Featured Application
The identified features of the flow for different cases are necessary for predicting the parameters of micro hydraulic turbines and developing recommendations for expanding the range of regulation of turbine operating cases while maintaining high operating efficiency.
Abstract
This article is devoted to detailed experimental studies of the flow behind the impeller of an air model of a propeller-type microhydroturbine in a wide range of operating parameters. The measurements of two component distributions of averaged velocities and pulsations for conditions from part load to strong overload are conducted. It is shown that the flow at the impeller outlet becomes swirled when the hydraulic turbine operating mode shifts from the optimum one. The character of the behavior of the integral swirl number, which determines the state of the swirled flow, is revealed. Information about the flow peculiarities can be used when adjusting the hydraulic unit mode to optimal conditions and developing recommendations to expand the hydraulic turbine operation control range with preservation of high efficiency. This stage will significantly save time at the stage of equipment design for specific field conditions of water resource.
1. Introduction
Hydropower, being the oldest area of renewable energy, currently provides a significant contribution to world electric energy generation [1]. The basis of this production is large-scale hydropower plants (HPP), which are built on large rivers and require heavy capital expenditures on the creation of dams. Further broadening of hydropower is limited on the one hand because suitable water resources for the creation of large-scale hydropower systems are already fully exploited in many countries [2]. On the other hand, the construction of new big HPP in places where such resources exist is hampered by economic reasons or safety concerns [3]. At that time, it is recommenced the attention to utilization of the hydropower potential of natural water sources in the form of small rivers and streams [4], as well as technical systems of irrigation and water supply [5]. According to the classification of hydro turbines used in the literature, the class of microhydrotubines (MHT) include devices less than 100 kW, which are considered often as an off-grid technology for the electricity generation [6,7]. Development of MHT systems addresses the current global concerns on climate change demanding decarbonization of the energy generation sector and increasing use of renewable energy sources [8,9,10,11,12]. Micro hydropower has been considered as a reliable electricity generation technology for remote communities [11,13], living where extension of centralized power distribution networks is very expensive.
Different hydro turbine types are employed nowadays depending on parameter range of available water resources in terms of head and flowrate [1,11]. As moving towards micro hydropower applications requires reducing the scale of a power generation unit, it is important to keep low cost per kilowatts. This is becoming especially critical for pico hydroturbines with a capacity of below 5 kW for remote small communities [9,11,13]. In this regard, particular attention has been given to propeller-type axial hydraulic turbines [9,10,14,15,16]. They feature a simple arrangement, moderate manufacturing costs, and high specific speed (high runner rotation speed). The high specific speed permits application of cheap power generators having common shaft with the impeller [17], i.e., avoiding use of additional transmitting gears.
The necessity of MHT price reduction requires turbines with fixed blades since mechanisms for adjusting the guide and impeller vanes might be expensive and complicated [18]. It should be noted that propeller hydraulic turbines with fixed blade angles have a narrow range of efficient operation [11]. The use of power sources with a stable frequency of the output voltage at a variable turbine speed requires significant power electronics. The cheaper alternative is to manually adjust turbine operation to the available conditions of head and flow rate.
The practical use of axial hydraulic units is associated also with reducing the flow passage size which increases the risk of clogging of blade elements with various debris often present in natural water bodies [10,19]. This can lead to off-design turbine operation due to a change in flow rate with decreasing flow area or due to a deceleration of the runner by foreign object impact.
The situation described above regarding propeller type MHTs that have favorable and disadvantageous features holds for all hydroturbine types. Therefore, a detailed analysis is required of different structural and regime conditions for the proper choice of the most efficient and reliable MHT technology. As for the equipment to be applied in large HPP, numerical simulation methods and model tests are employed at the hydroturbine design stage [20] with particular close attention paid to internal flow structure which determines the hydroturbine operation regime [21]. It should be noted that despite tremendous progress and vast possibilities of numerical tools, experimental data is still needed for verification of calculation results.
In that context, the current work presents an experimental modeling approach, which is based on using air as working medium and 3D printing for fabrication of model turbine elements. It is believed that this approach can provide the means for a rapid and inexpensive survey of detailed flow distributions in test section, characterizing the device operation mode. The obtained data can be used directly for optimization of the hydroturbine design or for a mathematical model verification.
In the following Section 2, the research methods used in the work are described. Then, Section 3 presents the results of experiments on flow characteristics downstream of a propeller-type MHT model. The operating regimes change from part load to overload conditions. The studied range is achieved by varying the volume flow rate, Q, while the turbine shaft speed, ωn, remains constant. Emphasis is placed on the features of the flow structure, including the generation of coherent vortex structures and their evolution along the length of the test section. It should be noted that for large hydraulic turbines, most research has focused on underload modes [22], which are most common in practice, and much less attention has been paid to overload modes [23].
2. Research Methods
The experiments were carried out employing an automated experimental setup with air used as a working medium. This significantly reduced the difficulties in manufacturing experimental sections (problems with sealing joints, structural strength, and providing optical access) [24]. As shown in the technical reports [25,26] from the USBR group in the USA and in the USSR energy community handbook [27], results obtained with air and water test sections showed satisfactory correlation. The investigation of most of the hydrodynamic phenomena can be transferred from water to air [28]. This simplifies the experimental procedure significantly because no cavitation occurs in the flow. Nevertheless, we only suggest a concept of the experimental finding of optimal operation of the microturbine, which should be tested on water as well. Air is supplied to the model using a blower fan. An expansion section, a settling chamber with damping screens, and a contraction produce uniform flow at the inlet to the test section. The air flow rate is changed by means of a frequency converter connected to the fan motor. The flow rate is determined by measuring the velocity at the outlet of the contraction, i.e., in front of the test section.
A model of propeller-type turbine (Figure 1) was chosen as a prototype of microhydroturbine device [17,29]. The flow enters the working section through the inlet opening and passes through the first stationary vane swirler (guide vane). It is followed by a rotating swirler—an impeller with a streamlined body attached to it. The rotating swirler is driven by a shaft connected to an external servo drive. The shape of the vane swirlers and the order of their arrangement allows to simulate the velocity distribution at the outlet of a real hydraulic turbine [30]. The propeller turbine has high specific speed among other types of turbines. This allows high rotational speeds of the runner at low flow rates. High turbine speeds result in faster and therefore lighter and cheaper power generators. The high specific speed makes it possible to connect the turbine directly to the generator. All parts of the model section were manufactured using rapid prototyping technology. The diameter of the inlet part of the cone is D = 100 mm, the outlet part is1.2D. The cone length is H = 280 mm, the cone angle is 4°.

