Structural and Magnetic Properties of Nanosized Half-Doped Rare-Earth Ho0.5Ca0.5MnO3 Manganite
Abstract
1. Introduction
2. Materials and Methods
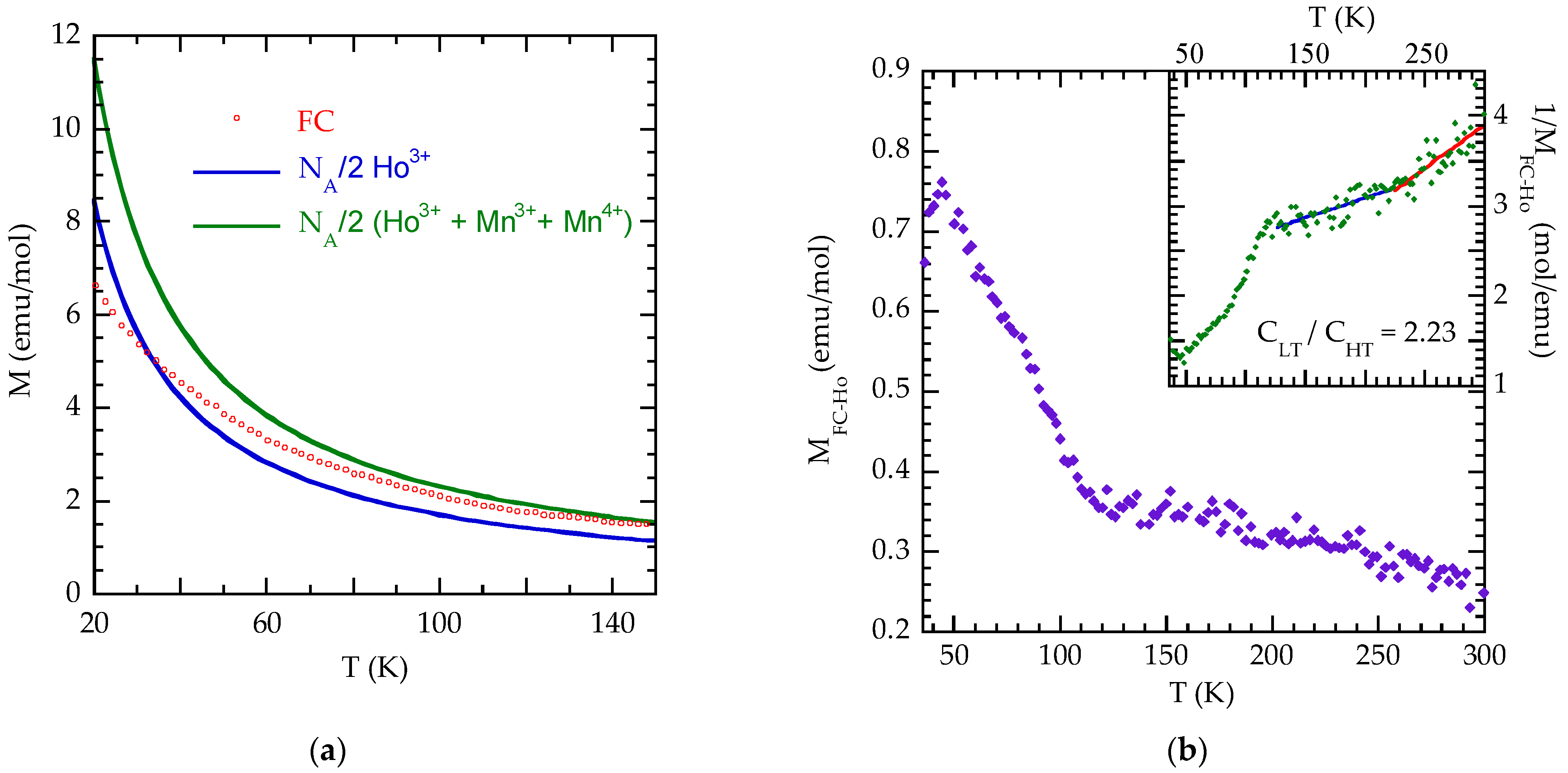
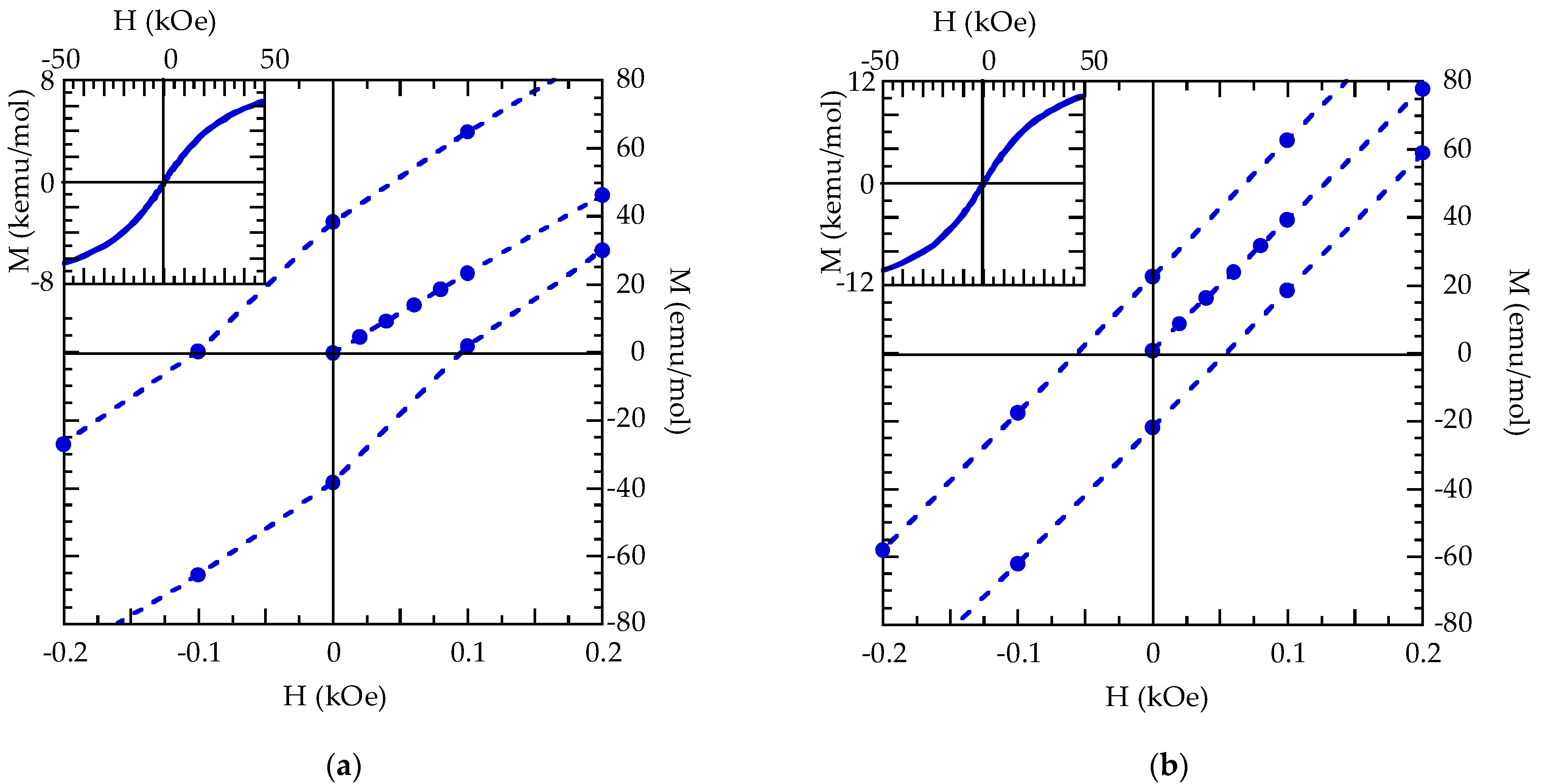
3. Results and Discussion
4. Conclusions
Author Contributions
Funding
Data Availability Statement
Acknowledgments
Conflicts of Interest
References
- Zener, C. Interaction between the d-shells in the transition metals. II. Ferromagnetic compounds of manganese with Perovskite structure. Phys. Rev. 1951, 82, 403–405. [Google Scholar] [CrossRef]
- Anderson, P.W. New approach to the theory of superexchange interactions. Career Theor. Phys. A 2005, 115, 100–111. [Google Scholar] [CrossRef]
- Vajk, O.P.; Kenzelmann, M.; Lynn, J.W.; Kim, S.B.; Cheong, S.W. Magnetic order and spin dynamics in ferroelectric HoMnO3. Phys. Rev. Lett. 2005, 94, 087601. [Google Scholar] [CrossRef] [PubMed]
- Lorenz, B.; Wang, Y.Q.; Sun, Y.Y.; Chu, C.W. Large magnetodielectric effects in orthorhombic HoMnO3 and YMnO3. Phys. Rev. B Condens. Matter Mater. Phys. 2004, 70, 212412. [Google Scholar] [CrossRef]
- Lorenz, B.; Wang, Y.Q.; Chu, C.W. Ferroelectricity in perovskite HoMnO3 and YMnO3. Phys. Rev. B Condens. Matter Mater. Phys. 2007, 76, 104405. [Google Scholar] [CrossRef]
- Rout, P.P.; Roul, B.K. Effect of Ca doping on enhancement of ferroelectricity and magnetism in HoMnO3 multiferroic system. J. Mater. Sci. Mater. Electron. 2013, 24, 2493–2499. [Google Scholar] [CrossRef]
- Goodenough, J.B. Theory of the role of covalence in the perovskite-type manganites [La,M(II)]MnO3. Phys. Rev. 1955, 100, 564–573. [Google Scholar] [CrossRef]
