Numerical and Parametric Analysis for Enhancing Performances of Water Photovoltaic/Thermal System
Abstract
:1. Introduction
2. Methodology
2.1. Numerical Model
- Sub-numerical model for the glass cover;
- Sub-numerical model for the PV module;
- Sub-numerical model for the Tedlar layer;
- Sub-numerical model for the upper aluminum layer;
- Sub-numerical model for the water film in channel;
- Sub-numerical model for the lower aluminum layer.

- A (1D) numerical model is built since the layers thickness are very thin relative to the other dimensions. As a result, heat losses are considered to be neglected at the PV/T sides and average uniform temperature is determined for each layer;
- The amount of absorbed solar irradiation that is not converted into electricity is transferred from the PV cells back to the rest of system;
- The material properties remain constant in the PV/T system, for a temperature limited range;
- The heat flux between PV cells and EVA is supposed to be negligible;
- A perfect contact between PV/T components is supposed;
- The effects of dust and partial shading were neglected.
| PV Type | Pmax (W) | Vmp (V) | Imp (A) | Voc (V) | Isc (A) | (%) | NOCT (°C) |
|---|---|---|---|---|---|---|---|
| AE320HM-60 Mono-crystalline | 320 | 33.40 | 9.59 | 40.90 | 10.15 | 19.30 | 45 2 |
| Dimensions | 1665 × 996 (mm × mm) | |||
|---|---|---|---|---|
| Properties | Glazing | PV Cells | Tedlar | Aluminum Absorber |
| Density (kg/m3) | 2300 | 2330 | 1500 | 2700 |
| Thermal conductivity (W/m·K) | 1.0 | 168.0 | 0.2 | 160 |
| Specific heat (kJ/kgK) | 500 | 757 | 1200 | 900 |
| Thickness (m) | 0.003 | 0.00035 | 0.0015 | 0.003 |
2.2. Heat Balance Governing Equations
2.2.1. Solid Layers
2.2.2. Fluid Layers
2.3. Energy Analysis Method
3. Results and Discussion
3.1. Model Validation
3.2. Parametric Analysis
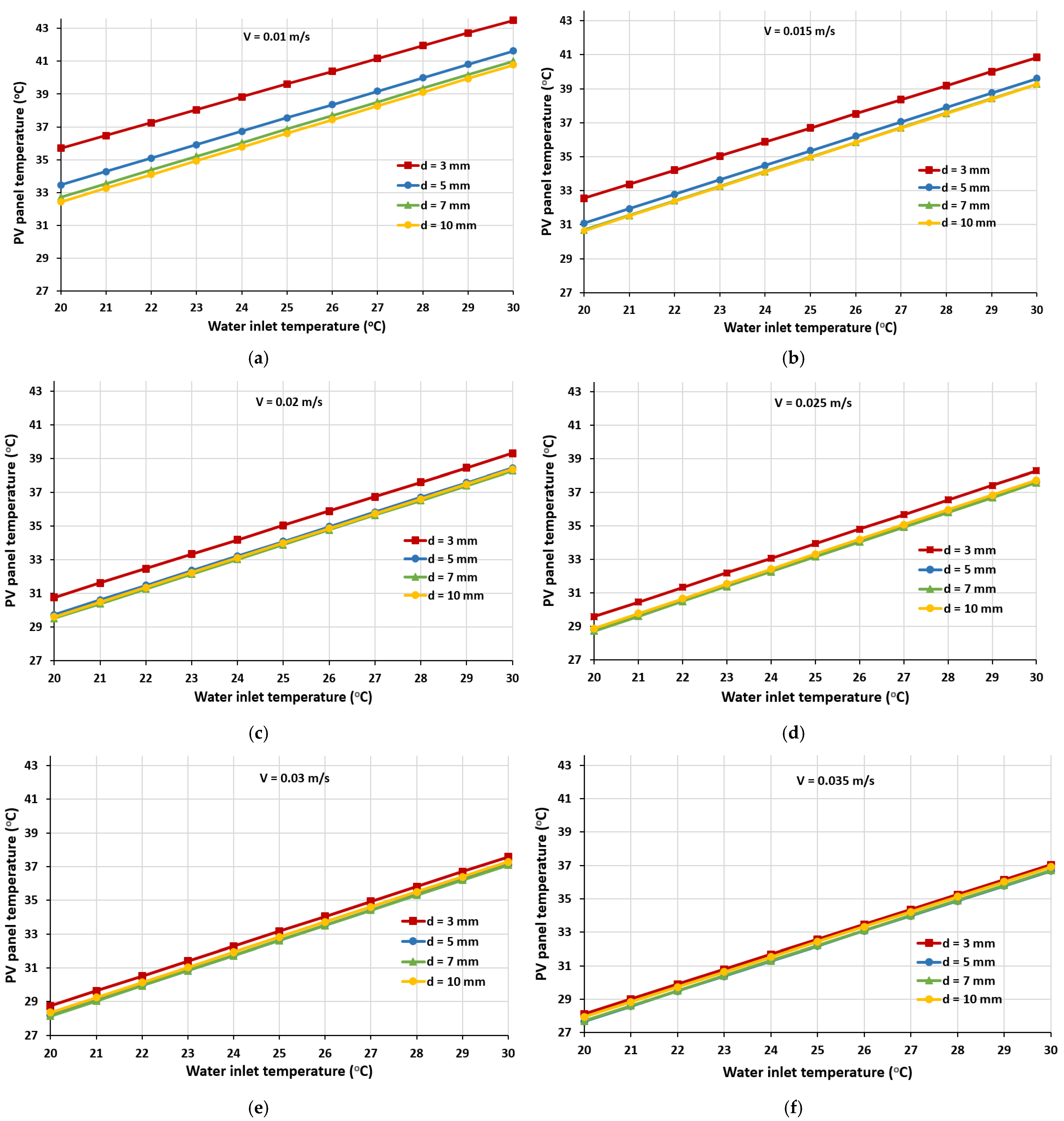
3.2.1. Effect of Water Velocity
3.2.2. Effect of Water Film Thickness
4. Conclusions
- -
- The effectiveness of the developed PV/T model based on the three layer PV model tested at different of solar irradiance and ambient temperature was proven.
- -
- Inlet water temperature had a significant effect on the cooling of the PV panel. A lower PV temperature was noted when the inlet temperature was about 20 °C.
- -
- As the water velocity ranged from 0.010 to 0.035 m/s, the cooling process improved. A lower PV temperature was obtained for water velocity of 0.035 m/s.
- -
- The temperature of the PV panel decreased while increasing the water film thickness from 3 mm to 7 mm and started increasing by 10 mm.
- -
- Optimal cooling of the PV cells (27.7 °C) was ensured, adopting optimum values of water velocity and thickness of 0.035 m/s and 7 mm, respectively, at inlet temperature of 20 °C.
- -
- The improved PV/T model showed a better electrical performance (316.56 W) compared with the conventional PV panel (258.8 W). Furthermore, an important gain of 1334.5 W of thermal production was obtained.
Author Contributions
Funding
Institutional Review Board Statement
Informed Consent Statement
Data Availability Statement
Acknowledgments
Conflicts of Interest