Figure 1.
Air model of a micro hydraulic turbine: (a) Diagram of the experiment system; (b) Detailed diagram. 1—inlet pipe, 2—shaft, 3—servo drive, 4—guide vane (stationary swirler), 5—runner (rotating swirler), 6—streamline body, 7—conical draft tube, 8—nozzle, 9—wind tunnel.
In experiments, the Reynolds number Re = 4DQ/πν(D2 − d2) ranged from 3 × 104 to 9 × 104 (ν is the kinematic viscosity of air), which corresponds to the range of air flow rate Q from 0.02 to 0.08 m3/s, therefore, the flow was turbulent. It is supposed that the flow characteristics are unchanged when the impeller speed changes proportionally to the flow rate. The runner speed was maintained at a constant ωn = 238 rad/s. Determining the shape of the swirlers was carried out according to the method described in [30]. This computation showed that the value of ωn for a flow rate Qn = 0.049 m3/s corresponds to the point with maximum efficiency (Best Efficiency Point, BEP). The studied range of micro hydraulic turbine operation was in the range from part load (0.6Qn) to high overload (1.8Qn).
For the operation of a micro hydraulic turbine of this scale in water at the design flow rate Qn and a pressure head Hn = 2–3 m water column, the available power in the flow is Ptot = QnHn~1.1–1.4 kW and the power developed by the turbine at a typical 70% efficiency is Pturb~0.8–1 kW [11,16]. The design point with maximal efficiency is maintained when the velocity triangles before and after the runner are similar (ω/Q is constant). When the operating point moves along the line of constant running speed (off-design conditions), the turbine efficiency decreases. The measured velocity fields for different modes help us to understand the degree of variation in efficiency, and these velocity fields will allow the formulation of recommendations for increasing the range of efficient micro hydraulic turbine operation.
The averaged flow velocity distributions were obtained using a LAD-06I laser Doppler anemometer. Paraffin oil aerosol particles produced by a Laskin atomizer were used as tracer particles for flow seeding, which made it possible to obtain droplets with a characteristic size of 1–3 µm [22]. Part of the cone wall was replaced by a transparent film to allow the laser beams to pass into the cone. Position control of the LDA system in three axes was implemented. This provided an automated experiment to obtain an extensive amount of flow velocity data. The main errors are related to inaccuracy of flow rate setting, servo drive speed and measuring accuracy of LAD-06I system. The flow rate was controlled by IRVIS-RS4M-ULTRA flow meter with accuracy of flow measurement 1.5% (data from the instrument manual). The accuracy of setting the servo drive speed was 0.5% (data from the device manual). The LDA system measured the velocity of a single particle with an error of 0.2%. In order to measure the velocity in steady-state modes at a particular point of space, statistics of reliable flashes of at least 10,000 per point were accumulated. This allowed the flow rate at a given point to be determined with 99.7% certainty because each velocity component at each individual point in space was averaged over at least 3000 credible bursts. The LDA system was tuned so that the signal received from the flashes was close to Gaussian, with the RMS of the velocity for both components not exceeding 2–3 m/s. Based on an uncertainty analysis [31] in the present experiment, the total errors in the velocity measurements and their pulsations can be estimated as no more than 5% and 2%, respectively. Using linear interpolation with the minimum interval time given by the average data rate, the signal with a random tracer arrival time was converted into an equidistant signal in the time array. The spectrum was then calculated using fast Fourier transform. The maximum error for the measured fundamental frequency in the LDA spectra did not exceed 0.05 Hz.
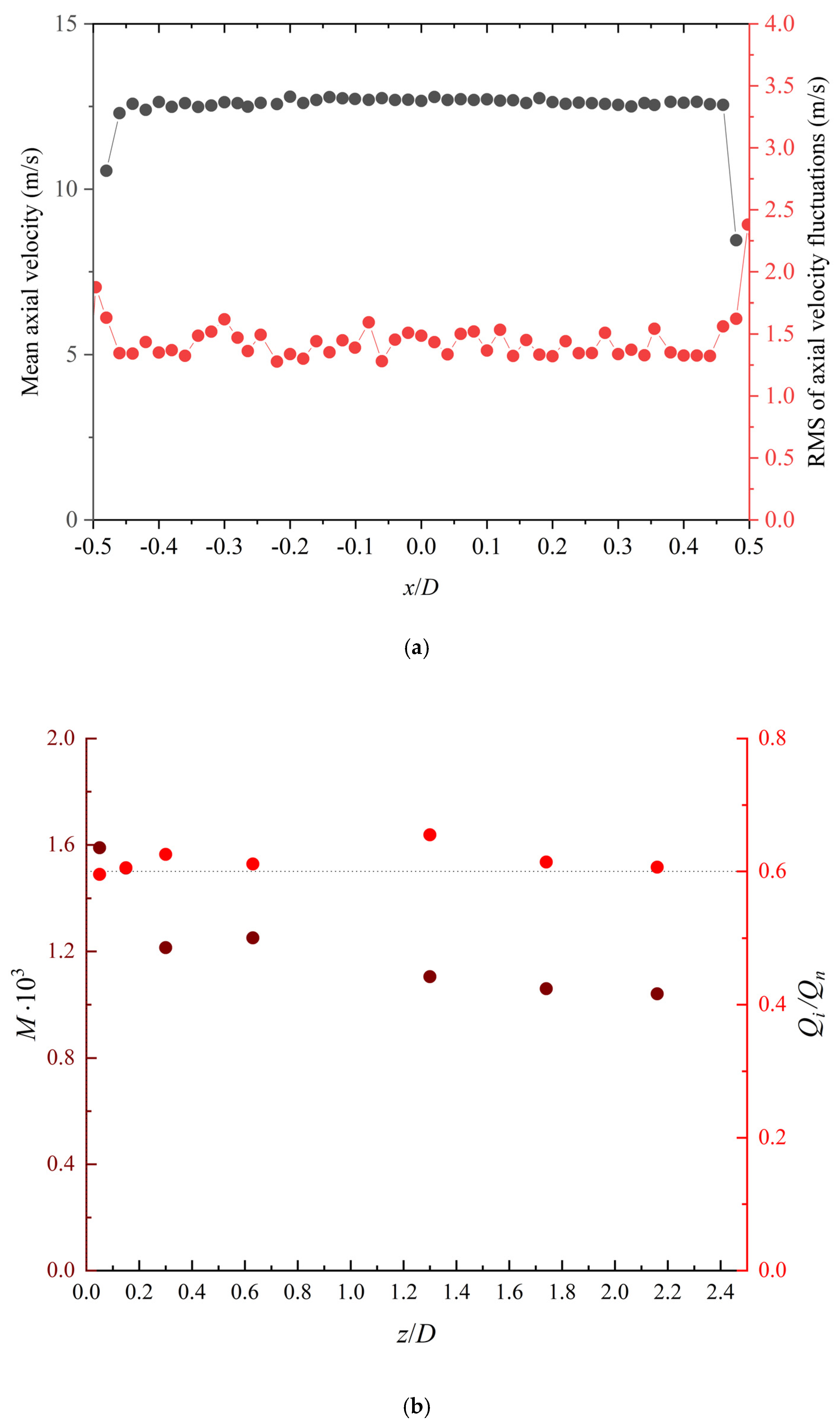
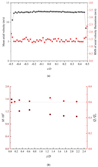
The flow ahead of the stationary swirler is shown in Figure 2. Away from the walls, the mean velocity distribution upstream of the bend shows good uniformity with a turbulence level of around 10–12%.