- Volja, D.; Yin, W.G.; Ku, W. Charge ordering in half-doped manganites: Weak charge disproportion and leading mechanisms. EPL 2010, 89, 27008. [Google Scholar] [CrossRef][Green Version]
- Barone, C.; Galdi, A.; Lampis, N.; Maritato, L.; Granozio, F.M.; Pagano, S.; Perna, P.; Radovic, M.; Scotti Di Uccio, U. Charge density waves enhance the electronic noise of manganites. Phys. Rev. B Condens. Matter Mater. Phys. 2009, 80, 115128. [Google Scholar] [CrossRef]
- Nucara, A.; Maselli, P.; Calvani, P.; Sopracase, R.; Ortolani, M.; Gruener, G.; Guidi, M.C.; Schade, U.; García, J. Observation of charge-density-wave excitations in manganites. Phys. Rev. Lett. 2008, 101, 066407. [Google Scholar] [CrossRef] [PubMed]
- Loudon, J.C.; Cox, S.; Williams, A.J.; Attfield, J.P.; Littlewood, P.B.; Midgley, P.A.; Mathur, N.D. Weak charge-lattice coupling requires reinterpretation of stripes of charge order in La1−xCaxMnO3. Phys. Rev. Lett. 2005, 94, 097202. [Google Scholar] [CrossRef] [PubMed]
- Gershenson, M.E.; Podzorov, V.; Cheong, S.W.; Kiryukhin, V.; Kim, B.G. Martensitic accommodation strain and the metal-insulator transition in manganites. Phys. Rev. B Condens. Matter Mater. Phys. 2001, 64, 140406. [Google Scholar] [CrossRef]
- Tokura, Y. Critical features of colossal magnetoresistive manganites. Rep. Prog. Phys. 2006, 69, 797–851. [Google Scholar] [CrossRef]
- Jooss, C.; Wu, L.; Beetz, T.; Klie, R.F.; Beleggia, M.; Schofield, M.A.; Schramm, S.; Hoffmann, J.; Zhu, Y. Polaron melting and ordering as key mechanisms for colossal resistance effects in manganites. Proc. Natl. Acad. Sci. USA 2007, 104, 13597–13602. [Google Scholar] [CrossRef]
