Measurement of Energy Spectrum and Elemental Composition of PeV Cosmic Rays: Open Problems and Prospects
Abstract
1. Introduction
- (1)
- Measurement of energy spectrum, elemental composition and anisotropy in the CR arrival direction distribution, the three basic parameters crucial for understanding the origin, acceleration, and propagation of radiation.
- (2)
- Search of their sources through the observation of neutral radiation (photons and neutrinos), which points back to the emitting sources not being affected by the magnetic fields, in a multi-messenger approach. We note that, however, photons and neutrinos do not necessarily point back to their sources (see, for example, the the Ref. [3]).
- (a)
- A power-law behaviour ∼E up to the so-called “knee”, a small downwards bend around a few PeV (1 PeV = 10 eV);
- (b)
- a power-law behaviour ∼E beyond the knee, with a downwards bend near 10 eV, sometimes referred to as the “second knee”;
- (c)
- a transition back to a power-law ∼E (the so-called “ankle”) around eV;
- (d)
- a cutoff, probably due to extra-galactic CR interactions with the Cosmic Microwave Background (CMB), around 10 eV (the Greisen-Zatsepin-Kuzmin effect).
2. Detection Techniques
- the higher the energy, the lower the flux;
- the lower the flux, the larger the required detector area.
- Arrays, to sample the shower tail particles reaching the ground. In High Energy Particle language, a shower array is a “Tail Catcher Sampling Calorimeter”. The atmosphere is the absorber and the detectors at ground are the device to measure a (poor) calorimetric signal. Arrays are wide field of view detectors able to observe most of the overhead sky with a duty cycle of ∼100%. Measurements are limited by large shower-to-shower fluctuations.
- Telescopes, to detect Cherenkov photons or nitrogen fluorescence and observe the EAS longitudinal profile. The atmosphere acts as a “Homogeneous Calorimeter”. The duty cycle is low (∼10–15%) because telescopes can be operated only during clear moonless nights and the field of view is small (a few degrees). On the contrary, pointing capability and energy resolution are excellent.
3. Extensive Air Showers: The Heitler-Matthews Model
3.1. Electromagnetic Showers
- increases proportional to the primary energy E, N = .
- increases logarithmically with primary energy, at a rate of 85 g/cm per decade of energy.
3.2. Hadronic Showers
- in the hadronic interactions a large number of secondary particles are produced. At high energy, the total multiplicity of particles per collision, , reaches values of several tens with the consequence that although the hadronic interaction lengths are larger than the e.m. radiation one (at PeV energies g cm), the showers develop faster than in the e.m. case;
- in a hadronic interaction only a fraction of the energy E is available for secondary particle production. A single leading particle, the highest energy secondary produced in the interaction, carries a fraction deep in the atmosphere, where is the so-called inelasticity. Therefore, a fraction is used to produce charged pions, and a fraction goes via neutral pions into the e.m. component;
- the critical energy is defined as the energy at which the decay and the hadronic interaction probabilities are equal and further particle production by ceases.
- The number of electrons is equal for all primary masses A, that is, is independent of the composition. Therefore, the shower size can be used as an estimator of the energy;
- The number of muons increases with the mass of the primary particle with ∼. Accordingly, iron-induced showers contain about 1.5 times as many muons as proton showers with the same energy. In fact, in a shower induced by a nucleus A, due to the smaller energy per nucleon (E/A), the secondary pions are less energetic. This favours a pion decay as well as an interaction of heavier nuclei higher in atmosphere, where the air density is smaller. The number of muons can be used to infer the mass of the primary particle. Moreover, the evolution of the muon number with energy, dN/d lnE, is a good tracer of changes in the primary composition. In fact, a constant composition gives dN/d lnE = and any departure from that behavior can be interpreted as a change of the average mass of the primaries, in a similar way as with the elongation rate of the longitudinal development.
- The muon size grows with primary energy more slowly than proportionally, ∼.
3.3. Longitudinal Development
- is smaller for heavier nuclei (logarithmic dependence on A)
- is the same for same but different . As a consequence, the proton-induced showers result, on average, in a larger number of particles at the observation level compared to iron-induced events. However, the shower-to-shower fluctuations are as large as the shift of between proton and iron thus limiting an event-by-event assignement of a primary mass.
3.4. Energy and Mass
4. Reconstruction of the Energy and Mass of the Primary Particle
- (1)
- shower development, mainly governed by the inelasticity and by the inelastic cross section
- (2)
- elemental composition of the primary flux, that we don’t know and want to measure
- From the experimental data, via some phenomenological functions determined by Monte Carlo simulations for the particular array, the measured observables (N, N, N, X,…) are reconstructed.
- The distributions of such quantities are compared with those extracted from a detailed simulation of the EAS development in the atmosphere in which a trial CR spectrum is used.
- The input spectrum is varied in order to optimize the agreement between the reconstructed and calculated distributions of measured observables.