Figure 2.
Experimental conditions: (a) Axial velocity profile (left axis—mean; right axis—RMS of velocity fluctuations) measured by LDA upstream of the bend and (b) M (left axis) and Qi/Qn (right axis) conservation as function of z/D.
When the operating regime is shifted from the BEP, the flow behind the runner becomes swirling. The degree of swirl is described by the swirl number S which is defined as the ratio of the axial flux of the angular momentum M to the product of the axial flux of the axial momentum K and the characteristic flow radius R [32]:
The moment M and K in Equation (1) can be determined from the measured velocity distributions:
where U is the axial component and W is the tangential component, the integration is performed at downstream position z, from the flow axis to the wall.
An interesting approach is to calculate the swirl number based on the swirler geometry [33]. If the impeller rotation speed is constant, the swirl number can be calculated according to the one-dimensional model presented in [34]:
where Q0 is flow rate corresponding to zero swirl number. For a certain runner speed, the flow rate Q0 can be determined empirically.
Equation (3) shows that S is inversely proportional to the flow rate. When the flow rate exceeds Q0, S changes sign. Physically, this corresponds to a change in the swirl direction of the flow. If the velocity triangles at the runner inlet and outlet are similar, the flow rate Q0 changes in proportion to the runner speed. Based on this, it is possible to determine the swirl number versus flow rate curve for different runner speeds.
To check conservation of mass and angular momentum behind the turbine integrated flow rate, angular momentum M were calculated from the measured velocity profiles for regime 0.6Qn. The integration is performed in the sections z/D = 0.05–2.16 from the flow axis to the wall of the channel. It can be seen in Figure 2b that Qi has a near constant value and M slightly decreases due to the swirl dissipation. This effect, apparently, due to high tangential velocity near the walls, leads to high circumferential wall shear stress which is the only way angular momentum can be reduced. However, it is difficult to reliably verify this hypothesis, since a small number of reliable LDA bursts were recorded near the walls, therefore, the error in determining the velocity near the walls increases.
3. Results and Discussion
The measured velocity distributions in the conical section and their downstream evolution are presented in Figure 3, Figure 4, Figure 5, Figure 6, Figure 7 and Figure 8. Profiles of the averaged velocities and fluctuations for the part load regime are shown in Figure 3 and Figure 4.
Figure 3.
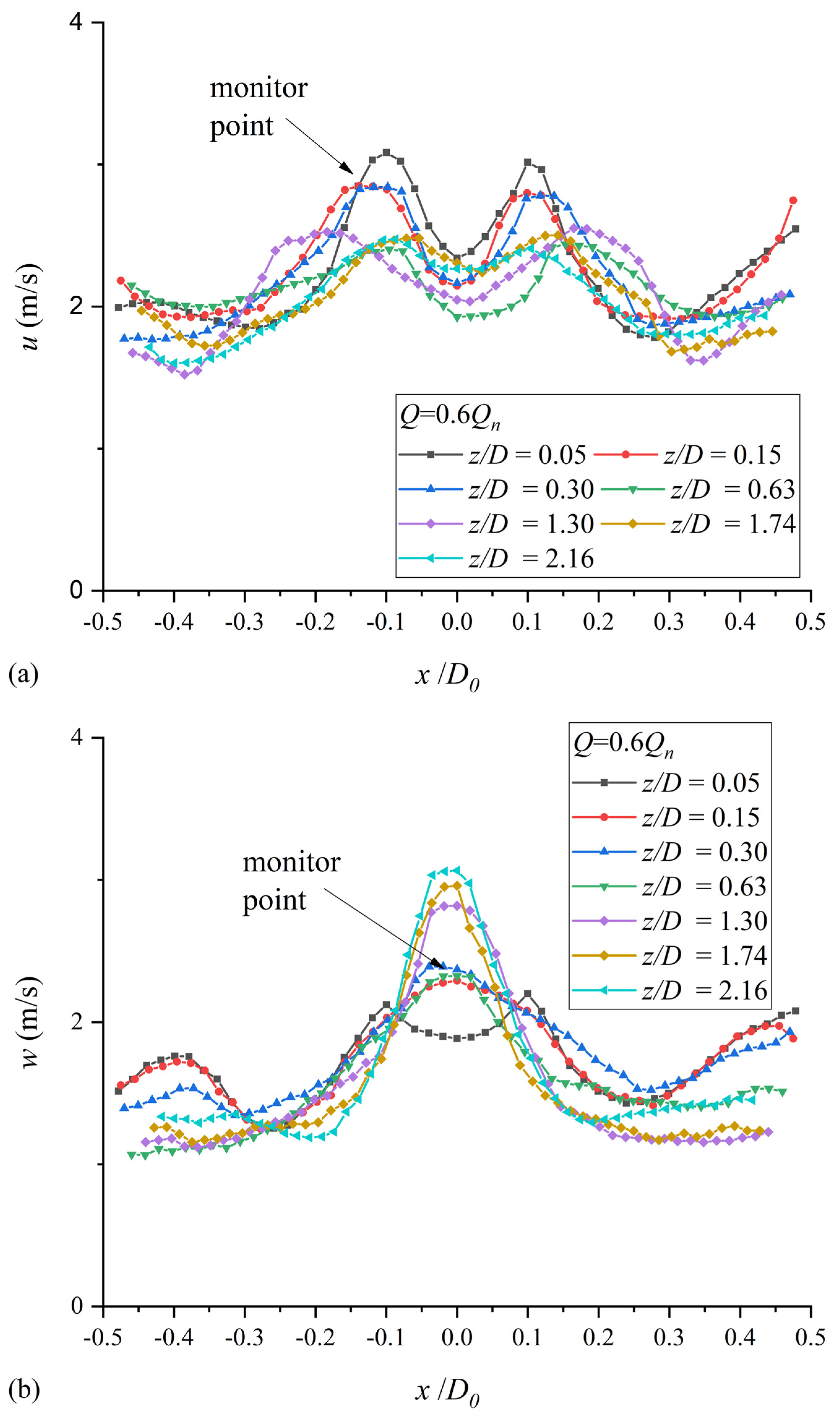
Time-averaged velocity profiles at different distances from the runner at a constant runner speed ωn: (a) Axial component; (b) Tangential component. Part load regime with Q = 0.6Qn. The legend indicates the distances of the measuring section from the tip of the runner cowl. In the section z/D = 1.30 the swirl number is S = 0.6.