Nomenclature
| A | Area (m2) |
| C | Specific heat capacity (kJ/kg°C) |
| Ee | Electrical power (W) |
| Eth | Thermal power (W) |
| Fj,k | View factor between layer i and j |
| Esun | Solar irradiance (W/m2) |
| Gr | Grashof number |
| hc,i,j | Conductive heat exchange coefficient between components i and j (W/m2K) |
| hr,j,k | Radiative heat exchange coefficient between components i and j (W/m2K) |
| hv,i,j | Convective heat transfer coefficient between components i and j (W/m2K) |
| Isc | Short circuit current (A) |
| Imp | Maximum current (A) |
| L | Length (m) |
| NOCT | Nominal operating cell temperature |
| Nu | Nusselt number |
| Pr | Prandlt number |
| Pmax | Maximum power (W) |
| PF | Packing factor |
| Ra | Rayleigh number |
| Re | Reynolds number |
| STC | Standard test conditions |
| t | Time step (s) |
| Ti | Temperature of layer i (°C) |
| Ta | Ambient temperature (°C) |
| V | Water velocity (m/s) |
| VOC | Open circuit voltage(V) |
| Vmp | Maximum voltage (V) |
| w | Wind speed (m/s) |
| Greek symbols | |
| α | Absorptivity |
| β | Reference temperature coefficient for efficiency |
| ηe | Electrical efficiency (%) |
| ηth | Thermal efficiency (%) |
| λ | Thermal conductivity (W/m K) |
| ρ | Material density (kg/m3) |
| σ | Stefan–Boltzmann constant |
| Scripts | |
| Abs | Absorber |
| f | Fluid |
| g | Glass |
| gr | Ground |
| PV | Photovoltaic |
| PV/T | Photovoltaic/thermal |
| Ted | Tedlar |
References
- Markvart, T. Solar Electricity, 2nd ed.; John Wiley & Sons: Chichester, UK, 2000. [Google Scholar]
- Chandrasekar, M.; Rajkumar, S.; Valavan, D. A review on the thermal regulation techniques for non integrated flat PV modules mounted on building top. Energy Build. 2015, 86, 692–697. [Google Scholar] [CrossRef]
- Makki, A.; Omer, S.; Sabir, H. Advancements in hybrid photovoltaic systems for enhanced solar cells performance. Renew. Sustain. Energy Rev. 2015, 41, 658–684. [Google Scholar] [CrossRef]
- Elminshawy, N.A.S.; Mohamed, A.M.I.; Morad, K.; Elhenawy, Y.; Alrobaian, A.A. Performance of PV panel coupled with geothermal air cooling system subjected to hot climatic. Appl. Therm. Eng. 2019, 148, 1–9. [Google Scholar] [CrossRef]
- Hudisteanu, S.V.; Turcanu, F.E.; Chereches, N.C.; Popovici, C.G.; Verdes, M.; Huditeanu, I. Enhancement of PV Panel Power Production by Passive Cooling Using Heat Sinks with Perforated Fins. Appl. Sci. 2021, 11, 11323. [Google Scholar] [CrossRef]
- Hudisteanu, S.V.; Popovici, C.G.; Mateescu, T.D.; Chereches, N.C. Efficiency analysis of BIPV systems for different locations in Romania. In Sustainable Solutions for Energy and Environment, Proceedings of the EENVIRO, Bucharest, Romania, 26–28 October 2016; Elsevier: Amsterdam, The Netherlands, 2017; Volume 112, pp. 404–411. [Google Scholar]
- Siecker, J.; Kusakana, K.; Numbi, B.P. Optimal switching control of PV/T systems with energy storage using forced water circulation: Case of South Africa. J. Energy Storage 2018, 20, 264–278. [Google Scholar] [CrossRef]
- Nizetic, S.; Coko, D.; Yadav, A.; Grubisic-Cabo, F. Water spray cooling technique applied on a photovoltaic panel: The performance response. Energy Convers. Manag. 2016, 108, 287–296. [Google Scholar] [CrossRef]
