Scholar] [CrossRef]
- Nawsud, Z.A.; Altouni, A.; Akhijahani, H.S.; Kargarsharifabad, H. A Comprehensive Review on the Use of Nano-Fluids and Nano-PCM in Parabolic Trough Solar Collectors (PTC). Sustain. Energy Technol. Assess. 2022, 51, 101889. [Google Scholar] [CrossRef]
- Sharma, M.; Jilte, R. A Review on Passive Methods for Thermal Performance Enhancement in Parabolic Trough Solar Collectors. Int. J. Energy Res. 2021, 45, 4932–4966. [Google Scholar] [CrossRef]
- Ajbar, W.; Parrales, A.; Huicochea, A. Different Ways to Improve Parabolic Trough Solar Collectors’ Performance over the Last Four Decades and Their Applications: A Comprehensive Review. Renew. Sustain. Energy Rev. 2022, 156, 111947. [Google Scholar] [CrossRef]
- Chekifi, T.; Boukraa, M. Thermal Efficiency Enhancement of Parabolic Trough Collectors: A Review. J. Therm. Anal. Calorim. 2022, 147, 10923–10942. [Google Scholar] [CrossRef]
- Bellos, E.; Tzivanidis, C.; Tsimpoukis, D. Enhancing the Performance of Parabolic Trough Collectors Using Nanofluids and Turbulators. Renew. Sustain. Energy Rev. 2018, 91, 358–375. [Google Scholar] [CrossRef]
- Mwesigye, A.; Huan, Z. Thermal and Thermodynamic Performance of a Parabolic Trough Receiver with Syltherm800-Al2O3 Nanofluid as the Heat Transfer Fluid. Energy Procedia 2015, 75, 394–402. [Google Scholar] [CrossRef]
- Sani, F.H.; Pourfallah, M.; Gholinia, M. The Effect of MoS2–Ag/H2O Hybrid Nanofluid on Improving the Performance of a Solar Collector by Placing Wavy Strips in the Absorber Tube. Case Stud. Therm. Eng. 2022, 30, 101760. [Google Scholar] [CrossRef]
- Xiong, Q.G.; Altnji, S.; Tayebi, T.; Izadi, M.; Hajjar, A.; Sunden, B.; Li, L.K.B. A Comprehensive Review on the Application of Hybrid Nanofluids in Solar Energy Collectors. Sustain. Energy Technol. Assess. 2021, 47, 101341. [Google Scholar] [CrossRef]
- Sidik, N.A.C.; Adamu, I.M.; Jamil, M.M.; Kefayati, G.H.R.; Mamat, R.; Najafi, G. Recent Progress on Hybrid Nanofluids in Heat Transfer Applications: A Comprehensive Review. Int. Commun. Heat Mass Transf. 2016, 78, 68–79. [Google Scholar] [CrossRef]
- Tiwar, A.K.; Kumar, V.; Said, Z.; Paliwal, H.K. A Review on the Application of Hybrid Nanofluids for Parabolic Trough Collector: Recent Progress and Outlook. J. Clean. Prod. 2021, 292, 126031. [Google Scholar] [CrossRef]
- Bellos, E.; Tzivanidis, C.; Tsimpoukis, D. Multi-Criteria Evaluation of Parabolic Trough Collector with Internally Finned Absorbers. Appl. Energy 2017, 205, 540–561. [Google Scholar] [CrossRef]
- Bellos, E.; Tzivanidis, C.; Tsimpoukis, D. Thermal Enhancement of Parabolic Trough Collector with Internally Finned Absorbers. Sol. Energy 2017, 157, 514–531. [Google Scholar] [CrossRef]
- Laaraba, A.; Mebarki, G. Enhancing Thermal Performance of a Parabolic Trough Collector with Inserting Longitudinal Fins in the Down Half of the Receiver Tube. J. Therm. Sci. 2020, 29, 1309–1321. [Google Scholar] [CrossRef]