- How to obtain the energy spectrum in shower arrays?This is the first step in the analysis of CR data. We measure the spectrum in one observable and make a conversion to the energy spectrum. The observable typically used is the shower size because, as discussed in Section 3.2, the number of electrons at shower maximum is nearly independent on the primary mass: NN. However, surface detectors are usually located deep in the atmosphere and do not measure the number of electrons at shower maximum. Beyond the maximum, the number of electrons is a mass-sensitive parameter, with a larger electron number for air showers initiated by light primaries, according to a relation of the typewhere the parameters and depend on the primary mass A. This implies a degeneracy in the reconstruction procedure because to recover the primary energy from the size spectrum we must assume a given elemental composition to be measured. If the composition changes in the investigated energy range, the relationship between the measured electron size and inferred energy will also vary. The number of electrons in the core region has been used in some experiment, as well as the particle density at a suitable given distance from the shower axis, in some large arrays (see, for example, the Refs. [11,52]). In both cases this densities, according to Monte Carlo simulations, are nearly independent of the primary mass.
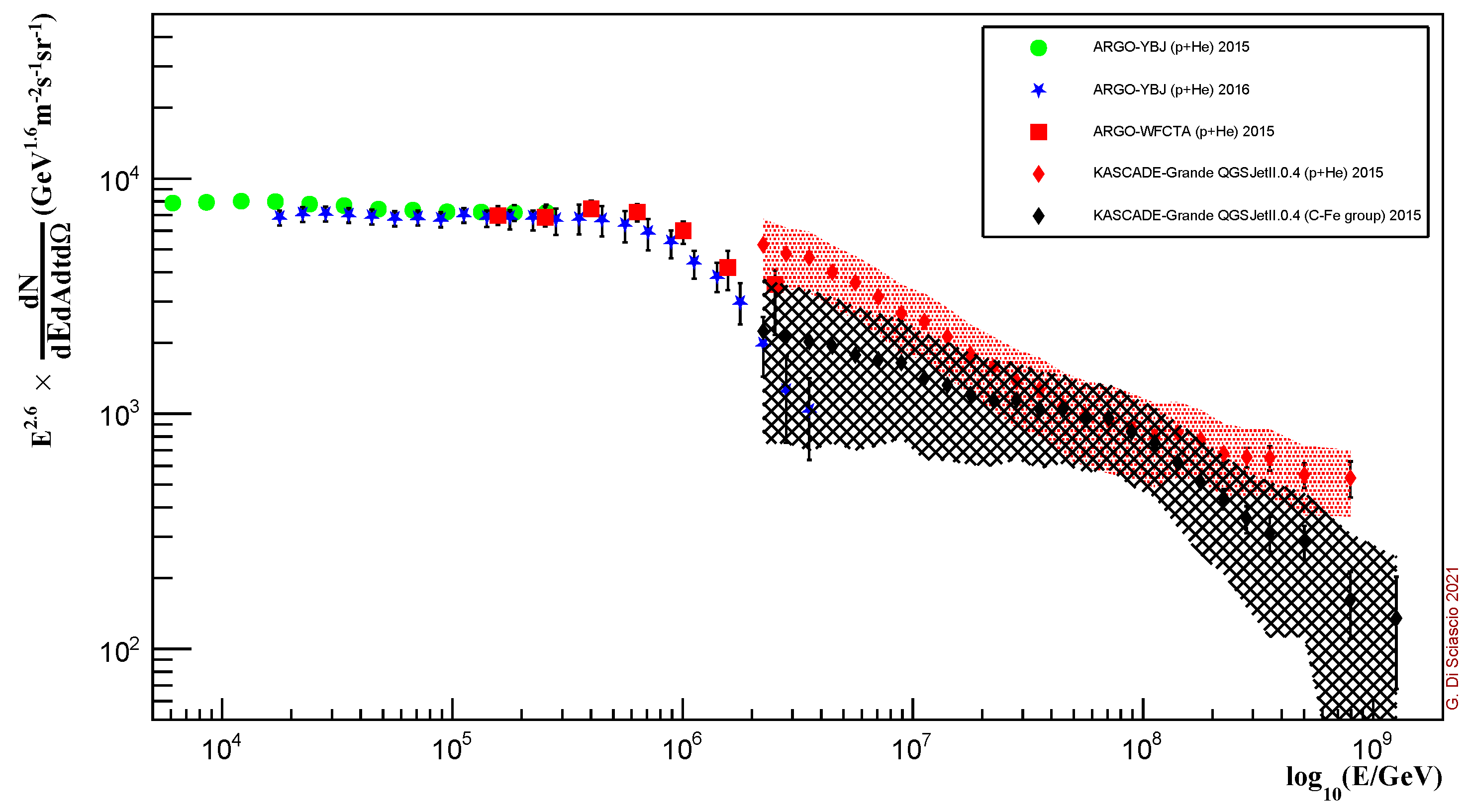
- How do we measure elemental composition at ground?The inelastic cross-section of iron at 1 PeV is about six times larger than for protons of equal energy. Hence, nuclei develop showers higher in atmosphere (smaller X) than protons, dissipating their energy much faster. Due to the shorter interaction length and the smaller energy per nucleon and because of the reduced attenuation of the muon component, nuclei-induced showers contain less particles in the e.m. component deep in the atmosphere, but they carry more muons than a proton shower of the same energy. This is the basis of the electron-muon correlation method. Therefore, as discussed in Section 3.4, the measurement of electron and muon contents simultaneously (with their fluctuations) has become the first and most commonly employed technique to infer the CR elemental composition with arrays. However, intrinsic shower to shower fluctuations limit mass resolution to a few mass groups (see Section 3.4) and electron and muon numbers are not independent. In addition, the muon component is heavy dependent on the details of the hadronic interactions and the results strongly depend on the particular model used to interpret the data.The other common technique, below 10 eV, involves the observation of the Cherenkov light and the study of its shape. In fact, the characteristics of the photon distribution depend on the depth of the shower maximum, therefore on the mass of the primary particle. The overall Cherenkov intensity provides a calorimetric measurement of the CR energy. Cherenkov light has been measured, for instance, in hybrid experiments by ARGO-YBJ and Tunka apparatus.The KASCADE multi-component array was the first experiment that claimed the measurement of the energy spectra of 5 different mass groups (p, He, CNO, MgSi, Fe) through a complex unfolding of the N/N diagram [22,23,24]. In the last two decades, other multi-component experiments measured a number of observables that, in principle, are mass-sensitive: steepness of the lateral distribution, characteristics of shower core region, distribution of the relative arrival times and angles of incidence of the muon component, characteristics of the lateral distribution of high energy muons (the so-called “muon bundles”) measured underground, pulse shape and lateral distribution of the air Cherenkov light, depth X of the shower maximum (see, for example, ref. [15,17]). But the study of the muon component has remained the most used technique.
