Transmission Angle Analysis of a Type of Parallel Manipulators
Abstract
:1. Introduction
2. Kinematic Analysis
Jacobian Analysis
3. Transmission Angle Analysis
4. Comparison Analysis of Condition Number and ITA/CTA
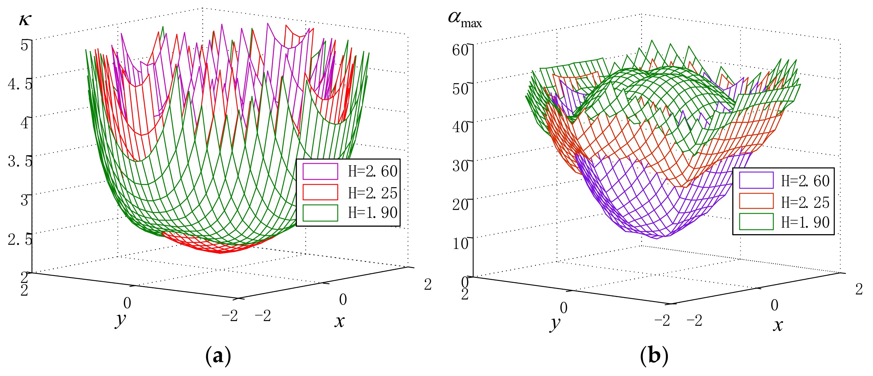
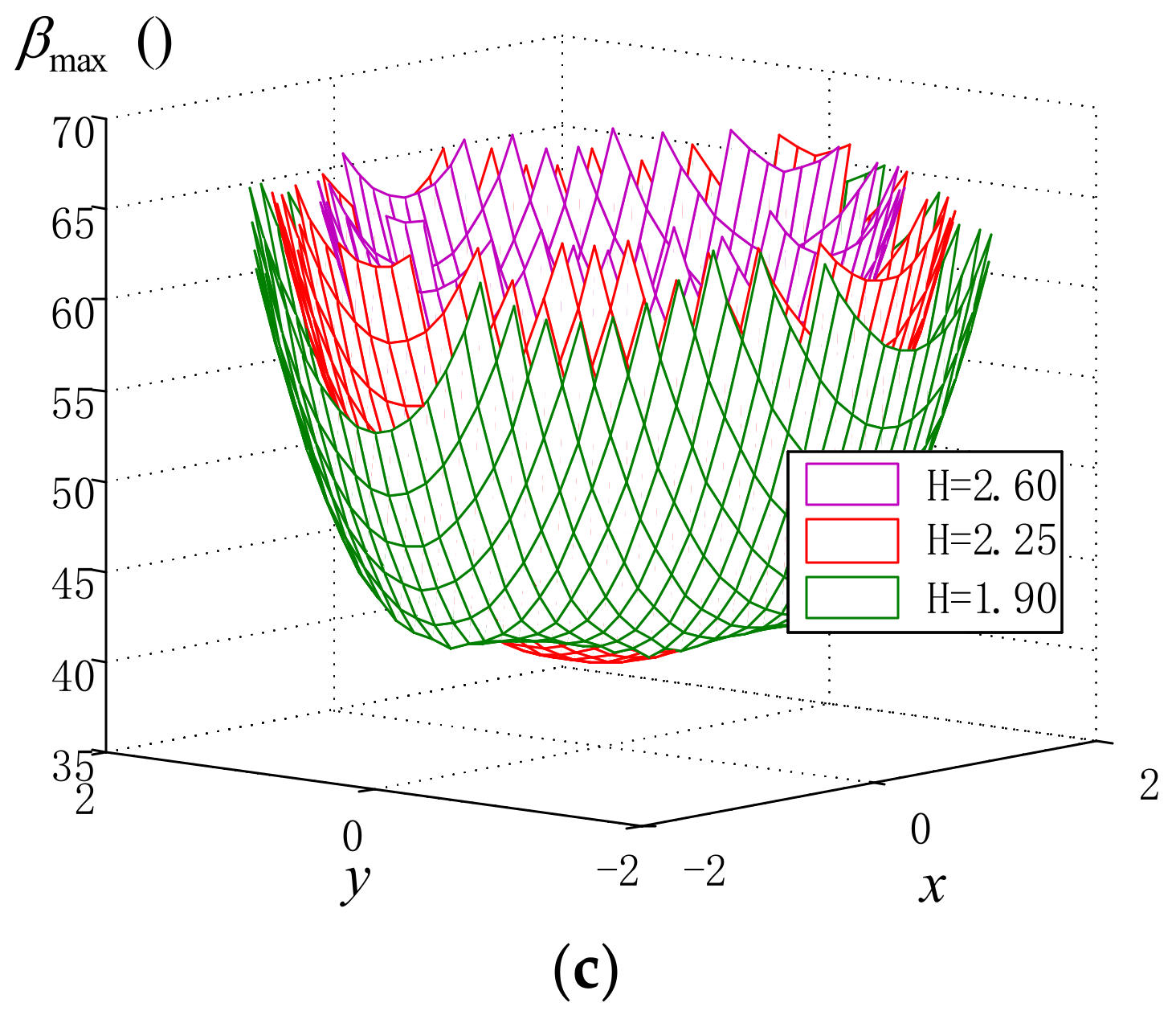
4.1. Angle Analysis of Diamond Robot
4.2. Angle Analysis of Delta Robot
5. Conclusions
Author Contributions
Funding
Institutional Review Board Statement
Informed Consent Statement
Data Availability Statement
Acknowledgments
Conflicts of Interest
References
- Mei, J.; Zhang, X.; Zang, J.; Zhang, F. Optimization design using a global and comprehensive performance index and angular constraints in a type of parallel manipulator. Adv. Mech. Eng. 2018, 10, 1687814018787068. [Google Scholar] [CrossRef]
- Herrero, S.; Pinto, C.; Diez, M.; Zubizarreta, A. Optimization of the 2PRU-1PRS Parallel Manipulator Based on Workspace and Power Consumption Criteria. Appl. Sci. 2021, 11, 7770. [Google Scholar] [CrossRef]
- Boudreau, R.; Nokleby, S.; Gallant, M. Wrench capabilities of a kinematically redundant planar parallel manipulator. Robotica 2021, 39, 1601–1616. [Google Scholar] [CrossRef]
- Enferadi, J.; Jafari, K. A Kane’s based algorithm for closed-form dynamic analysis of a new design of a 3RSS-S spherical parallel manipulator. Multibody Syst. Dyn. 2020, 49, 377–394. [Google Scholar] [CrossRef]
- Mei, J.P.; Hu, L.H. Parallel Manipulators’ Analysis by Transmission Angle. Appl. Mech. Mater. 2013, 401, 226–230. [Google Scholar] [CrossRef]
- Kelemen, M.; Virgala, I.; Lipták, T.; Miková, Ľ.; Filakovský, F.; Bulej, V. A novel approach for a inverse kinematics solution of a redundant manipulator. Appl. Sci. 2018, 8, 2229. [Google Scholar] [CrossRef]