- Amina, B.; Miloud, A.; Samir, L.; Abdelylah, B.; Solano, J.P. Heat Transfer Enhancement in a Parabolic Trough Solar Receiver Using Longitudinal Fins and Nanofluids. J. Therm. Sci. 2016, 25, 410–417. [Google Scholar] [CrossRef]
- Peng, H.; Li, M.; Hu, F.; Feng, S. Performance Analysis of Absorber Tube in Parabolic Trough Solar Collector Inserted with Semi-Annular and Fin Shape Metal Foam Hybrid Structure. Case Stud. Therm. Eng. 2021, 26, 101112. [Google Scholar] [CrossRef]
- Gong, X.; Wang, F.; Wang, H.; Tan, J.; Lai, Q.; Han, H. Heat Transfer Enhancement Analysis of Tube Receiver for Parabolic Trough Solar Collector with Pin Fin Arrays Inserting. Sol. Energy 2017, 144, 185–202. [Google Scholar] [CrossRef]
- Samiezadeh, S.; Khodaverdian, R.; Hossein, M. CFD Simulation of Thermal Performance of Hybrid Oil-Cu-Al2O3 Nanofluid Flowing through the Porous Receiver Tube inside a Finned Parabolic Trough Solar Collector. Sustain. Energy Technol. Assess. 2022, 50, 101888. [Google Scholar] [CrossRef]
- Sadeghi, A.; Amini, Y.; Saidi, M.H.; Chakraborty, S. Numerical Modeling of Surface Reaction Kinetics in Electrokinetically Actuated Microfluidic Devices. Anal. Chim. Acta 2014, 838, 64–75. [Google Scholar] [CrossRef]
- Yu, Z.T.; Xu, X.; Hu, Y.C.; Fan, L.W.; Cen, K.F. A Numerical Investigation of Transient Natural Convection Heat Transfer of Aqueous Nanofluids in a Horizontal Concentric Annulus. Int. J. Heat Mass Transf. 2012, 55, 1141–1148. [Google Scholar] [CrossRef]
- Ghaffarkhah, A.; Bazzi, A.; Azimi Dijvejin, Z.; Talebkeikhah, M.; Keshavarz Moraveji, M.; Agin, F. Experimental and Numerical Analysis of Rheological Characterization of Hybrid Nano-Lubricants Containing COOH-Functionalized MWCNTs and Oxide Nanoparticles. Int. Commun. Heat Mass Transf. 2019, 101, 103–115. [Google Scholar] [CrossRef]
- Shi, L.; Zhang, S.; Arshad, A.; Hu, Y.; He, Y.; Yan, Y. Thermo-Physical Properties Prediction of Carbon-Based Magnetic Nanofluids Based on an Artificial Neural Network. Renew. Sustain. Energy Rev. 2021, 149, 111341. [Google Scholar] [CrossRef]
- Hemmat Esfe, M.; Tatar, A.; Ahangar, M.R.H.; Rostamian, H. A Comparison of Performance of Several Artificial Intelligence Methods for Predicting the Dynamic Viscosity of TiO2/SAE 50 Nano-Lubricant. Phys. E Low-Dimens. Syst. Nanostruct. 2018, 96, 85–93. [Google Scholar] [CrossRef]
- Shahsavar, A.; Bagherzadeh, S.A.; Mahmoudi, B.; Hajizadeh, A.; Afrand, M.; Nguyen, T.K. Robust Weighted Least Squares Support Vector Regression Algorithm to Estimate the Nanofluid Thermal Properties of Water/Graphene Oxide-Silicon Carbide Mixture. Phys. A Stat. Mech. Its Appl. 2019, 525, 1418–1428. [Google Scholar] [CrossRef]