5. Elemental Composition in the 10 to 10 eV Region
- ‘Analog-Bayes’ analysis, based on the RPC charge readout [60], covers the 30 TeV–10 PeV range. The energy is reconstructed (as in the previous analysis), on a statistical basis, by using a bayesian approach.
- ‘Hybrid measurement’, carried out by ARGO-YBJ and a wide field of view Cherenkov telescope, a prototype of the LHAASO telescopes, in the 100 TeV–3 PeV region. The selection of (p+He)-originated showers is based on two observables, the shape of the Cherenkov image and the particle density in the core region measured by the ARGO-YBJ central carpet. The energy is reconstructed by the telescope with a resolution better than 20% [56,61].
- arrays located at extreme altitude (BASJE-MAS at 5200 m asl, ARGO-YBJ and Tibet AS at 4300 m asl) observing a composition at the knee heavier than (p+He). These experiments did not exploit the measurement of the muon component to recover the elemental composition;
- arrays located deeper in the atmosphere (KASCADE, KASCADE-Grande and IceTop/Icecube) reporting evidence that the light cut-off is located at a few PeV. In this case both low and high energy muons have been used in the classical study of N–N correlation.
6. What’s Next
7. Conclusions
- Knee energy region
- All experiments observe an all-particle knee at ≈4 × 10 eV.
- The absolute fluxes are in good agreement with each other and with the direct measurements.
- The elemental composition is conflicting. Experiments located at high and extreme altitude (BASJE-MAS, Tibet AS, ARGO-YBJ, EAS-TOP and CASA-MIA) reported evidence that the knee of the (p+He) component is below 1 PeV and that the composition at the all-particle knee energy is dominated by heavier nuclei. Experiments located deeper in atmosphere (KASCADE, KASCADE-Grande, IceTop/IceCube, Tunka-133) reported evidence that the proton knee is at the same energy of the all-particle knee.
- A 10–10 Large Scale Anisotropy (LSA) amplitude is found at TeV energies [76].
- A 10 Medium Scale Anisotropy (MSA) amplitude is observed at TeV energies [76].
- Transition region 10–10 eV
- The all-particle energy spectrum measured by different experiments are in good agreement within the systematics and with the measurements of UHE experiments.
- A concave region is observed above 2 × 10 eV with a steepening at ∼10 eV.
- The dipole component of the LSA is smaller than 10.
- rigidity-acceleration models, that is, the knee can be an acceleration feature, a source property, related to the maximum energy of particle acceleration inside the CR sources;
- rigidity-confinement models, that is, the knee is related to inefficient confinement of particles in the galaxy. In this case, the galaxy could contain ’super-PeVatrons’, astrophysical objects able to accelerate particles well beyond the PeV.