Figure 4.
Profiles of the RMS velocity component at different distances from the runner at a constant runner speed ωn: (a) Axial component; (b) Tangential component. Part load regime with Q = 0.6Qn.
Figure 5.
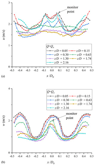
Time-averaged velocity profiles at different distances from the runner at a constant runner speed ωn: (a) Axial component; (b) Tangential component. Operating regime with Q = Qn. At z/D = 1.30, S = 0.1.
Figure 6.
Profiles of the RMS velocity component fluctuations at different distances from the runner at a constant runner speed ωn: (a) Axial component; (b) Tangential component. Operating regime with Q = Qn.

Figure 7.
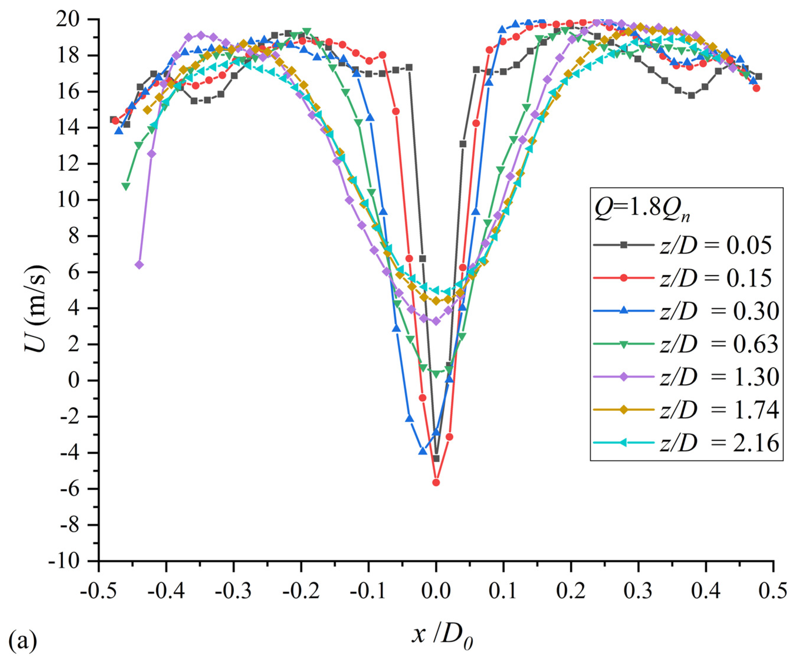
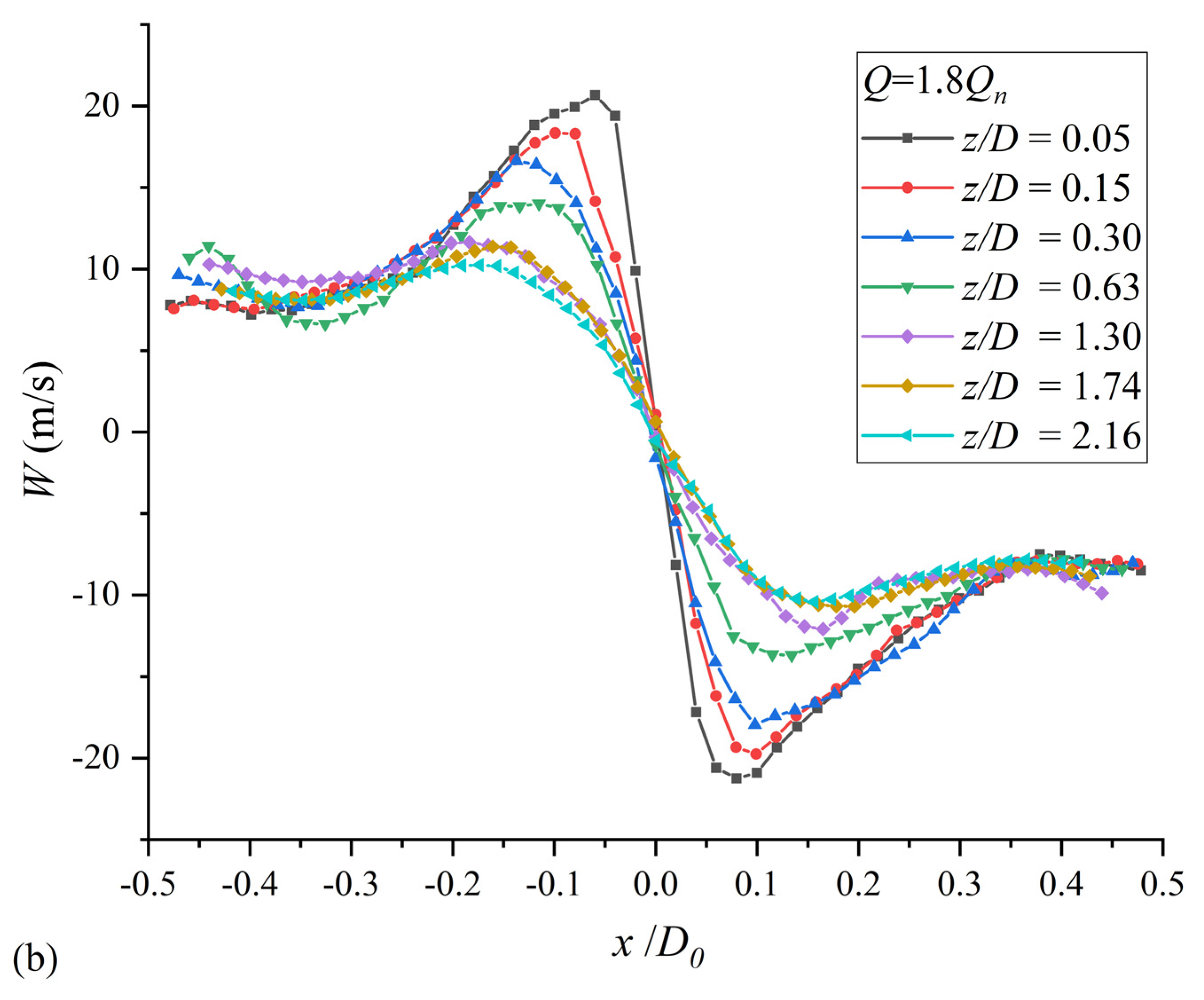
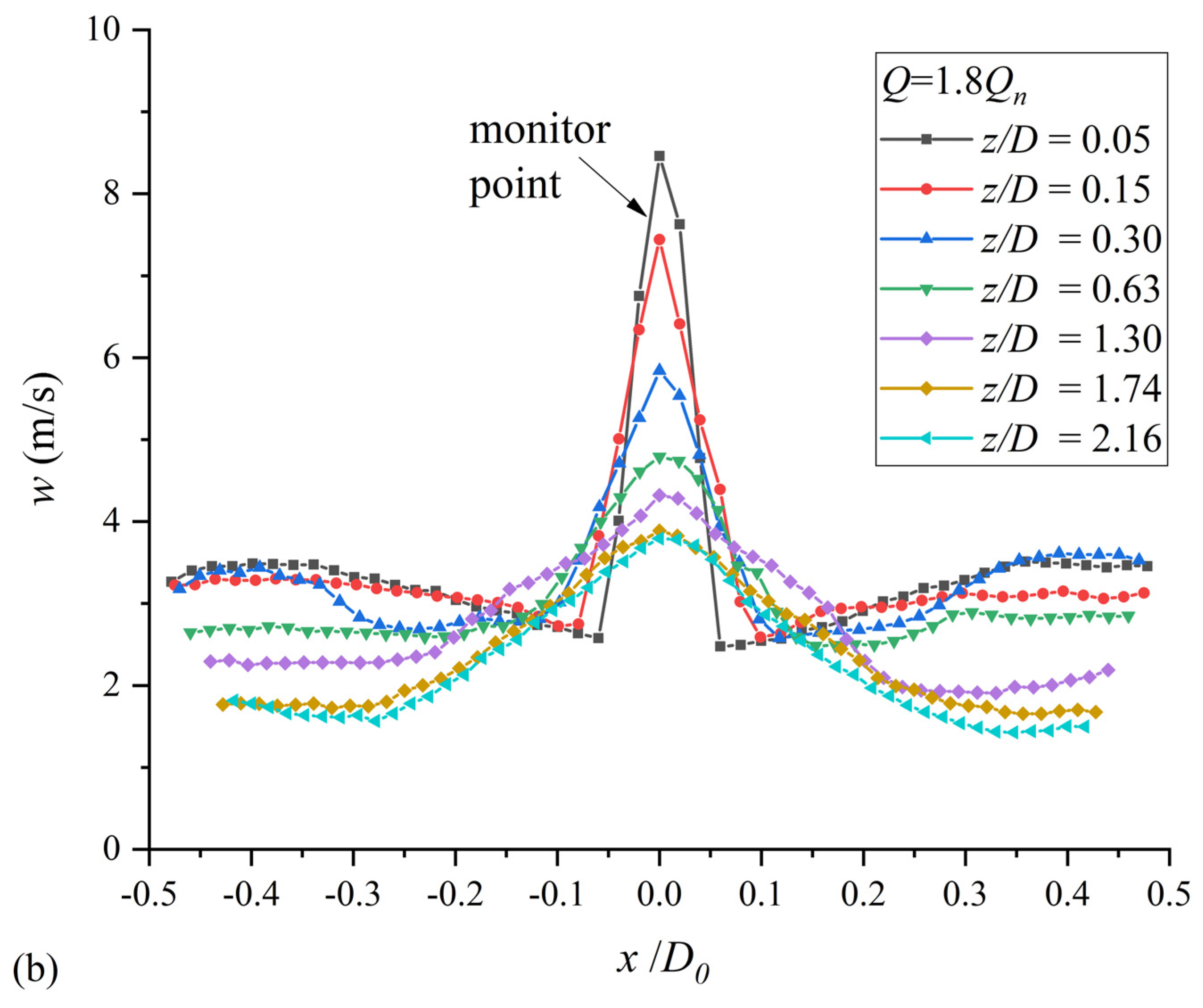
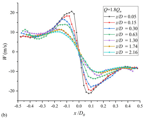
Time-averaged velocity profiles at different distances from the runner at a constant runner speed ωn: (a) Axial component; (b) Tangential component. Overload operating regime with Q = 1.8Qn. At z/D = 1.30, S = –0.35.

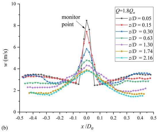
Figure 8.
Profiles of the RMS velocity component fluctuations at different distances from the runner at a constant runner speed ωn: (a) Axial component; (b) Tangential component. Overload operating regime with Q = 1.8Qn.
This case is characterized by high tangential velocity, which coincides in direction with the rotation of the runner (Figure 3b). Due to intense swirling, the flow is shifted to the side walls of the conical channel with a corresponding reduction of the velocity along the axis, and axial reverse flow occurs. The most intense reverse flow is observed in the immediate vicinity of the runner cowl, where it is further enhanced by the formation of a wake behind the cowl. Further downstream, the