- Kozlenko, D.P.; Jirák, Z.; Goncharenko, I.N.; Savenko, B.N. Suppression of the charge ordered state in Pr0.75Na0.25MnO3 at high pressure. J. Phys. Condens. Matter 2004, 16, 5883–5895. [Google Scholar] [CrossRef]
- Martinelli, A.; Ferretti, M.; Castellano, C.; Cimberle, M.R.; Masini, R.; Ritter, C. Neutron powder diffraction investigation on the crystal and magnetic structure of (Ho0.50+xCa0.50−x)(Mn1−xCrx)O3. J. Phys. Condens. Matter 2011, 23, 416005. [Google Scholar] [CrossRef]
- López, J.; De Lima, O.F. Specific heat and magnetic properties of Nd0.5Sr0.5MnO3 and R0.5Ca0.5MnO3 (R = Nd, Sm, Dy, and Ho). J. Appl. Phys. 2003, 94, 4395–4399. [Google Scholar] [CrossRef]
- Blasco, J.; García, J.; De Teresa, J.M.; Ibarra, M.R.; Pérez, J.; Algarabel, P.A.; Marquina, C.; Ritter, C. Charge ordering at room temperature in Tb0.5Ca0.5MnO3. J. Phys. Condens. Matter 1997, 9, 10321–10331. [Google Scholar] [CrossRef]
- Sarkar, T.; Raychaudhuri, A.K.; Chatterji, T. Size induced arrest of the room temperature crystallographic structure in nanoparticles of La0.5Ca0.5MnO3. Appl. Phys. Lett. 2008, 92, 123104. [Google Scholar] [CrossRef]
- Nagapriya, K.S.; Raychaudhuri, A.K.; Bansal, B.; Venkataraman, V.; Parashar, S.; Rao, C.N.R. Collapse of the charge-ordering state at high magnetic fields in the rare-earth manganite Pr0.63Ca0.37MnO3. Phys. Rev. B Condens. Matter Mater. Phys. 2005, 71, 024426. [Google Scholar] [CrossRef]
- Glezer, A.M.; Blinova, E.N.; Pozdnyakov, V.A.; Shelyakov, A.V. Martensite transformation in nanoparticles and nanomaterials. J. Nanoparticle Res. 2003, 5, 551–560. [Google Scholar] [CrossRef]