Funding
Institutional Review Board Statement
Informed Consent Statement
Data Availability Statement
Conflicts of Interest
References
- Battistoni, G.; Grillo, A.F. Introduction to High-Energy Cosmic Ray Physics. In Proceedings of the ICTP School on Nonaccelerator Particle Astrophysics, Trieste, Italy, 17–28 July 1995; Preprint INFN/AE—96/05. pp. 341–374. [Google Scholar]
- Di Sciascio, G. Detection of Cosmic Rays from ground: An Introduction. J. Phys. Conf. Ser. 2019, 1263, 012002. [Google Scholar] [CrossRef]
- Stanev, T.C.R. Cosmogenic neutrinos and gamma rays. Physique 2014, 15, 349–356. [Google Scholar] [CrossRef]
- Williams, R.W. The structure of the large cosmic-ray air showers. Phys. Rev. 1948, 74, 1689–1706. [Google Scholar] [CrossRef]
- Linsley, J. Spectra, anisotropies and composition of cosmic rays above 1000 GeV. Proc. ICRC 1983, 12, 135L. [Google Scholar]
- Kulikov, G.V.; Khristiansen, G.B. On the size spectrum of extensive air showers. Sov. Phys. JETP 1959, 35, 441–444. [Google Scholar]
- Miura, I.; Hasegawa, H. Spectra of the Size and the Total Number of Mu-Mesons in EAS. J. Phys. Soc. Jpn. 1962, 17, 84. [Google Scholar]
- Peters, B. Primary cosmic radiation and extensive air showers. Il Nuovo Cimento 1961, 22, 800. [Google Scholar] [CrossRef]
- Drury, L.O. Origin of cosmic rays. Astropart. Phys. 2012, 39–40, 52–60. [Google Scholar] [CrossRef]
- Gabici, S.; Gaggero, D.; Zandanel, F. Can supernova remnants accelerate protons up to PeV energies? arXiv 2016, arXiv:1610.07638. [Google Scholar]
- Cao, Z.; LHAASO Collaboration. Ultrahigh-energy photons up to 1.4 petaelectronvolts from 12 γ-ray Galactic sources. Nature 2021, 594, 33–36. [Google Scholar] [CrossRef]
- Cao, Z.; LHAASO Collaboration. Peta–electron volt gamma-ray emission from the Crab Nebula. Science 2021, 373, 425–430. [Google Scholar]
- Bartoli, B.; Bernardini, P.; Bi, X.J.; Branchini, P.; Budano, A.; Camarri, P.; Cao, Z.; Cardarelli, R.; Catalanotti, S.; Chen, S.Z.; et al. Identification of the TeV gamma-ray source ARGO J2031+4157 with the Cygnus Cocoon. ApJ 2014, 790, 152. [Google Scholar] [CrossRef]
- Aharonian, F.; Yang, R.; de Ona Wilhelmi, E. Massive stars as major factories of Galactic cosmic rays. Nat. Astron. 2019, 3, 561–567. [Google Scholar] [CrossRef]
- Spurio, M. Probes of Multimessenger Astrophysics; Springer International Publishing: Cham, Switzerland, 2018. [Google Scholar]
- Gaisser, T.K.; Engel, R.; Resconi, E. Cosmic Rays and Particle Physics; Cambridge University Press: Cambridge, UK, 2016. [Google Scholar]
- Grieder, P.K.F. Extensive Air Showers; Springer International Publishing: Bern, Switzerland, 2010. [Google Scholar]
- Longair, M.S. High Energy Astrophysics; Cambridge University Press: Cambridge, UK, 1981. [Google Scholar]
- Aloisio, R. Multiple Messengers and Challenges in Astroparticle Physics; Springer International Publishing: Cham, Switzerland, 2018. [Google Scholar]
- Bartoli, B.; Bernardini, P.; Bi, X.J.; Cao, Z.; Catalanotti, S.; Chen, S.Z.; Chen, T.L.; Cui, S.W.; Dai, B.Z.; D’Amone, A.; et al. Observation of the cosmic ray moon shadowing effect with the ARGO-YBJ experiment. Phys. Rev. D 2011, 84, 022003. [Google Scholar] [CrossRef]
- Ogio, S.; Kakimoto, F.; Kurashina, Y.; Burgoa, O.; Harada, D.; Tokuno, H.; Yoshii, H.; Morizawa, A.; Gotoh, E.; Nakatani, H.; et al. The energy spectrum and the chemical composition of primary cosmic rays with energies from 1014 to 1016 eV. ApJ 2004, 612, 268. [Google Scholar] [CrossRef]
- Antoni, T.; Apel, W.D.; Badea, A.F.; Bekk, K.; Bercuci, A.; Blümer, J.; Bozdog, H.; Brancus, I.M.; Chilingarian, A.; Daumiller, K.; et al. KASCADE measurements of energy spectra for elemental groups of cosmic rays: Results and open problems. Astropart. Phys. 2005, 24, 1. [Google Scholar] [CrossRef]
- Apel, W.D.; Arteaga, J.C.; Badea, A.F.; Bekk, K.; Blümer, J.; Bozdog, H.; Brancus, I.M.; Brüggemann, M.; Buchholz, P.; Cossavella, F.; et al. KASCADE Collaboration. Energy spectra of elemental groups of cosmic rays: Update on the KASCADE unfolding analysis. Astropart. Phys. 2009, 31, 86. [Google Scholar] [CrossRef]