- Hudisteanu, V.S.; Chereches, N.C.; Verdes, M.; Ciocan, V.; Popovici, C.G.; Turcanu, F.E.; Balan, M.C. Analysis of an innovative water-cooling solution for photovoltaic-thermal systems IOP Conference Series: Earth and Environmental Science. IOP Sci. 2021, 664, 1–10. [Google Scholar] [CrossRef]
- Hudișteanu, S.V.; Cherecheş, N.C.; Popovici, C.G.; Verdeș, M.; Ciocan, V.; Balan, M.C.; Țurcanu, F.E.; Scurtu, I.C. Effect of cooling on power generated by photovoltaic panels IOP Conference Series: Materials Science and Engineering. IOP Sci. 2021, 1141, 1–12. [Google Scholar] [CrossRef]
- Rostami, Z.; Rahimi, M.; Azimi, N. Using high-frequency ultrasound waves and nanofluid for increasing the efficiency and cooling performance of a PV module. Energy Convers. Manag. 2018, 160, 141–149. [Google Scholar] [CrossRef]
- Senthil, R.; Elavarasan, R.M.; Pugazhendhi, R.; Premkumar, M.; Vengadesan, E.; Navakrishnan, S.; Islam, M.R.; Natarajan, S.K. A holistic review on the integration of heat pipes in solar thermal and photovoltaic systems. Sol. Energy 2021, 227, 577–605. [Google Scholar] [CrossRef]
- Chandel, S.S.; Agarwal, T. Review of cooling techniques using phase change materials for enhancing efficiency of photovoltaic power systems. Renew. Sustain. Energy Rev. 2017, 73, 1342–1351. [Google Scholar] [CrossRef]
- Hamzat, A.K.; Sahin, A.Z.; Omisanya, M.I.; Alhems, L.M. Advances in PV and PVT cooling technologies: A review. Sustain. Energy Technol. Assess. 2021, 47, 1–31. [Google Scholar] [CrossRef]
- Bhakre, S.S.; Sawarkar, P.D.; Kalamkar, V.R. Performance evaluation of PV panel surfaces exposed to hydraulic cooling-A review. Sol. Energy 2021, 224, 1193–1209. [Google Scholar] [CrossRef]
- Maleki, A.; Haghighi, A.; Assad, M.E.; Mahariq, I.; Nazari, M.A. A review on the approaches employed for cooling PV cells. Sol. Energy 2020, 209, 170–185. [Google Scholar] [CrossRef]
- Verma, S.; Mohapatra, S.; Chowdhury, S.; Dwivedi, G. Cooling techniques of the PV module: A review. Mater. Today-Proc. 2021, 38, 253–258. [Google Scholar] [CrossRef]
- Reddy, S.R.; Ebadian, M.A.; Lin, C.X. A review of PV-T systems: Thermal management and efficiency with single phase cooling. Int. J. Heat Mass Transf. 2015, 91, 861–871. [Google Scholar] [CrossRef]
- Gomaa, M.R.; Hammad, W.; Al-Dhaifallah, M.; Rezk, H. Performance enhancement of grid-tied PV system through proposed design cooling techniques: An experimental study and comparative analysis. Sol. Energy 2020, 211, 1110–1127. [Google Scholar] [CrossRef]
- Nahar, A.; Hasanuzzaman, M.; Rahim, N.A. Numerical and experimental investigation on the performance of a photovoltaic thermal collector with parallel plate flow channel under different operating conditions in Malaysia. Sol. Energy 2017, 144, 517–528. [Google Scholar] [CrossRef]
- Kazemian, A.; Parcheforosh, A.; Salari, A.; Ma, T. Optimization of a novel photovoltaic thermal module in series with a solar collector using Taguchi based grey relational analysis. Sol. Energy 2021, 215, 492–507. [Google Scholar] [CrossRef]
