Effects of Dexmedetomidine on the Localization of α2A-Adrenergic and Imidazoline Receptors in Mouse Testis
Abstract
1. Introduction
2. Materials and Methods
2.1. Animals
2.2. Experimental Design
2.3. Histochemistry
2.4. Immunofluorescence
2.4.1. 3β HSD (3 Beta-hydroxysteroid dehydrogenase), α2A-Adrenergic Receptor, and Imidazoline Receptor
2.4.2. PNA (Peanut Agglutinin) and Imidazoline Receptor
2.5. Liquid Chromatography–Mass Spectrometry (LC/MS)
2.6. Western Blotting of α2A-Adrenergic Receptors and Imidazoline Receptors
2.7. Real-Time PCR
2.8. Statistical Analysis
3. Results
3.1. Localization and Expression of α2A-Adrenergic Receptors and Imidazoline Receptors in Normal Mice
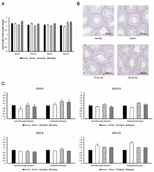
3.2. Effects of DEX Administration on Testicular Morphology and Receptors
3.3. Blood Concentration of DEX in DEX-Administered Mice
3.4. Effects of DEX Administration on the Pituitary Gland of Mice
3.5. Effects of DEX Administration to Androgens
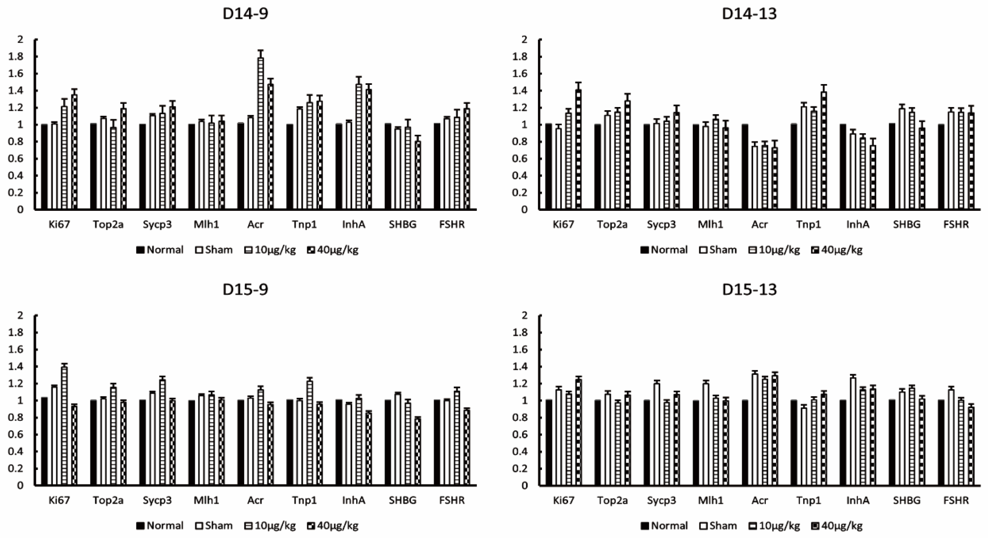
3.6. Effects of DEX Administration on Germ Cells and Sertoli Cells
3.7. Effects of DEX Administration on Oxidant Stress Factors in the Mouse Testes
4. Discussion
5. Conclusions
Supplementary Materials
Author Contributions
Funding
Institutional Review Board Statement
Informed Consent Statement
Data Availability Statement
Acknowledgments
Conflicts of Interest
References
- Afonso, J.; Reis, F. Dexmedetomidine: Current Role in Anesthesia and Intensive Care. Rev. Bras. Anestesiol. 2012, 62, 118–133. [Google Scholar] [CrossRef]
- Bao, N.; Tang, B. Organ-Protective Effects and the Underlying Mechanism of Dexmedetomidine. Mediat. Inflamm. 2020, 2020, 6136105. [Google Scholar] [CrossRef] [PubMed]
- Sun, Y.; Jiang, C.; Jiang, J.; Qiu, L. Dexmedetomidine protects mice against myocardium ischaemic/reperfusion injury by activating an AMPK/PI3K/Akt/eNOS pathway. Clin. Exp. Pharmacol. Physiol. 2017, 44, 946–953. [Google Scholar] [CrossRef] [PubMed]
- Lim, H.; Kim, T.Y.; Kim, S.Y.; Ro, S.J.; Koh, S.R.; Ryu, S.; Ko, J.S.; Jeong, M.A. The Protective Effects of Dexmedetomidine Preconditioning on Hepatic Ischemia/Reperfusion Injury in Rats. Transplant. Proc. 2021, 53, 427–435. [Google Scholar] [CrossRef] [PubMed]
- Sun, Z.; Zhao, T.; Lv, S.; Gao, Y.; Masters, J.; Weng, H. Dexmedetomidine attenuates spinal cord ischemia–reperfusion injury through both anti-inflammation and anti-apoptosis mechanisms in rabbits. J. Transl. Med. 2018, 16, 209. [Google Scholar] [CrossRef] [PubMed]
- Tuglu, D.; Yuvanc, E.; Ozan, T.; Bal, F.; Yilmaz, E.; Atasoy, P.; Kisa, U.; Batislam, E. Protective effects of udenafil citrate, piracetam and dexmedetomidine treatment on testicular torsion/detorsion-induced ischaemia/reperfusion injury in rats. Andrologia 2016, 48, 676–682. [Google Scholar] [CrossRef] [PubMed]
- Tuglu, D.; Yuvanc, E.; Yılmaz, E.; Gencay, I.Y.; Atasoy, P.; Kisa, U.; Batislam, E. The antioxidant effect of dexmedetomidine on testicular ischemia-reperfusion injury. Acta Cir. Bras. 2015, 30, 414–421. [Google Scholar] [CrossRef]