- Apel, W.D.; Arteaga-Velázquez, J.C.; Bekk, K.; Bertaina, M.; Blümer, J.; Bozdog, H.; Brancus, I.M.; Cantoni, E.; Chiavassa, A.; Cossavella, F.; et al. KASCADE-Grande measurements of energy spectra for elemental groups of cosmic rays. Astropart. Phys. 2013, 47, 54. [Google Scholar] [CrossRef]
- Amenomori, M.; Bi, X.J.; Chen, D.; Cui, S.W.; Danzengluobu; Ding, L.K.; Ding, X.H.; Fan, C.; Feng, C.F.; Fenget, Z.; et al. Cosmic-ray energy spectrum around the knee obtained by the Tibet experiment and future prospects. Adv. Space Res. 2011, 47, 629. [Google Scholar] [CrossRef]
- Glasmacher, M.A.K.; Catanese, M.A.; Chantell, M.C.; Covault, C.E.; Cronin, J.W.; Fick, B.E.; Fortson, L.F.; Fowler, J.W.; Green, K.D.; Kieda, D.B.; et al. CASA-MIA Collaboration. The cosmic ray composition between 1014 and 1016 eV. Astropart. Phys. 1999, 12, 1. [Google Scholar] [CrossRef]
- Apel, W.D.; Arteaga-Velázquez, J.C.; Bekk, K.; Bertainaet, M.; Bluemer, J.; Bozdog, H.; Brancus, I.M.; Buchholz, P.; Cantoni, E.; Chiavassa, A.; et al. The spectrum of high-energy cosmic rays measured with KASCADE-Grande. Astropart. Phys. 2012, 36, 183. [Google Scholar] [CrossRef]
- Prosin, V.V.; Berezhnev, S.F.; Budnev, N.M.; Brückner, M.; Chiavassa, A.; Chvalaev, O.A.; Dyachok, A.V.; Epimakhov, S.N.; Gafarov, A.V.; Gress, O.A.; et al. TUNKA Collaboration. Results from Tunka-133 (5 years observation) and from the Tunka-HiSCORE prototype. In Proceedings of the 5th Roma International Conference on Astro-Particle physics (RICAP 14), Sicily, Italy, 30 September–3 October 2014. [Google Scholar]
- Aartsen, M.G.; Ackermann, M.; Adams, J.; Aguilar, J.A.; Ahlers, M.; Ahrens, M.; Alispach, C.; Andeen, K.; Anderson, T.; Ansseau, I.; et al. ICETOP Collaboration. Cosmic ray spectrum and composition from PeV to EeV using 3 years of data from IceTop and IceCube. Phys. Rev. D 2019, 100, 082002. [Google Scholar] [CrossRef]
- Bartoli, B.; Bernardini, P.; Bi, X.J.; Bleve, C.; Bolognino, I.; Branchini, P.; Budano, A.; Calabrese Melcarne, A.K.; Camarri, P.; Cao, Z.; et al. Light-component spectrum of the primary cosmic rays in the multi-TeV region measured by the ARGO-YBJ experiment. Phys. Rev. D 2012, 85, 092005. [Google Scholar] [CrossRef]
- Amenomori, M.; Ayabe, S.; Chen, D.; Cui, S.W.; Danzengluobu; Ding, L.K.; Ding, X.H.; Feng, C.F.; Feng, Z.Y.; Gao, X.Y.; et al. Are protons still dominant at the knee of the cosmic-ray energy spectrum? Phys. Lett. B 2006, 632, 58–64. [Google Scholar] [CrossRef]
- Heitler, W. The Quantum Theory of Radiation; Clarendon Press: Oxford, UK, 1944. [Google Scholar]
- Matthews, J. A Heitler model of extensive air showers. Astropart. Phys. 2005, 22, 387. [Google Scholar] [CrossRef]
- Letessier-Selvon, A.; Stanev, T. Ultrahigh energy cosmic rays. Rev. Mod. Phys. 2011, 83, 907–942. [Google Scholar] [CrossRef]
- Heck, D.; Knapp, J.; Capdevielle, J.N.; Schatz, G.; Thouw, T. CORSIKA: A Monte Carlo Code to Simulate Extensive Air Showers; Forschungszentrum Karlsruhe GmbH: Karlsruhe, Germany, 1998. [Google Scholar]
- Allison, J.; Amako, K.; Apostolakis, J.; Arce, P.; Asai, M.; Aso, T.; Bagli, E.; Bagulya, A.; Banerjee, S.; Barrand, G.; et al. Recent developments in Geant4. NIM 2016, A835, 186–225. [Google Scholar] [CrossRef]
- Sciutto, S.J. AIRES: A system for air shower simulations. arXiv 2019, arXiv:astro-ph/9911331. [Google Scholar]
- Horandel, J.R. Cosmic Rays from the Knee to the Second Knee: 1014 to 1018 eV. Mod. Phys. Lett. A 2007, 22, 1533–1551. [Google Scholar] [CrossRef]
- Kampert, K.H.; Unger, M. Measurements of the cosmic ray composition with air shower experiments. Astropart. Phys. 2012, 35, 660–678. [Google Scholar] [CrossRef]
- Mollerach, S.; Roulet, E. Progress in high-energy cosmic ray physics. Progr. Part. Nucl. Phys. 2018, 98, 85–118. [Google Scholar] [CrossRef]
- Linsley, J. Structure of large air showers at depth 834 g/cm−2: Applications. In Proceedings of the 15th International Cosmic Ray Conference, Plovdiv, Bulgaria, 13–26 August 1977; Volume 12, p. 89. [Google Scholar]