- Ahmadi, M.H.; Alhuyi Nazari, M.; Ghasempour, R.; Madah, H.; Shafii, M.B.; Ahmadi, M.A. Thermal Conductivity Ratio Prediction of Al2O3/Water Nanofluid by Applying Connectionist Methods. Colloids Surf. A Physicochem. Eng. Asp. 2018, 541, 154–164. [Google Scholar] [CrossRef]
- Bahiraei, M.; Khosravi, R.; Heshmatian, S. Assessment and Optimization of Hydrothermal Characteristics for a Non-Newtonian Nanofluid Flow within Miniaturized Concentric-Tube Heat Exchanger Considering Designer’s Viewpoint. Appl. Therm. Eng. 2017, 123, 266–276. [Google Scholar] [CrossRef]
- Hojjat, M. Nanofluids as Coolant in a Shell and Tube Heat Exchanger: ANN Modeling and Multi-Objective Optimization. Appl. Math. Comput. 2020, 365, 124710. [Google Scholar] [CrossRef]
- Kalani, H.; Sardarabadi, M.; Passandideh-Fard, M. Using Artificial Neural Network Models and Particle Swarm Optimization for Manner Prediction of a Photovoltaic Thermal Nanofluid Based Collector. Appl. Therm. Eng. 2017, 113, 1170–1177. [Google Scholar] [CrossRef]
- Delfani, S.; Esmaeili, M.; Karami, M. Application of Artificial Neural Network for Performance Prediction of a Nanofluid-Based Direct Absorption Solar Collector. Sustain. Energy Technol. Assess. 2019, 36, 100559. [Google Scholar] [CrossRef]
- Sheikholeslami, M.; Rashidi, M.M.; Al Saad, D.M.; Firouzi, F.; Rokni, H.B.; Domairry, G. Steady Nanofluid Flow between Parallel Plates Considering Thermophoresis and Brownian Effects. J. King Saud Univ. Sci. 2016, 28, 380–389. [Google Scholar] [CrossRef]
- Chu, Y.M.; Ramzan, M.; Shaheen, N.; Dong Chung, J.; Kadry, S.; Howari, F.; Malik, M.Y.; Ghazwani, H.A.S. Analysis of Newtonian Heating and Higher-Order Chemical Reaction on a Maxwell Nanofluid in a Rotating Frame with Gyrotactic Microorganisms and Variable Heat Source/Sink. J. King Saud Univ. Sci. 2021, 33, 101645. [Google Scholar] [CrossRef]
- Sheikholeslami, M.; Ebrahimpour, Z. Thermal Improvement of Linear Fresnel Solar System Utilizing Al2O3-Water Nanofluid and Multi-Way Twisted Tape. Int. J. Therm. Sci. 2022, 176, 107505. [Google Scholar] [CrossRef]
- Peng, J.-Z.; Liu, X.; Aubry, N.; Chen, Z.; Wu, W.-T.T.; Xia, Z.-D.D.; Aubry, N.; Chen, Z.; Wu, W.-T.T.; Xia, Z.-D.D.; et al. Data-Driven Modeling of Geometry-Adaptive Steady Heat Conduction Based on Convolutional Neural Networks. Case Stud. Therm. Eng. 2021, 28, 101651. [Google Scholar] [CrossRef]
- Peng, J.-Z.; Liu, X.; Xia, Z.-D.; Aubry, N.; Chen, Z.; Wu, W.-T. Data-Driven Modeling of Geometry-Adaptive Steady Heat Convection Based on Convolutional Neural Networks. Fluids 2021, 6, 436. [Google Scholar] [CrossRef]
- Peng, J.-Z.; Chen, S.; Aubry, N.; Chen, Z.-H.H.; Wu, W.-T.T. Time-Variant Prediction of Flow over an Airfoil Using Deep Neural Network. Phys. Fluids 2020, 32, 123602. [Google Scholar] [CrossRef]
- Peng, J.-Z.; Chen, S.; Aubry, N.; Chen, Z.; Wu, W.T. Unsteady Reduced-Order Model of Flow over Cylinders Based on Convolutional and Deconvolutional Neural Network Structure. Phys. Fluids 2020, 32, 123609. [Google Scholar] [CrossRef]