reverse flow decreases and practically disappears in cross-sections distant from the runner, where the axial velocity profile becomes much smoother. In this case, the swirl decays downstream, which is reflected in a decrease in the tangential velocity (Figure 3b). At small z, the swirling of the flow by the runner cowl near the axis leads to a pronounced peak of the tangential velocity, which flattens out downstream and shifts toward the side wall. At larger z, the tangential velocity profiles assume a smooth shape with the tangential velocity increasing monotonically from the center to the side wall.
The swirling flow structure with a central recirculation zone that occurs in the part load regime usually leads to flow instability in the form of a precessing vortex core (PVC) [35,36]. The PVC generates increased flow pulsations, as can be seen from the distributions of Root Mean Square (RMS) fluctuations of the axial and tangential velocity components (Figure 4). It is evident that the peaks of the RMS axial velocity are located at the boundary of the reverse flow zone which is always close to the point of maximum radial gradient of the axial velocity (Figure 4a), whereas the peaks of the RMS tangential velocity profiles are near the center (Figure 4b); this unambiguously indicates the precessional motion of the vortex core [22]. It should be noted that RMS distributions contain not only the stochastic turbulence fluctuations, but also the coherent pulsations due to the PVC motion, which may produce the major contribution to the RMS. It will be shown later that the tangential velocity spectra at the monitor point labeled in the figure have a distinct peak at the same frequency of 14.5 Hz, which corresponds to the precession frequency of the coherent vortex structure fPVC.