- Fukui, S.; Hasegawa, H.; Matano, T.; Miura, I.; Oda, M.; Suga, K.; Tanahashi, G.; Tanaka, Y. A study on the structure of the extensive air shower. Suppl. Prog. Theor. Phys. 1960, 16, 1–53. [Google Scholar] [CrossRef]
- Matano, T.; Miura, I.; Nagano, M.; Oda, M.; Shibata, S.; Tanaka, Y.; Tanahashi, G.; Hasegawa, H. Extensive air showers—Studies of Tokyo group. In Proceedings of the 8th International Cosmic Ray Conference, Jaipur, India, 2–14 December 1963; Volume 4, p. 129. [Google Scholar]
- Vernov, S.N.; Khristiansen, G.B.; Abrosimov, A.M.; Atrashkevich, V.B.; Beliaeva, M.G. A descriptior of a modified complex installation for investigation of extensive air showers and new experimental data obtained by means of this installation. In Proceedings of the 8th International Cosmic Ray Conference, Jaipur, India, 2–14 December 1963; Volume 4, p. 173. [Google Scholar]
- Linsley, J.; Scarsi, L.; Rossi, B. Energy spectrum and structure of large air showers. J. Phys. Soc. Japan 1962, 17, 91. [Google Scholar]
- Horandel, J.R. Cosmic-ray composition and its relation to shock acceleration by supernova remnants. Adv. Space Res. 2008, 41, 442–463. [Google Scholar] [CrossRef][Green Version]
- Lipari, P. Cosmic rays and hadronic interactions. C. R. Phys. 2014, 15, 357–366. [Google Scholar] [CrossRef]
- Riehn, F.; Engel, R.; Fedynitch, A.; Gaisser, T.K.; Stanev, T. Hadronic interaction model Sibyll 2.3d and extensive air showers. Phys. Rev. D 2020, 102, 063002. [Google Scholar] [CrossRef]
- Kieda, D.B.; Swordy, S.P.; Wakely, S.P. A high resolution method for measuring cosmic ray composition beyond 10 TeV. Astropart. Phys. 2001, 15, 287–303. [Google Scholar] [CrossRef]
- Aharonian, F.; Akhperjanian, A.G.; Bazer-Bachi, A.R.; Akhperjanian, A.G.; Angüner, E.O.; Backes, M.; Balenderan, S.; Balzer, A.; Barnacka, A.; Becherini, Y.; et al. HESS Collaboration. First ground-based measurement of atmospheric Cherenkov light from cosmic rays. Phys. Rev. D 2007, 75, 042004. [Google Scholar] [CrossRef]
- Haungs, A.; Rebel, H.; Roth, M. Energy spectrum and mass composition of high-energy cosmic rays. Rep. Prog. Phys. 2003, 66, 1145. [Google Scholar] [CrossRef]
- Di Sciascio, G. Main physics results of the ARGO-YBJ experiment. Int. J. Mod. Phys. D 2014, 23, 1430019. [Google Scholar] [CrossRef]
- Aglietta, M.; Alessandro, B.; Antonioli, P.; Arneodo, F.; Bergamasco, L.; Bertaina, M.; Castagnoli, C.; Castellina, A.; Chiavassa, A.; Cini Castagnoli, G.; et al. EAS-TOP Collaboration. The cosmic ray primary composition in the “knee” region through the EAS electromagnetic and muon measurements at EAS-TOP. Astropart. Phys. 2004, 21, 583. [Google Scholar] [CrossRef]
- Garyaka, A.P.; Martirosov, R.M.; Ter-Antonyan, S.V.; Nikolskaya, N.; Gallant, Y.A.; Jones, L.; Procureur, J. GAMMA Collaboration. Rigidity-dependent cosmic ray energy spectra in the knee region obtained with the GAMMA experiment. Astropart. Phys. 2007, 28, 169. [Google Scholar] [CrossRef]
- Tanaka, H.; Dugad, S.R.; Gupta, S.K.; Jain, A.; Mohanty, P.K.; Rao, B.S.; Ravindran, K.C.; Sivaprasad, K.; Tonwar, S.C.; Hayashi, Y.; et al. GRAPES Collaboration. Studies of the energy spectrum and composition of the primary cosmic rays at 100–1000 TeV from the GRAPES-3 experiment. J. Phys. G Nucl. Part. Phys. 2012, 39, 025201. [Google Scholar] [CrossRef]
- Bartoli, B.; Bernardini, P.; Bi, X.J.; Cao, Z.; Catalanotti, S.; Camarri, P.; Cao, Z.; Cardarelli, R.; Catalanotti, S.; Chen, S.Z.; et al. Knee of the cosmic hydrogen and helium spectrum below 1 PeV measured by ARGO-YBJ and a Cherenkov telescope of LHAASO. Phys. Rev. D 2015, 92, 092005. [Google Scholar] [CrossRef]
- Yoon, Y.S.; Ahn, H.S.; Allison, P.S.; Bagliesi, M.G.; Beatty, J.; Bigongiari, G.; Boyle, P.J.; Childers, J.T.; Conklin, N.B.; Coutu, S.; et al. CREAM Collaboration. Cosmic-ray proton and helium spectra from the first CREAM flight. ApJ 2011, 728, 122. [Google Scholar] [CrossRef]
- Grebenyuk, V.; Karmanov, D.; Kovalev, I.; Kovalev, I.; Kudryashov, I.; Kurganov, A.; Panov, A.; Podorozhny, D.; Porokhovoy, S.; Sveshnikova, L.; et al. NUCLEON Collaboration. Energy spectra of abundant cosmic-ray nuclei in the NUCLEON experiment. Adv. Space Res. 2019, 64, 2546. [Google Scholar] [CrossRef]