- Peng, J.-Z.; Aubry, N.; Zhu, S.; Chen, Z.; Wu, W.-T. Geometry and Boundary Condition Adaptive Data-Driven Model of Fluid Flow Based on Deep Convolutional Neural Networks. Phys. Fluids 2021, 123602, 123602. [Google Scholar] [CrossRef]
- Liu, T.; Li, Y.; Xie, Y.; Zhang, D. Deep Learning for Nanofluid Field Reconstruction in Experimental Analysis. IEEE Access 2020, 8, 64692–64706. [Google Scholar] [CrossRef]
- Liu, T.; Li, Y.; Jing, Q.; Xie, Y.; Zhang, D. Supervised Learning Method for the Physical Field Reconstruction in a Nanofluid Heat Transfer Problem. Int. J. Heat Mass Transf. 2021, 165, 120684. [Google Scholar] [CrossRef]
- Abed, N.K. Improving the Thermal Performance of Parabolic Trough Collectors Using Modelling and Simulations. Ph.D. Thesis, University of Manchester, Manchester, UK, 2021. [Google Scholar]
- Abed, N.; Afgan, I.; Nasser, A.; Iacovides, H.; Cioncolini, A.; Mekhail, T. Numerical Investigations of Parabolic Trough Collectors Using Different Nanofluids. Int. J. Appl. Energy Syst. 2020, 2, 88–94. [Google Scholar] [CrossRef]
- Jones, W.P.; Launder, B.E. The Prediction of Laminarization with a Two-Equation Model of Turbulence. Int. J. Heat Mass Transf. 1972, 15, 301–314. [Google Scholar] [CrossRef]
- Dudley, V.E.; Kolb, G.J.; Mahoney, A.R.; Mancini, T.R.; Matthews, C.W.; Sloan, M.; Kearney, D.W. Test Results: SEGS LS-2 Solar Collector; Sandia National Lab. (SNL-NM): Albuquerque, NM, USA, 1994. [Google Scholar] [CrossRef]
- Ronneberger, O.; Fischer, P.; Brox, T. U-Net: Convolutional Networks for Biomedical Image Segmentation. In Lecture Notes in Computer Science, Proceedings of the MICCAI 2015: Medical Image Computing and Computer-Assisted Intervention—MICCAI 2015, Munich, Germany, 5–9 October 2015; Springer: Berlin/Heidelberg, Germany, 2015; Volume 9351, pp. 234–241. [Google Scholar] [CrossRef]
- He, K.; Zhang, X.; Ren, S.; Sun, J. Deep Residual Learning for Image Recognition. In Proceedings of the 2016 IEEE Conference on Computer Vision and Pattern Recognition (CVPR), Las Vegas, NV, USA, 27–30 June 2016; pp. 770–778. [Google Scholar] [CrossRef]
- Dosovitskiy, A.; Springenberg, J.T.; Tatarchenko, M.; Brox, T. Learning to Generate Chairs, Tables and Cars with Convolutional Networks. IEEE Trans. Pattern Anal. Mach. Intell. 2016, 39, 692–705. [Google Scholar] [CrossRef]
- Amini, Y.; Gerdroodbary, M.B.; Pishvaie, M.R.; Moradi, R.; Monfared, S.M. Optimal Control of Batch Cooling Crystallizers by Using Genetic Algorithm. Case Stud. Therm. Eng. 2016, 8, 300–310. [Google Scholar] [CrossRef]
- Ghosh, S. Parametric Shape Optimization of Pin-Fin Arrays Using a Surrogate Model-Based Bayesian Method. J. Thermophys. Heat Transf. 2021, 35, 245–254. [Google Scholar] [CrossRef]