- Xiao, J.; Wan, W.; Zhang, Y.; Ma, J.; Yan, L.; Luo, Y.; Tang, J. Administration of Dexmedetomidine Does Not Produce Long-Term Protective Effect on Testicular Damage Post Testicular Ischemia-Reperfusion Injury. Drug Des. Dev. Ther. 2021, 15, 315–321. [Google Scholar] [CrossRef]
- Wang, Y.; Chen, Y.; Ni, C.; Fang, Y.; Wu, K.; Zheng, W.; Li, X.; Lin, H.; Fan, L.; Ge, R.-S. Effects of dexmedetomidine on the steroidogenesis of rat immature Leydig cells. Steroids 2019, 149, 108423. [Google Scholar] [CrossRef]
- Terayama, H.; Hirai, S.; Naito, M.; Qu, N.; Katagiri, C.; Nagahori, K.; Hayashi, S.; Sasaki, H.; Moriya, S.; Hiramoto, M.; et al. Specific autoantigens identified by sera obtained from mice that are immunized with testicular germ cells alone. Sci. Rep. 2016, 6, 35599. [Google Scholar] [CrossRef]
- Terayama, H.; Itoh, M.; Naito, M.; Hirai, S.; Qu, N.; Kuerban, M.; Musha, M. Experimental model of autoimmune orchitis with abdominal placement of donor’s testes, epididymides, and vasa deferentia in recipient mice. J. Reprod. Immunol. 2011, 90, 195–201. [Google Scholar] [CrossRef]
- Naito, M.; Terayama, H.; Hirai, S.; Qu, N.; Lustig, L.; Itoh, M. Experimental autoimmune orchitis as a model of immunological male infertility. Med. Mol. Morphol. 2012, 45, 185–189. [Google Scholar] [CrossRef]
- Wang, Q.; Dong, J.; Lu, W.; He, H.; Sun, X.; Zhang, K.; Song, Q.; Jiang, Y.; Wang, Y.; Li, C.; et al. Phenylethanol glycosides from Cistanche tubulosa improved reproductive dysfunction by regulating testicular steroids through CYP450-3β-HSD pathway. J. Ethnopharmacol. 2020, 251, 112500. [Google Scholar] [CrossRef]
- Wakayama, T.; Nakata, H.; Kumchantuek, T.; Gewaily, M.; Iseki, S. Identification of 5-bromo-2′-deoxyuridine-labeled cells during mouse spermatogenesis by heat-induced antigen retrieval in lectin staining and immunohistochemistry. J. Histochem. Cytochem. 2015, 63, 190–205. [Google Scholar] [CrossRef]
- MacMillan, L.B.; Lakhlani, P.; Lovinger, D.; Limbird, L.E. Alpha 2-adrenergic receptor subtypes: Subtle mutation of the alpha 2A-adrenergic receptor in vivo by gene targeting strategies reveals the role of this subtype in multiple physiological settings. Recent Prog. Horm. Res. 1998, 53, 25–42. [Google Scholar]
- Sun, Y.; Wang, W.; Zhou, C.; Ma, X.; Bai, W.; Zhang, J.; Yang, Q.; Wang, K.; Jia, J.; Liu, G.; et al. Changes in TRPV1 expression in the POA of ovariectomized rats regulated by NE-dependent α2-ADR may be involved in hot flashes. Ann. Anat. 2020, 232, 151565. [Google Scholar] [CrossRef]
- Brum, P.C.; Hurt, C.M.; Shcherbakova, O.G.; Kobilka, B.; Angelotti, T. Differential targeting and function of α2A and α2C adrenergic receptor subtypes in cultured sympathetic neurons. Neuropharmacology 2006, 51, 397–413. [Google Scholar] [CrossRef]
- Nasser, Y.; Ho, W.; Sharkey, K.A. Distribution of adrenergic receptors in the enteric nervous system of the guinea pig, mouse, and rat. J. Comp. Neurol. 2006, 495, 529–553. [Google Scholar] [CrossRef]