- Balaev, D.A.; Krasikov, A.A.; Popkov, S.I.; Semenov, S.V.; Volochaev, M.N.; Velikanov, D.A.; Kirillov, V.L.; Martyanov, O.N. Uncompensated magnetic moment and surface and size effects in few-nanometer antiferromagnetic NiO particles. J. Magn. Magn. Mater. 2021, 539, 168343. [Google Scholar] [CrossRef]
- Chatterji, T.; Su, Y.; Iles, G.N.; Lee, Y.C.; Khandhar, A.P.; Krishnan, K.M. Antiferromagnetic spin correlations in MnO nanoparticles. J. Magn. Magn. Mater. 2010, 322, 3333–3336. [Google Scholar] [CrossRef]
- Wesselinowa, J.M. Size and anisotropy effects on magnetic properties of antiferromagnetic nanoparticles. J. Magn. Magn. Mater. 2010, 322, 234–237. [Google Scholar] [CrossRef]
- Giri, S.K.; Poddar, A.; Nath, T.K. Surface spin glass and exchange bias effect in Sm0.5Ca0.5MnO3 manganites nano particles. AIP Adv. 2011, 1, 032110. [Google Scholar] [CrossRef]
- Shankar, U.; Singh, A.K. Origin of Suppression of Charge Ordering Transition in Nanocrystalline Ln0.5Ca0.5MnO3 (Ln = La, Nd, Pr) Ceramics. J. Phys. Chem. C 2015, 119, 28620–28630. [Google Scholar] [CrossRef]
- Pechini, M.P. Method of Preparing Lead and Alkalne Earth Titanates and Nibates and Coatting Method Using the Same to Form a Capacitor. U.S. Patent 3,330,697, 11 July 1967. [Google Scholar]
- Martinelli, A.; Ferretti, M. The crystal structure of (Ho0.50Ca0.50)MnO3 and its evolution with Cr doping: A Rietveld refinement investigation. Powder Diffr. 2005, 20, 22–26. [Google Scholar] [CrossRef]
- Rodríguez-Carvajal, J. FULLPROF: A program for Rietveld Refinement and Pattern Matching Analysis Abstracts of the Satellite Meeting on Powder Diffraction of the XV Congress of the IUCr, 127, Toulouse, France. 1990. Available online: https://www.bibsonomy.org/bibtex/1f3e4945ad804f38471c6ad3a513f1e76/jamasi (accessed on 5 December 2021).