Increasing the flow rate to the level Q = Qn corresponding to the design case close to the BEP leads to a more uniform distribution of the axial velocity along the cross-section (Figure 5a). The central dip due to the wake behind the cowl is quite pronounced at small z, but is rapidly filled downstream. The swirl level decreases significantly, although the tangential velocity remains nonzero and coincides in direction with the rotation of the runner at all cross-sections (Figure 5b). As in the previous case, there is a region of higher swirl close to the turbine formed by the rotation of the cowl. This localized region is completely smoothed only after z/D = 0.30. In the design case, the velocity fluctuations are generally significantly reduced. The RMS distributions of the axial component become uniform in both the radial and axial directions (Figure 6a). The corresponding profiles of the tangential component still have pronounced central peaks (Figure 6b), but, in contrast to the case of underload, their maxima occur immediately behind the runner cowl and then gradually decreases toward the cone outlet. These peaks indicate a small-amplitude precession of the localized swirl region formed due to the rotation of the cowl.
When the flow rate increases above the design value, overload occurs (Figure 7). The swirl changes sign and the magnitude of the tangential velocity increases (Figure 7b), although S remains significantly lower in magnitude than in the underload case. As a result, the formation of a central dip in the axial velocity profiles is observed only at large z (Figure 7a). At small z, a central peak occurs along the flow axis. In this flow structure, vorticity is localized near the flow axis, as evidenced by the proximity of the tangential velocity peaks to the flow axis. The tangential velocity peaks decrease in height and shift somewhat toward the side wall at large z, but a sharp expansion of the vortex flow, as in the case of the underload case, does not occur. This indicates flow stabilization with formation of a vortex localized predominantly in the center. This vortex structure is in low-amplitude precessional motion, which is manifested in localized central peaks in the distributions of fluctuations of the tangential velocity component (Figure 8b). Narrow central peaks also appear in the RMS profiles of axial velocity fluctuations near the turbine (Figure 8a). With the exception of these central peaks, the RMS levels of both velocity components are relatively low and evenly distributed over the flow cross-section.
To characterize the frequency response of the flow for Q = 0.6, 1 and 1.8Qn, Figure 9 shows power spectra of axial and tangential component of the time-dependent velocities at the monitor points where they are dominated by vortex pulsations. Independent evidence of attribution of these peaks to the PVC frequency was provided in previous work through cross-checking measurements by LDA and acoustic probes [10]. It can be noticed in Figure 9 that for Q = 0.6Qn, the PVC frequency is clearly indicated, while for regimes Q = Qn and 1.8Qn, only peaks corresponding to the runner frequency have been observed. It can be assumed that the runner frequency is not observed for Q = 0.6Qn due to the strong impact of PVC on velocity fluctuations. In other words, the frequency of runner is hidden by the magnitude of the pulsations. In cases with flow rates Qn and 1.8Qn, velocity fluctuations increase proportional to the increase in Re, and the influence of runner rotation becomes more visible in the spectra.
Figure 9.
LDA spectra of the velocity pulsations of tangential (left) and axial (right) components at monitor points for: Q = 0.6Qn (a,b); Q = 1.0Qn (c,d), and Q = 1.8Qn (e,f).
The experimental data on swirl number S obtained using Equation (2) for the velocity distributions at z/D = 1.30 and the analytical dependence on the Equation (3) show similar evolution with a steep variation at reduced flow rate and a slower change at overload flow rates (Figure 10). As can be seen from Figure 10, the flow rate for S = 0 has a slightly higher value (1.1Qn) than the flow rate Qn obtained when calculating the geometric shape of the swirler [30]. The presence of a small swirl in the optimum operating regime is set specifically for a better flow around the impeller vanes. As a result, at underload regimes with flow rate Q < 0.7Qn, S reaches a threshold level of 0.5 when the vortex undergoes breakdown with establishing a central recirculation region and flow shift toward the draft tube walls [22]. In contrast, at overload regimes, the swirl number is less than 0.4 even for largest flow rates studied. Consequently, the swirl parameter does not reach a critical level and the flow does not reach the breakdown state. As a result, the axial velocity distributions have a flat shape. Thus, the observed features of the flow behavior in the underload and overload cases can be related to the swirl number evolution.
Figure 10.
Flow swirl number: comparison of experimental data, Formula (2), and the calculation based on the analytical dependence (3) at z/D = 1.30.
4. Conclusions
The current work presents an example of implementation of a novel experimental modeling approach for a micro hydraulic turbine. Use is made of atmospheric air as the working medium and 3D printing for precise and rapid fabrication of test section elements. By this means, the detailed structure of the flow passing through the model propeller-type micro hydraulic turbine has been surveyed for the operating conditions covering range from part load to overload. The experimental data acquired with the aid of nonintrusive optical technique on the basis of computerized LDA include the fields of the time-mean and fluctuating velocity components and spectra. Emphasis was placed on the development of the flow in the axial direction. The data show that when the operating regimes changes from design to off-design, the flow contains a significant amount of swirl. In the underload case that was studied, the flow swirl level exceeds the critical level when the vortex breakdown starts with subsequent formation of a central recirculation region and higher flow near the draft tube walls. This flow structure gives rise to hydrodynamic instability in the form of a precessing vortex core. The PVC effect clearly shows up as a pronounced central maximum in the distributions of the tangential velocity RMS. The presence of the PVC is also clearly seen in the spectra of tangential velocity pulsations containing a discrete frequency that coincides with the PVC precession frequency.
In contrast, in overload cases, the generation of a centrally located vortex with a concentrated vorticity has been observed, as pointed out by the tangential velocity maxima approaching to the channel axis. The central vortex remains coherent along the draft tube length and causes velocity pulsations that can be seen as the central maxima in profiles of the tangential velocity RMS.
In order to quantify the extent of the regime shift away from the design point and analyze the subsequent flow rearrangement, it has been proposed an application of a physical parameter, swirl number S, relying on integral quantities representing axial and angular momentum fluxes. It has been confirmed that the deviation of the regime from nominal conditions can be interpreted in terms of critical swirl number at which the vortex breakdown occurs. This finding can assist the design of practical micro hydro turbine installations by determining the range of swirl number that does not lead to breakdown.
Author Contributions
Conceptualization, S.S. and D.W.; Formal analysis, E.G. and S.S.; Funding acquisition, D.W.; Investigation, D.S.; Methodology, I.L. and D.W.; Project administration, D.W.; Resources, I.L. and S.S.; Software, I.L. and E.G.; Visualization, D.S.; Writing—original draft, D.S. and I.L.; Writing—review and editing, E.G., S.S. and D.W. All authors have read and agreed to the published version of the manuscript.