- Boumaaraf, B.; Boumaaraf, H.; Slimani, M.E.A.; Tchoketch-Kebir, S.; Ait-cheikh, M.S.; Touafek, K. Performance evaluation of a locally modified PV module to a PV/T solar collector under climatic conditions of semi-arid region. Math. Comput. Simul. 2020, 167, 135–154. [Google Scholar] [CrossRef]
- Nahar, A.; Hasanuzzaman, M.; Rahim, N.A.; Parvin, S. Numerical investigation on the effect of different parameters in enhancing heat transfer performance of photovoltaic thermal systems. Renew. Energy 2019, 132, 284–295. [Google Scholar] [CrossRef]
- El Fouas, C.; Hajji, B.; Gagliano, A.; Tina, G.M.; Aneli, S. Numerical model and experimental validation of the electrical and thermal performances of photovoltaic/thermal plant. Energy Convers. Manag. 2020, 220. [Google Scholar] [CrossRef]
- Barbu, M.; Siroux, M.; Darie, G. Numerical model and parametric analysis of a liquid based hybrid photovoltaic thermal (PVT) collector. Energy Rep. 2021. [Google Scholar] [CrossRef]
- Rejeb, O.; Dhaou, H.; Jemni, A. A numerical investigation of a photovoltaic thermal (PV/T) collector. Renew. Energy 2015, 77, 43–50. [Google Scholar] [CrossRef]
- El Fouas, C.; El Manssouri, O.; Hajji, B.; Bouselham, L.; Marco Tina, G.; Gagliano, A. Modeling of Dust Deposition Impact on PV/T Hybrid Collector Performances. In Proceedings of the 7th International Renewable and Sustainable Energy Conference (IRSEC), Agadir, Morocco, 27–30 November 2019; pp. 1–6. [Google Scholar] [CrossRef]
- Bejan, A.; Kraus, A.D. Heat Transfer Handbook; John Wiley & Sons: Hoboken, NJ, USA, 2003. [Google Scholar]
- Incropera, F.P.; DeWitt, D.P. Fundamentals of Heat and Mass Transfer; John Wiley & Sons: Hoboken, NJ, USA, 2002. [Google Scholar]
- El Hocine, H.B.; Touafek, K.; Kerrour, F.; Haloui, H.; Khelifa, A. Model Validation of an Empirical Photovoltaic Thermal (PV/T) Collector. Energy Procedia 2015, 74, 1090–1099. [Google Scholar] [CrossRef] [Green Version]
- Kudish, A.I.; Evseev, E.G.; Walter, G.; Leukefeld, T. Simulation study of a solar collector with a selectively coated polymeric double walled absorber plate. Energy Convers. Manag. 2002, 43, 651–671. [Google Scholar] [CrossRef]
- Rabl, A. Active Solar Collectors and their Applications; Oxford University Press: New York, NY, USA, 1985; p. 503. [Google Scholar]
- Kazemian, A.; Salari, A.; Hakkaki-Fard, A.; Ma, T. Numerical investigation and parametric analysis of a photovoltaic thermal system integrated with phase change material. Appl. Energy 2019, 238, 734–746. [Google Scholar] [CrossRef]
- Kazemian, A.; Salari, A.; Ma, T. A year-round study of a photovoltaic thermal system integrated with phase change material in Shanghai using transient model. Energy Convers. Manag. 2020, 210. [Google Scholar] [CrossRef]
- Salari, A.; Taheri, A.; Farzanehnia, A.; Passandideh-fard, M.; Sardarabadi, M. An updated review of the performance of nanofluid-based photovoltaic thermal systems from energy, exergy, economic, and environmental (4E) approaches. J. Clean. Prod. 2021, 282. [Google Scholar] [CrossRef]
- EU SCIENCE HUB. Available online: https://ec.europa.eu/jrc/en/pvgis (accessed on 15 November 2021).