- Kable, J.W.; Murrin, L.C.; Bylund, D.B. In vivo gene modification elucidates subtype-specific functions of alpha(2)-adrenergic receptors. J. Pharmacol. Exp. Ther. 2000, 293, 1–7. [Google Scholar]
- Cai, J.; Li, J.; Mao, Y.; Bai, X.; Xu, L.; Wang, H. Immunohistochemical Localization of α2-Adrenergic Receptors in the Neonatal Rat Cochlea and the Vestibular Labyrinth. J. Mol. Neurosci. 2013, 51, 1010–1020. [Google Scholar] [CrossRef]
- Keefer, J.; Limbird, L. The alpha 2A-adrenergic receptor is targeted directly to the basolateral membrane domain of Madin-Darby canine kidney cells independent of coupling to pertussis toxin-sensitive GTP-binding proteins. J. Biol. Chem. 1993, 268, 11340–11347. [Google Scholar] [CrossRef]
- Ooi, Y.H.; Oh, D.-J.; Rhee, D.J. Analysis of α2-adrenergic Receptors and Effect of Brimonidine on Matrix Metalloproteinases and Their Inhibitors in Human Ciliary Body. Investig. Ophthalmol. Vis. Sci. 2009, 50, 4237–4243. [Google Scholar] [CrossRef] [PubMed]
- Ernsberger, P. The I1-imidazoline receptor and its cellular signaling pathways. Ann. N. Y. Acad. Sci. 1999, 881, 35–53. [Google Scholar] [CrossRef] [PubMed]
- Van Zwieten, P.A. Central imidazoline (I1) receptors as targets of centrally acting antihypertensives: Moxonidine and Rilmenidine. J. Hypertens. 1997, 15, 117–125. [Google Scholar] [CrossRef]
- Maltsev, A.V.; Evdokimovskii, E.V.; Kokoz, Y.M. Disturbance of I1-imidazoline receptor signal transduction in cardiomyocytes of Spontaneously Hypertensive Rats. Arch. Biochem. Biophys. 2019, 671, 62–68. [Google Scholar] [CrossRef]
- Bousquet, P.; Hudson, A.; García-Sevilla, J.A.; Li, J.-X. Imidazoline Receptor System: The Past, the Present, and the Future. Pharmacol. Rev. 2020, 72, 50–79. [Google Scholar] [CrossRef]
- Piletz, J.E.; Jones, J.C.; Zhu, H.; Bishara, O.; Ernsberger, P. Imidazoline receptor antisera-selected cDNA clone and mRNA distribution. Ann. N. Y. Acad. Sci. 1999, 881, 1–7. [Google Scholar] [CrossRef]
- Nagakura, Y.; Ide, R.; Saiki, C.; Hashizume, N.S.; Imai, T. Expression of nischarin, an imidazoline 1 receptor candidate protein, in the ventrolateral medulla of newborn rats. Neurosci. Lett. 2021, 761, 136113. [Google Scholar] [CrossRef]
- Wang, B.; Liu, Y.; Shan, Y.; Yao, Z.; Liu, X.; Su, R.; Sun, Q.; Cong, Y.; Li, J. Generation and Characterization of Novel Human IRAS Monoclonal Antibodies. J. Biomed. Biotechnol. 2009, 2009, 973754. [Google Scholar] [CrossRef]
- Da Silva Júnior, E.D.; de Souza, B.P.; Rodrigues, J.Q.D.; Caricati-Neto, A.; Jurkiewicz, A.; Jurkiewicz, N.H. Effects of clonidine in the isolated rat testicular capsule. Eur. J. Pharmacol. 2014, 726, 16–26. [Google Scholar] [CrossRef]
- Pharmaceutical Interview Form. Dexmedetomidine. Available online: https://www.pfizermedicalinformation.jp/ja-jp/system/files/content_files/pcd02if.pdf?pmidf (accessed on 7 October 2022).