Funding
The work including measurements of flow characteristics and data analysis was carried out with the state support of a contract with the Ministry of Education and Science of the Russian Federation (Agreement No. 075-15-2019-1923). The design and installation of the experimental setup was carried out partly within the framework of a state contract with IT SB RAS (Project No. 121031800229-1).
Institutional Review Board Statement
Not applicable.
Informed Consent Statement
Not applicable.
Data Availability Statement
Not applicable.
Conflicts of Interest
The authors declare no conflict of interest.
Abbreviations
| d | diameter of the runner hub, 40 (mm) |
| D, 2R | diameter of the cone, 100 (mm) |
| D0 | diameter of the cross-section in which velocity measurements are made (mm) |
| fPVC | precession frequency of the PVC (Hz) |
| frunner | frequency of the impeller, 37.9 (Hz) |
| H | length of the cone, 280 (mm) |
| K | axial flux of the axial momentum |
| M | axial flux of the angular momentum |
| Q | flow rate (m3/s) |
| Q0 | flow rate corresponding to zero swirl number S |
| Qi | flow rate obtained by integrating the axial velocity along the cone cross-section (m3/s) |
| Qn | flow rate for BEP regime, 0.049 (m3/s) |
| Re | Reynolds number |
| S | swirl number |
| U | axial averaged velocity (m/s) |
| u | root mean square (RMS) of axial velocity fluctuations (m/s) |
| W | tangential averaged velocity (m/s) |
| w | root mean square (RMS) of tangential velocity fluctuations (m/s) |
| x, y, z | Cartesian coordinates |
| ωn | runner speed |
| BEP | Best Efficiency Point |
| LDA | laser-Doppler anemometer |
| MHT | microhydrotubines |
| PVC | precessing vortex core |
| PSD | Power Spectral Density |
References
- Elbatran, A.H.; Yaakob, O.B.; Ahmed, Y.M.; Shabara, H.M. Operation, Performance and Economic Analysis of Low Head Micro-Hydropower Turbines for Rural and Remote Areas: A Review. Renew. Sustain. Energy Rev. 2015, 43, 40–50. [Google Scholar] [CrossRef]
- Manders, T.N.; Höffken, J.I.; van der Vleuten, E.B.A. Small-Scale Hydropower in the Netherlands: Problems and Strategies of System Builders. Renew. Sustain. Energy Rev. 2016, 59, 1493–1503. [Google Scholar] [CrossRef] [Green Version]
- Erinofiardi; Gokhale, P.; Date, A.; Akbarzadeh, A.; Bismantolo, P.; Suryono, A.F.; Mainil, A.K.; Nuramal, A. A Review on Micro Hydropower in Indonesia. Energy Procedia 2017, 110, 316–321. [Google Scholar] [CrossRef]
- Punys, P.; Kvaraciejus, A.; Dumbrauskas, A.; Šilinis, L.; Popa, B. An Assessment of Micro-Hydropower Potential at Historic Watermill, Weir, and Non-Powered Dam Sites in Selected EU Countries. Renew. Energy 2019, 133, 1108–1123. [Google Scholar] [CrossRef]
- Berrada, A.; Bouhssine, Z.; Arechkik, A. Optimisation and Economic Modeling of Micro Hydropower Plant Integrated in Water Distribution System. J. Clean. Prod. 2019, 232, 877–887. [Google Scholar] [CrossRef]
- Haidar, A.M.A.; Senan, M.F.M.; Noman, A.; Radman, T. Utilization of Pico Hydro Generation in Domestic and Commercial Loads. Renew. Sustain. Energy Rev. 2012, 16, 518–524. [Google Scholar] [CrossRef]
- Butchers, J.; Williamson, S.; Booker, J.; Tran, A.; Karki, P.B.; Gautam, B. Understanding Sustainable Operation of Micro-Hydropower: A Field Study in Nepal. Energy Sustain. Dev. 2020, 57, 12–21. [Google Scholar] [CrossRef]
- Jawahar, C.P.; Michael, P.A. A Review on Turbines for Micro Hydro Power Plant. Renew. Sustain. Energy Rev. 2017, 72, 882–887. [Google Scholar] [CrossRef]
- Hoghooghi, H.; Durali, M.; Kashef, A. A New Low-Cost Swirler for Axial Micro Hydro Turbines of Low Head Potential. Renew. Energy 2018, 128, 375–390. [Google Scholar] [CrossRef]
- Druzhinin, A.A.; Orlova, E.S.; Volkov, A.V.; Parygin, A.G.; Naumov, A.V.; Ryzhenkov, A.V.; Vikhlyantsev, A.A.; Šoukal, J.; Sedlař, M.; Komárek, M.; et al. Enhancing the Efficiency of Small-Scale and Microhydroturbines Using Nature-Imitation Technologies for the Development of Autonomous Energy Sources. Therm. Eng. 2019, 66, 944–952. [Google Scholar] [CrossRef]
- Williamson, S.J.; Stark, B.H.; Booker, J.D. Low Head Pico Hydro Turbine Selection Using a Multi-Criteria Analysis. Renew. Energy 2014, 61, 43–50. [Google Scholar] [CrossRef]
- IEA. World Energy Outlook 2017; IEA: Paris, France, 2017. [Google Scholar]
- Lahimer, A.A.; Alghoul, M.A.; Sopian, K.; Amin, N.; Asim, N.; Fadhel, M.I. Research and Development Aspects of Pico-Hydro Power. Renew. Sustain. Energy Rev. 2012, 16, 5861–5878. [Google Scholar] [CrossRef]
- Qian, Z.; Wang, F.; Guo, Z.; Lu, J. Performance Evaluation of an Axial-Flow Pump with Adjustable Guide Vanes in Turbine Mode. Renew. Energy 2016, 99, 1146–1152. [Google Scholar] [CrossRef]
- Shtork, S.I.; Suslov, D.A.; Litvinov, I.V.; Gorelikov, E.Y. Analysis of the Flow Structure in the Model of a Microhydraulic Turbine. J. Appl. Mech. Tech. Phys. 2020, 61, 807–813. [Google Scholar] [CrossRef]
- Nishi, Y.; Kobayashi, Y.; Inagaki, T.; Kikuchi, N. The Design Method of Axial Flow Runners Focusing on Axial Flow Velocity Uniformization and Its Application to an Ultra-Small Axial Flow Hydraulic Turbine. Int. J. Rotating Mach. 2016, 2016, 5390360. [Google Scholar] [CrossRef]