- El Fouas, C.; Hajji, M.; Bouselham, L.; Hajji, B.; El Mehdi, A.; Bouali, H. Analysis and Design of an Energy System Based on PV/T Water Collector for Building Application. In Proceedings of the 2017 International Renewable and Sustainable Energy Conference (IRSEC), Agadir, Morocco, 4–7 December 2017; pp. 1–5. [Google Scholar] [CrossRef]
- Aguilar-Jimenez, J.A.; Hernandez-Callejo, L.; Alonso-Gomez, V.; Velazquez, N.; Lopez-Zavala, R.; Acuna, A.; Mariano-Hernandez, D. Techno-economic analysis of hybrid PV/T systems under different climate scenarios and energy tariffs. Sol. Energy 2020, 212, 191–202. [Google Scholar] [CrossRef]









| Layers | Equations | |
|---|---|---|
| Glass | (15) | |
| PV cells | (16) | |
| Tedlar | (17) | |
| Absorber 1 | (18) | |
| Absorber 2 | (19) |
| TPV (°C) | Tout(°C) | Ee (W) | Eth (W) | |||
|---|---|---|---|---|---|---|
| PV | 67.7 | - | 258.8 | - | 15.60 | - |
| PV/T | 27.7 | 21.31 | 316.56 | 1334.5 | 19.07 | 80.3 |
Publisher’s Note: MDPI stays neutral with regard to jurisdictional claims in published maps and institutional affiliations. |
© 2022 by the authors. Licensee MDPI, Basel, Switzerland. This article is an open access article distributed under the terms and conditions of the Creative Commons Attribution (CC BY) license (https://creativecommons.org/licenses/by/4.0/).
Share and Cite
El Fouas, C.; Cherecheș, N.C.; Hudișteanu, S.V.; Hajji, B.; Țurcanu, E.F.; Cherecheș, M.L. Numerical and Parametric Analysis for Enhancing Performances of Water Photovoltaic/Thermal System. Appl. Sci. 2022, 12, 646. https://doi.org/10.3390/app12020646
El Fouas C, Cherecheș NC, Hudișteanu SV, Hajji B, Țurcanu EF, Cherecheș ML. Numerical and Parametric Analysis for Enhancing Performances of Water Photovoltaic/Thermal System. Applied Sciences. 2022; 12(2):646. https://doi.org/10.3390/app12020646
Chicago/Turabian StyleEl Fouas, Chaimae, Nelu Cristian Cherecheș, Sebastian Valeriu Hudișteanu, Bekkay Hajji, Emilian Florin Țurcanu, and Monica Lilioara Cherecheș. 2022. "Numerical and Parametric Analysis for Enhancing Performances of Water Photovoltaic/Thermal System" Applied Sciences 12, no. 2: 646. https://doi.org/10.3390/app12020646
APA StyleEl Fouas, C., Cherecheș, N. C., Hudișteanu, S. V., Hajji, B., Țurcanu, E. F., & Cherecheș, M. L. (2022). Numerical and Parametric Analysis for Enhancing Performances of Water Photovoltaic/Thermal System. Applied Sciences, 12(2), 646. https://doi.org/10.3390/app12020646