- Tsukamura, H. Neuroendocrine Mechanisms Regulating Pulsatile Luteinizing Hormone Secretion. J. Reprod. Dev. 1995, 41, j103–j111. [Google Scholar] [CrossRef]
- Tsukamura, H.; Nagatani, S.; Cagampang, F.R.; Kawakami, S.; Maeda, K. Corticotropin-releasing hormone mediates suppression of pulsatile luteinizing hormone secretion induced by activation of alpha-adrenergic receptors in the paraventricular nucleus in female rats. Endocrinology 1994, 134, 1460–1466. [Google Scholar] [CrossRef]
- Cagampang, F.R.; Ohkura, S.; Tsukamura, H.; Coen, C.W.; Ota, K.; Maeda, K. Alpha 2-adrenergic receptors are involved in the suppression of luteinizing hormone release during acute fasting in the ovariectomized estradiol-primed rats. Neuroendocrinology 1992, 56, 724–728. [Google Scholar] [CrossRef]
- Briski, K.P.; Shakya, M. Mu Opioid Receptor Regulation of Gonadotropin-Releasing Hormone-Luteinizing Hormone Axis during Short-Term Food Deprivation: Role of Alpha1-Adrenoreceptor Signaling. Neuro Endocrinol. Lett. 2018, 39, 363–370. [Google Scholar]
- Brann, D.W.; Mahesh, V.B. Detailed Examination of the Mechanism and Site of Action of Progesterone and Corticosteroids in the Regulation of Gonadotropin Secretion: Hypothalamic Gonadotropin-Releasing Hormone and Catecholamine Involvement. Biol. Reprod. 1991, 44, 1005–1015. [Google Scholar] [CrossRef][Green Version]
- Collins, S.; Caron, M.G.; Lefkowitz, R.J. Regulation of adrenergic receptor responsiveness through modulation of receptor gene expression. Annu. Rev. Physiol. 1991, 53, 497–508. [Google Scholar] [CrossRef]
- Flügge, G.; van Kampen, M.; Meyer, H.; Fuchs, E. Alpha2A and alpha2C-adrenoceptor regulation in the brain: Alpha2A changes persist after chronic stress. Eur. J. Neurosci. 2003, 17, 917–928. [Google Scholar] [CrossRef]
- Jhanwar-Uniyal, M.; Leibowitz, S.F. Impact of circulating corticosterone on alpha1- and alpha2-noradrenergic receptors in discrete brain areas. Brain Res. 1986, 368, 404–408. [Google Scholar] [CrossRef]
- Flügge, G. Effects of cortisol on brain alpha2-adrenoceptors: Potential role in stress. Neurosci. Biobehav. Rev. 1999, 23, 949–956. [Google Scholar] [CrossRef]
- Zhao, L.; Zhang, J.; Yang, L.; Zhang, H.; Zhang, Y.; Gao, D.; Jiang, H.; Li, Y.; Dong, H.; Ma, T.; et al. Glyphosate exposure attenuates testosterone synthesis via NR1D1 inhibition of StAR expression in mouse Leydig cells. Sci. Total Environ. 2021, 785, 147323. [Google Scholar] [CrossRef]
- Clair, E.; Mesnage, R.; Travert, C.; Séralini, G.É. A glyphosate-based herbicide induces necrosis and apoptosis in mature rat testicular cells in vitro, and testosterone decrease at lower levels. Toxicol. In Vitro 2012, 26, 269–279. [Google Scholar] [CrossRef]
- Johansson, H.K.L.; Schwartz, C.L.; Nielsen, L.N.; Boberg, J.; Vinggaard, A.M.; Bahl, M.I.; Svingen, T. Exposure to a glyphosate-based herbicide formulation, but not glyphosate alone, has only minor effects on adult rat testis. Reprod. Toxicol. 2018, 82, 25–31. [Google Scholar] [CrossRef]
- Dai, P.; Hu, P.; Tang, J.; Li, Y.; Li, C. Effect of glyphosate on reproductive organs in male rat. Acta Histochem. 2016, 118, 519–526. [Google Scholar] [CrossRef]
- Gu, J.; Chen, J.; Xia, P.; Tao, G.; Zhao, H.; Ma, D. Dexmedetomidine attenuates remote lung injury induced by renal ischemia-reperfusion in mice. Acta Anaesthesiol. Scand. 2011, 55, 1272–1278. [Google Scholar] [CrossRef]