- Bartoli, B.; Bernardini, P.; Bi, X.J.; Cao, Z.; Catalanotti, S.; Chen, S.Z.; Chen, T.L.; Cui, S.W.; Dai, B.Z.; D’Amone, A.; et al. Cosmic ray proton plus helium energy spectrum measured by the ARGO-YBJ experiment in the energy range 3–300 TeV. Phys. Rev. D 2015, 91, 112017. [Google Scholar] [CrossRef]
- Bartoli, B.; Bernardini, P.; Bi, X.J.; Branchini, P.; Budano, A.; Chen, S.Z.; Chen, T.L.; Cui, S.W.; Dai, B.Z.; D’Amone, A.; et al. The analog Resistive Plate Chamber detector of the ARGO-YBJ experiment. Astropart. Phys. 2015, 67, 47. [Google Scholar] [CrossRef]
- Bartoli, B.; Bernardini, P.; Bi, X.J.; Bolognino, I.; Branchini, P.; Budano, A.; Calabrese Melcarne, A.K.; Camarri, P.; Cao, Z.; Cardarelli, R.; et al. Energy spectrum of cosmic protons and helium nuclei by a hybrid measurement at 4300 m asl. Chinese Phys. 2014, C38, 045001. [Google Scholar] [CrossRef]
- Hörandel, J.H. On the knee in the energy spectrum of cosmic rays. Astropart. Phys. 2003, 19, 193. [Google Scholar] [CrossRef]
- Alfaro, R.; Alvarez, C.; Álvarez, J.D.; Arceo, R.; Avila Rojas, D.; Ayala Solares, H.A.; Barber, A.S.; Becerril, A.; Belmont-Moreno, E.; BenZvi, S.Y.; et al. HAWC Collaboration. All-particle cosmic ray energy spectrum measured by the HAWC experiment from 10 to 500 TeV. Phys. Rev. D 2017, 96, 122001. [Google Scholar] [CrossRef]
- Bertaina, M.E.; Apel, W.D.; Hörandel, J.R.; Wommer, M.; Blumer, J.; Bozdog, H.; Brancus, I.M.; Buchholz, P.; Cantoni, E.; Chiavassa, A.; et al. KASCADE-Grande Collaboration. The cosmic ray energy spectrum in the range 1016–1018 eV measured by KASCADE-Grande. Astrophys. Space Sci. Trans. 2011, 7, 229. [Google Scholar] [CrossRef]
- Bertaina, M.E. Cosmic rays from the knee to the ankle. C. R. Phys. 2014, 15, 300–308. [Google Scholar] [CrossRef]
- Abreu, P.; Aglietta, M.; Albury, J.M.; Almela, A.; Alvarez-Muñiz, J.; Alves Batista, R.; Anastasi, G.A.; Anchordoqui, L.; Andrada, B.; Allekotte, I.; et al. The energy spectrum of cosmic rays beyond the turn-down around 1017 eV as measured with the surface detector of the Pierre Auger Observatory. Eur. Phys. J. 2021, 81, 966. [Google Scholar] [CrossRef]
- Bellido, J.; Aglietta, M.; Albury, J.M.; Allekotte, I.; Almeida Cheminant, K.; Almela, A.; Alvarez-Muñiz, J.; Alves Batista, R.; Anastasi, G.A.; Anchordoqui, L.; et al. (The Pierre Auger Collaboration). Depth of maximum of air-shower profiles at the Pierre Auger Observatory: Measurements above 1017.2 eV and Composition Implications. In Proceedings of the 35th International Cosmic Ray Conference (ICRC2017), Busan, Korea, 10–20 July 2017. [Google Scholar]
- Cazon, L. Probing High-Energy Hadronic Interactions with Extensive Air Showers. In Proceedings of the 36th International Cosmic Ray Conference (ICRC2019), Madison, WI, USA, 24 July–1 August 2019; Volume 358, p. 5. [Google Scholar]
- Cazon, L. Working Group Report on the Combined Analysis of Muon Density Measurements from Eight Air Shower Experiments. In Proceedings of the 36th International Cosmic Ray Conference (ICRC2019), Madison, WI, USA, 24 July–1 August 2019; Volume 358, p. 214. [Google Scholar]
- Kang, D.; Haungs, A.; Apel, W.D.; Arteaga-Velázquez, J.C.; Beket, K.; Bertaina, M.; Blümer, J.; Bozdog, H.; Cantoni, E.; Chiavassa, A.; et al. Latest Results from the KASCADE-Grande Data Analysis. In Proceedings of the 36th International Cosmic Ray Conference (ICRC2019), Madison, WI, USA, 24 July–1 August 2019; Volume 358, p. 306. [Google Scholar]
- Mascaretti, C.; Blasi, P.; Evoli, C. Atmospheric neutrinos and the knee of the cosmic ray spectrum. Astropart. Phys. 2020, 114, 22–29. [Google Scholar] [CrossRef]
- Di Sciascio, G.; LHAASO Collaboration. The LHAASO experiment: From Gamma-Ray Astronomy to Cosmic Rays. Nucl. Part. Phys. Proc. 2016, 279–281, 166–173. [Google Scholar] [CrossRef]
- Bai, X.; Bi, B.Y.; Bi, X.J.; Cao, Z.; Chen, S.Z.; Chen, Y.; Chiavassa, A.; Cui, X.H.; Dai, Z.G.; della Volpe, D.; et al. The Large High Altitude Air Shower Observatory (LHAASO) Science White Paper. arXiv 2019, arXiv:1905.02773. [Google Scholar]