| ρ (kg/m3) | μ (Pa·s) | λ (W/(m·K)) | c (J/(kg·K)) |
|---|---|---|---|
| 1212.8 | 8.635 × 10−5 | 0.724 | 3419.6 |
| Mesh | Average Temperature of Outlet Cross Section | Average Pressure of Inlet Cross Section | Computational Time |
|---|---|---|---|
| 290,000 | 324.59 K | 100,005.35 Pa | 480 s |
| 540,000 | 324.77 K | 100,005.39 Pa | 16,252 s |
| 780,000 | 324.80 K | 100,005.39 Pa | 29,434 s |
| Dudley et al. (1994) [51] | Abed et al. (2001) [48] | OpenFOAM | |||
|---|---|---|---|---|---|
| Flow Rate (L/min) | Average Outlet Temperature (K) | Average Outlet Temperature (K) | Deviation (%) | Average Outlet Temperature (K) | Deviation (%) |
| 39.8 | 120.8 | 127.859 | −5.844 | 126.198 | 4.469 |
| 48.4 | 166.2 | 168.337 | −1.286 | 168.075 | −1.128 |
| 51.1 | 314.2 | 313.809 | 0.124 | 313.48 | −0.229 |
| (Width, Height) (mm) | qout (CFD) (J/s) | qout (ROM) (J/s) | Relative Error |
|---|---|---|---|
| 5, 5 | 351,411.6 | 350,942.1 | 0.13% |
| 5, 10 | 338,082.8 | 337,573.8 | 0.15% |
| 5, 15 | 324,877.0 | 324,254.9 | 0.19% |
| 5, 20 | 311,527.1 | 311,089.1 | 0.14% |
| CFD | ROM | ||
|---|---|---|---|
| Temperature field prediction | Model training | - | 1.14 h |
| Input preparation | 1.68 s (mesh) | 0.062 s (SDF) | |
| Prediction | 451s | 0.011 s | |
| Outlet heat flux prediction | Model training | - | 0.8 h |
| Input preparation | 1.68 s (mesh) | 0.062 s (SDF) | |
| Prediction | 393 s | 0.004 s |
Publisher’s Note: MDPI stays neutral with regard to jurisdictional claims in published maps and institutional affiliations. |
© 2022 by the authors. Licensee MDPI, Basel, Switzerland. This article is an open access article distributed under the terms and conditions of the Creative Commons Attribution (CC BY) license (https://creativecommons.org/licenses/by/4.0/).
Share and Cite
Hua, Y.; Yu, C.-H.; Peng, J.-Z.; Wu, W.-T.; He, Y.; Zhou, Z.-F. Thermal Performance Estimation of Nanofluid-Filled Finned Absorber Tube Using Deep Convolutional Neural Network. Appl. Sci. 2022, 12, 10883. https://doi.org/10.3390/app122110883
Hua Y, Yu C-H, Peng J-Z, Wu W-T, He Y, Zhou Z-F. Thermal Performance Estimation of Nanofluid-Filled Finned Absorber Tube Using Deep Convolutional Neural Network. Applied Sciences. 2022; 12(21):10883. https://doi.org/10.3390/app122110883
Chicago/Turabian StyleHua, Yue, Chang-Hao Yu, Jiang-Zhou Peng, Wei-Tao Wu, Yong He, and Zhi-Fu Zhou. 2022. "Thermal Performance Estimation of Nanofluid-Filled Finned Absorber Tube Using Deep Convolutional Neural Network" Applied Sciences 12, no. 21: 10883. https://doi.org/10.3390/app122110883
APA StyleHua, Y., Yu, C.-H., Peng, J.-Z., Wu, W.-T., He, Y., & Zhou, Z.-F. (2022). Thermal Performance Estimation of Nanofluid-Filled Finned Absorber Tube Using Deep Convolutional Neural Network. Applied Sciences, 12(21), 10883. https://doi.org/10.3390/app122110883