- Qiao, H.; Sanders, R.D.; Ma, D.; Wu, X.; Maze, M. Sedation improves early outcome in severely septic Sprague Dawley rats. Crit. Care 2009, 13, R136. [Google Scholar] [CrossRef]
- Taniguchi, T.; Kidani, Y.; Kanakura, H.; Takemoto, Y.; Yamamoto, K. Effects of dexmedetomidine on mortality rate and inflammatory responses to endotoxin-induced shock in rats. Crit. Care Med. 2004, 32, 1322–1326. [Google Scholar] [CrossRef]
- Rajakumaraswamy, N.; Ma, D.; Hossain, M.; Sanders, R.D.; Franks, N.; Maze, M. Neuroprotective interaction produced by xenon and dexmedetomidine on in vitro and in vivo neuronal injury models. Neurosci. Lett. 2006, 409, 128–133. [Google Scholar] [CrossRef]
- Terayama, H.; Qu, N.; Endo, H.; Ito, M.; Tsukamoto, H.; Umemoto, K.; Kawakami, S.; Fujino, Y.; Tatemichi, M.; Sakabe, K. Effect of acetamiprid on the immature murine testes. Int. J. Environ. Health Res. 2018, 28, 683–696. [Google Scholar] [CrossRef]






| Point | D14-9 | |||
|---|---|---|---|---|
| Group | Normal | Sham | 10 µg/kg | 40 µg/kg |
| Average (fmol/mL) | N.D. | N.D. | 0.036 | 0.948 |
| SD | N.D. | N.D. | 0.020 | 0.331 |
| Collection time | D14-13 | |||
| Group | Normal | Sham | 10 µg/kg | 40 µg/kg |
| Average (fmol/mL) | N.D. | N.D. | N.D. | 0.054 |
| SD | N.D. | N.D. | N.D. | 0.070 |
| Collection time | D15-9 | |||
| Group | Normal | Sham | 10 µg/kg | 40 µg/kg |
| Average (fmol/mL) | N.D. | N.D. | N.D. | N.D. |
| SD | N.D. | N.D. | N.D. | N.D. |
| Collection time | D15-13 | |||
| Group | Normal | Sham | 10 µg/kg | 40 µg/kg |
| Average (fmol/mL) | N.D. | N.D. | N.D. | N.D. |
| SD | N.D. | N.D. | N.D. | N.D. |
Publisher’s Note: MDPI stays neutral with regard to jurisdictional claims in published maps and institutional affiliations. |
© 2022 by the authors. Licensee MDPI, Basel, Switzerland. This article is an open access article distributed under the terms and conditions of the Creative Commons Attribution (CC BY) license (https://creativecommons.org/licenses/by/4.0/).
Share and Cite
Nomura, H.; Terayama, H.; Kiyoshima, D.; Qu, N.; Shirose, K.; Tetsu, S.; Hayashi, S.; Sakabe, K.; Suzuki, T. Effects of Dexmedetomidine on the Localization of α2A-Adrenergic and Imidazoline Receptors in Mouse Testis. Appl. Sci. 2022, 12, 10409. https://doi.org/10.3390/app122010409
Nomura H, Terayama H, Kiyoshima D, Qu N, Shirose K, Tetsu S, Hayashi S, Sakabe K, Suzuki T. Effects of Dexmedetomidine on the Localization of α2A-Adrenergic and Imidazoline Receptors in Mouse Testis. Applied Sciences. 2022; 12(20):10409. https://doi.org/10.3390/app122010409
Chicago/Turabian StyleNomura, Hayato, Hayato Terayama, Daisuke Kiyoshima, Ning Qu, Kosuke Shirose, Shuhei Tetsu, Shogo Hayashi, Kou Sakabe, and Takeshi Suzuki. 2022. "Effects of Dexmedetomidine on the Localization of α2A-Adrenergic and Imidazoline Receptors in Mouse Testis" Applied Sciences 12, no. 20: 10409. https://doi.org/10.3390/app122010409
APA StyleNomura, H., Terayama, H., Kiyoshima, D., Qu, N., Shirose, K., Tetsu, S., Hayashi, S., Sakabe, K., & Suzuki, T. (2022). Effects of Dexmedetomidine on the Localization of α2A-Adrenergic and Imidazoline Receptors in Mouse Testis. Applied Sciences, 12(20), 10409. https://doi.org/10.3390/app122010409