- Qureshi, N. Instrumental aspects. EPJ Web Conf. 2017, 155, 00002. [Google Scholar] [CrossRef]
- Hansen, T.C.; Henry, P.F.; Fischer, H.E.; Torregrossa, J.; Convert, P. The D20 instrument at the ILL: A versatile high-intensity two-axis neutron diffractometer. Meas. Sci. Technol. 2008, 19, 034001. [Google Scholar] [CrossRef]
- Jirák, Z.; Krupička, S.; Šimša, Z.; Dlouhá, M.; Vratislav, S. Neutron diffraction study of Pr1−xCaxMnO3 perovskites. J. Magn. Magn. Mater. 1985, 53, 153–166. [Google Scholar] [CrossRef]
- Goodenough, J.B. Electronic structure of CMR manganites (invited). J. Appl. Phys. 1997, 81, 5330–5335. [Google Scholar] [CrossRef]
- Rivadulla, F.; López-Quintela, M.A.; Mira, J.; Rivas, J. Jahn-Teller vibrational anisotropy determines the magnetic structure in orthomanganites. Phys. Rev. B— Condens. Matter Mater. Phys. 2001, 64, 052403. [Google Scholar] [CrossRef]
- Zhou, J.; Goodenough, J. Zener versus de Gennes ferromagnetism. Phys. Rev. B Condens. Matter Mater. Phys. 2000, 62, 3834–3838. [Google Scholar] [CrossRef]
- Geddo Lehmann, A.; Congiu, F.; Lampis, N.; Miletto Granozio, F.; Perna, P.; Radovic, M.; Scotti Di Uccio, U. Magnetic properties of pseudomorphic epitaxial films of Pr0.7Ca0.3MnO3 under different biaxial tensile stresses. Phys. Rev. B Condens. Matter Mater. Phys. 2010, 82, 014415. [Google Scholar] [CrossRef]
- Kanamori, J. Crystal Distortion in Magnetic Compounds. J. Appl. Phys. 1960, 31, 14s–23s. [Google Scholar] [CrossRef]
- Daoud-Aladine, A.; Rodríguez-Carvajal, J.; Pinsard-Gaudart, L.; Fernández-Díaz, M.T.; Revcolevschi, A. Zener Polaron Ordering in Half-Doped Manganites. Phys. Rev. Lett. 2002, 89, 097205. [Google Scholar] [CrossRef]
- Wesselinowa, J.M.; Apostolova, I. Size, anisotropy and doping effects on the coercive field of ferromagnetic nanoparticles. J. Phys. Condens. Matter 2007, 19, 406235. [Google Scholar] [CrossRef] [PubMed]
- Radaelli, P.; Cox, D.; Marezio, M. Charge, orbital, and magnetic ordering ins. Phys. Rev. B Condens. Matter Mater. Phys. 1997, 55, 3015–3023. [Google Scholar] [CrossRef]
- Wollan, E.O.; Koehler, W.C. Neutron diffraction study of the magnetic properties of the series of perovskite-type compounds [(1-x)La,xCa]MnO3. Phys. Rev. 1955, 100, 545–563. [Google Scholar] [CrossRef]
- García-Munoz, J.L.; Frontera, C.; Aranda, M.A.G.; Ritter, C.; Llobet, A.; Respaud, M.; Goiran, M.; Rakoto, H.; Masson, O.; Vanacken, J.; et al. Charge and orbital order in rare-earth and Bi manganites: A comparison. J. Solid State Chem. 2003, 171, 84–89. [Google Scholar] [CrossRef]
- Yaicle, C.; Fauth, F.; Martin, C.; Retoux, R.; Jirak, Z.; Hervieu, M.; Raveau, B.; Maignan, A. Pr0.5Ca0.5Mn0.97Ga0.03O3, a strongly strained system due to the coexistence of two orbital ordered phases at low temperature. J. Solid State Chem. 2005, 178, 1652–1660. [Google Scholar] [CrossRef]