- Kaunda, C.S.; Kimambo, C.Z.; Nielsen, T.K. A Technical Discussion on Microhydropower Technology and Its Turbines. Renew. Sustain. Energy Rev. 2014, 35, 445–459. [Google Scholar] [CrossRef]
- Chen, J.; Engeda, A. Design and Development of an Ultra Low Head Axial Hydro Turbine for Electricity Supply: Part II. In Fluid Machinery; Erosion, Slurry, Sedimentation; Experimental, Multiscale, and Numerical Methods for Multiphase Flows; Gas-Liquid, Gas-Solid, and Liquid-Solid Flows; Performance of Multiphase Flow Systems; Micro/Nano-Fluidics, Proceedings of the Fluids Engineering Division Summer Meeting, Montreal, QC, Canada, 15 July 2018; American Society of Mechanical Engineers: New York, NY, USA, 2018; Volume 3, p. V003T12A002. [Google Scholar]
- Nishi, Y.; Kobori, T.; Kobayashi, Y.; Inagaki, T.; Kikuchi, N. Study on Foreign Body Passage in an Ultra-Small Axial Flow Hydraulic Turbine. IJFMS 2020, 13, 68–78. [Google Scholar] [CrossRef]
- Trivedi, C.; Dahlhaug, O.G. A Comprehensive Review of Verification and Validation Techniques Applied to Hydraulic Turbines. Int. J. Fluid Mach. Syst. 2019, 12, 345–367. [Google Scholar] [CrossRef]
- Minakov, A.V.; Platonov, D.V.; Litvinov, I.V.; Shtork, S.I.; Hanjalić, K. Vortex Ropes in Draft Tube of a Laboratory Kaplan Hydroturbine at Low Load: An Experimental and LES Scrutiny of RANS and DES Computational Models. J. Hydraul. Res. 2017, 55, 668–685. [Google Scholar] [CrossRef] [Green Version]
- Litvinov, I.; Shtork, S.; Gorelikov, E.; Mitryakov, A.; Hanjalic, K. Unsteady Regimes and Pressure Pulsations in Draft Tube of a Model Hydro Turbine in a Range of Off-Design Conditions. Exp. Therm. Fluid Sci. 2018, 91, 410–422. [Google Scholar] [CrossRef]
- Goyal, R. Vortex Core Formation in a Francis Turbine during Transient Operation from Best Efficiency Point to High Load. Phys. Fluids 2020, 32, 074109. [Google Scholar] [CrossRef]
- Litvinov, I.; Suslov, D.; Gorelikov, E.; Shtork, S. Experimental Study of Transient Flow Regimes in a Model Hydroturbine Draft Tube. Energies 2021, 14, 1240. [Google Scholar] [CrossRef]
- Falvey, H.T. Draft Tube Surges; US Bureau of Reclamation Report, REC-ERC-71-42; Bureau of Reclamation: Washington, DC, USA, 1971.
- Palde, U.J. Influence of Draft Tube Shape on Surging Characteristics of Reaction Turbines; Hydraulics Branch, Division of General Research, Engineering and Research Center, US Department of the Interior, Bureau of Reclamation: Washington, DC, USA, 1972.
- Povh, I.L. Aerodynamic Experiment in Machinery, 3rd ed.; Mashinostroenie: Leningrad, Russia, 1974; 479p. [Google Scholar]
- Nishi, M.; Yoshida, K.; Yano, M.; Okamoto, M.; Miyagawa, K.; Liu, S. A Preliminary Study on the Swirling Flow in a Conical Diffuser with Jet Issued at the Center of the Inlet. In Proceedings of the 2nd IAHR International Meeting of the Workgroup on Cavitation and Dynamic Problems in Hydraulic Machinery and Systems, Timisoara, Romania, 24–26 October 2007. [Google Scholar]
- Yassi, Y.; Hashemloo, S. Improvement of the Efficiency of the Agnew Micro Hydro Turbine at Part Loads Due to Installing Guide Vanes Mechanism. Energy Convers. Manag. 2010, 51, 1970–1975. [Google Scholar] [CrossRef]
- Sonin, V.; Ustimenko, A.; Kuibin, P.; Litvinov, I.; Shtork, S. Study of the Velocity Distribution Influence upon the Pressure Pulsations in Draft Tube Model of Hydro-Turbine. IOP Conf. Ser. Earth Environ. Sci. 2016, 49, 082020. [Google Scholar] [CrossRef]
- Yanta, W.; Smith, R. Measurements of Turbulence-Transport Properties with a Laser Doppler Velocimeter. In Proceedings of the 11th Aerospace Sciences Meeting, Washington, DC, USA, 10 January 1973; American Institute of Aeronautics and Astronautics: Washington, DC, USA, 1973. [Google Scholar]
- Skripkin, S.; Tsoy, M.; Kuibin, P.; Shtork, S. Swirling Flow in a Hydraulic Turbine Discharge Cone at Different Speeds and Discharge Conditions. Exp. Therm. Fluid Sci. 2019, 100, 349–359. [Google Scholar] [CrossRef]
- Litvinov, I.V.; Sharaborin, D.K.; Shtork, S.I. Reconstructing the Structural Parameters of a Precessing Vortex by SPIV and Acoustic Sensors. Exp. Fluids 2019, 60, 139. [Google Scholar] [CrossRef]
- Favrel, A.; Gomes Pereira Junior, J.; Landry, C.; Müller, A.; Nicolet, C.; Avellan, F. New Insight in Francis Turbine Cavitation Vortex Rope: Role of the Runner Outlet Flow Swirl Number. J. Hydraul. Res. 2018, 56, 367–379. [Google Scholar] [CrossRef]
- Syred, N. A Review of Oscillation Mechanisms and the Role of the Precessing Vortex Core (PVC) in Swirl Combustion Systems. Prog. Energy Combust. Sci. 2006, 32, 93–161. [Google Scholar] [CrossRef]
- Martinelli, F.; Olivani, A.; Coghe, A. Experimental Analysis of the Precessing Vortex Core in a Free Swirling Jet. Exp. Fluids 2007, 42, 827–839. [Google Scholar] [CrossRef]
Publisher’s Note: MDPI stays neutral with regard to jurisdictional claims in published maps and institutional affiliations. |
© 2022 by the authors. Licensee MDPI, Basel, Switzerland. This article is an open access article distributed under the terms and conditions of the Creative Commons Attribution (CC BY) license (https://creativecommons.org/licenses/by/4.0/).