- Tluczykont, M.; Hampf, D.; Horns, D.; Spitschan, D.; Kuzmichev, L.; Prosin, V.; Spiering, C.; Wischnewski, R.; HiSCORE Collaboration. The HiSCORE concept for gamma-ray and cosmic-ray astrophysics beyond 10 TeV. Astropart. Phys. 2014, 56, 42–53. [Google Scholar] [CrossRef]
- Alvarez-Muniz, J.; Batista, R.A.; Bolmont, J.; Bolmont, J.; Bustamante, M.; Carvalho, W., Jr.; Charrier, D.; Cognard, I.; Decoene, V.; Denton, P.B.; et al. The giant radio array for neutrino detection (GRAND): Science and design. Sci. China 2020, 63, 219501. [Google Scholar] [CrossRef]
- Di Sciascio, G.; Iuppa, R. Homage to the Discovery of Cosmic Rays; Perez-Peraza, J.A., Ed.; Nova Science Publishers: New York, NY, USA, 2013; Chapter 9; pp. 221–257. [Google Scholar]
- Albert, A.; Alfaro, R.; Ashkar, H.; Alvarez, C.; Álvarez, J.; Arteaga-Velázquez, J.C.; Ayala Solares, H.A.; Arceo, R.; Bellido, J.A.; BenZvi, S.; et al. Science Case for a Wide Field-of-View Very-High-Energy Gamma-Ray Observatory in the Southern Hemisphere. arXiv 2019, arXiv:1902.08429v1. [Google Scholar]
- Rodriguez-Fernandez, G.; Bigonciari, C.; Bulgarelli, A.; Camarri, P.; Cardillo, M.; Di Sciascio, G.; Valentina, F.; Marco, R.; Giovanni, P.; Rinaldo, S.; et al. STACEX: A RPC-based detector for a multi-messenger Southern observatory in the GeV-PeV range. In Proceedings of the 37th International Cosmic Ray Conference (ICRC2021), Berlin, Germany, 12–23 July 2021. [Google Scholar]
- Acero, F.; Acharya, B.S.; Acín Portella, V.; Adams, C.; Agudo, I.; Aharonian, F.; Al Samarai, I.; Alberdi, A.; Alcubierre, M.; Alfaro, R.; et al. Cherenkov Telescope Array. In Proceedings of the 35th International Cosmic Ray Conference (ICRC2017), Busan, Korea, 10–20 July 2017. [Google Scholar]









| Experiment | g/cm | Detector | E | e.m. Sens. | Instr. | Coverage |
|---|---|---|---|---|---|---|
| (eV) | Area (m) | Area (m) | ||||
| ARGO-YBJ [20] | 606 | RPC/hybrid with | – | 6700 | 11,000 | 0.93 |
| wide-FoV Č Tel. | (carpet) | |||||
| BASJE-MAS [21] | 550 | scint./muon | – | |||
| TIBET AS [25] | 606 | scint./burst det. | – | 380 | 3.7 × 10 | 10 |
| CASA-MIA [26] | 860 | scint./muon | 10– | 1.6 × 10 | 2.3 × 10 | 7 × 10 |
| KASCADE [22] | 1020 | scint./mu/had | – | 5 × 10 | 4 × 10 | 1.2 × 10 |
| KASCADE- | 1020 | scint./mu/had | – | 370 | 5 × 10 | 7 × 10 |
| Grande [27] | ||||||
| Tunka [28] | 900 | open Č det. | 3 – | — | 10 | — |
| IceTop [29] | 680 | ice Č det. | – | 4.2 × 10 | 10 | 4 × 10 |
| LHAASO [11] | 600 | Water Č | – | 5.2 × 10 | 1.3 × 10 | 4 × 10 |
| scint./mu/had | ||||||
| wide-FoV Č Tel. |
| Experiment | Altitude | Sensitive Area | Instrumented Area | Coverage |
|---|---|---|---|---|
| (m) | (m) | (m) | ||
| LHAASO | 4410 | 4.2 × 10 | 10 | 4.4 × 10 |
| TIBET AS | 4300 | 4.5 × 10 | 3.7 × 10 | 1.2 × 10 |
| KASCADE | 110 | 6 × 10 | 4 × 10 | 1.5 × 10 |
| CASA-MIA | 1450 | 2.5 × 10 | 2.3 × 10 | 1.1 × 10 |
Publisher’s Note: MDPI stays neutral with regard to jurisdictional claims in published maps and institutional affiliations. |
© 2022 by the author. Licensee MDPI, Basel, Switzerland. This article is an open access article distributed under the terms and conditions of the Creative Commons Attribution (CC BY) license (https://creativecommons.org/licenses/by/4.0/).
Share and Cite
Di Sciascio, G. Measurement of Energy Spectrum and Elemental Composition of PeV Cosmic Rays: Open Problems and Prospects. Appl. Sci. 2022, 12, 705. https://doi.org/10.3390/app12020705
Di Sciascio G. Measurement of Energy Spectrum and Elemental Composition of PeV Cosmic Rays: Open Problems and Prospects. Applied Sciences. 2022; 12(2):705. https://doi.org/10.3390/app12020705
Chicago/Turabian StyleDi Sciascio, Giuseppe. 2022. "Measurement of Energy Spectrum and Elemental Composition of PeV Cosmic Rays: Open Problems and Prospects" Applied Sciences 12, no. 2: 705. https://doi.org/10.3390/app12020705
APA StyleDi Sciascio, G. (2022). Measurement of Energy Spectrum and Elemental Composition of PeV Cosmic Rays: Open Problems and Prospects. Applied Sciences, 12(2), 705. https://doi.org/10.3390/app12020705