- Frontera, C.; Beran, P.; Bellido, N.; Hernández-Velasco, J.; García-Muñoz, J.L. Effects of d0 substitution on phase competition in Pr0.50Ca0.50Mn1−xTixO3. J. Appl. Phys. 2008, 103, 07F719. [Google Scholar] [CrossRef]
- Frontera, C.; García-Muñoz, J.L.; Llobet, A. Dependence of the physical properties of on the oxidation state of Mn. Phys. Rev. B Condens. Matter Mater. Phys. 2000, 62, 3002–3005. [Google Scholar] [CrossRef]
- Dwight, K.; Menyuk, N. Magnetic properties of Mn3O4 and the canted spin problem. Phys. Rev. 1960, 119, 1470–1479. [Google Scholar] [CrossRef]
- Cong, J.; Zhai, K.; Chai, Y.; Shang, D.; Khalyavin, D.D.; Johnson, R.D.; Kozlenko, D.P.; Kichanov, S.E.; Abakumov, A.M.; Tsirlin, A.A.; et al. Spin-induced multiferroicity in the binary perovskite manganite Mn2O3. Nat. Commun. 2018, 9, 2996. [Google Scholar] [CrossRef] [PubMed]
- Sergeenkov, S.; Cardoso, C.A.; Andreeta, M.R.B.; Hernandes, A.C.; Leite, E.R.; Araújo-Moreira, F.M. Growth and magnetic properties of bulk electron doped La0.7Ce0.3MnO3 manganites. Phys. Status Solidi Appl. Mater. Sci. 2011, 208, 1704–1707. [Google Scholar] [CrossRef]
- Guo, E.J.; Wang, L.; Wu, Z.P.; Wang, L.; Lu, H.B.; Jin, K.J.; Gao, J. Phase diagram and spin-glass phenomena in electron-doped La1−xHfxMnO3 (0.05 ≤ x ≤ 0.3) manganite oxides. J. Appl. Phys. 2011, 110, 113914. [Google Scholar] [CrossRef]
- Dasgupta, P.; Das, K.; Pakhira, S.; Mazumdar, C.; Mukherjee, S.; Mukherjee, S.; Poddar, A. Role of the stability of charge ordering in exchange bias effect in doped manganites. Sci. Rep. 2017, 7, 3220. [Google Scholar] [CrossRef] [PubMed]











Publisher’s Note: MDPI stays neutral with regard to jurisdictional claims in published maps and institutional affiliations. |
© 2022 by the authors. Licensee MDPI, Basel, Switzerland. This article is an open access article distributed under the terms and conditions of the Creative Commons Attribution (CC BY) license (https://creativecommons.org/licenses/by/4.0/).
Share and Cite
Geddo Lehmann, A.; Muscas, G.; Ferretti, M.; Pusceddu, E.; Peddis, D.; Congiu, F. Structural and Magnetic Properties of Nanosized Half-Doped Rare-Earth Ho0.5Ca0.5MnO3 Manganite. Appl. Sci. 2022, 12, 695. https://doi.org/10.3390/app12020695
Geddo Lehmann A, Muscas G, Ferretti M, Pusceddu E, Peddis D, Congiu F. Structural and Magnetic Properties of Nanosized Half-Doped Rare-Earth Ho0.5Ca0.5MnO3 Manganite. Applied Sciences. 2022; 12(2):695. https://doi.org/10.3390/app12020695
Chicago/Turabian StyleGeddo Lehmann, Alessandra, Giuseppe Muscas, Maurizio Ferretti, Emanuela Pusceddu, Davide Peddis, and Francesco Congiu. 2022. "Structural and Magnetic Properties of Nanosized Half-Doped Rare-Earth Ho0.5Ca0.5MnO3 Manganite" Applied Sciences 12, no. 2: 695. https://doi.org/10.3390/app12020695
APA StyleGeddo Lehmann, A., Muscas, G., Ferretti, M., Pusceddu, E., Peddis, D., & Congiu, F. (2022). Structural and Magnetic Properties of Nanosized Half-Doped Rare-Earth Ho0.5Ca0.5MnO3 Manganite. Applied Sciences, 12(2), 695. https://doi.org/10.3390/app12020695