- Vischer, P.; Clavel, R. Kinematic calibration of the parallel delta robot. Robotica 2001, 16, 207–218. [Google Scholar] [CrossRef]
- Zhang, L.J.; Liu, Y.; Huang, Z. Analysis on output speed of parallel robot with planar 2-dof actuation redundancy. J. Mach. Des. 2006, 23, 19–21. [Google Scholar]
- Hervé, J.M.; Sparacino, F. Methodical design of new parallel robots via the lie group of displacements. Springer Vienna 1995, 361, 301–306. [Google Scholar]
- Tsai, L.W.; Joshi, S. Kinematics and optimization of a spatial 3-upu parallel manipulator. J. Mech. Des. 2000, 122, 439–446. [Google Scholar] [CrossRef]
- Li, Y.; Xu, Q.; Staicu, S. Kinematics of the 3-puu translational parallel manipulator. Upb Sci. Bull. 2011, 73, 3–14. [Google Scholar]
- Chablat, D.; Wenger, P. Architecture optimization of a 3-dof translational parallel mechanism for machining applications, the orthoglide. IEEE Trans. Robot. Autom. 2003, 19, 403–410. [Google Scholar] [CrossRef]
- Chakarov, D. Study of the antagonistic stiffness of parallel manipulators with actuation redundancy. Mech. Mach. Theory 2004, 39, 583–601. [Google Scholar] [CrossRef]
- Korayem, M.H.; Dehkordi, S.F. Derivation of motion equation for mobile manipulator with viscoelastic links and revolute-prismatic flexible joints via recursive Gibbs-Appell formulations. Robot. Auton. Syst. 2018, 103, 175–198. [Google Scholar] [CrossRef]
- Hajiabadi, S.; Dehkordi, S.F. A New Method of Dynamic Modelling and Optimal Energy Distribution for Cooperative Closed Chain Manipulators. In Proceedings of the 2019 7th International Conference on Robotics and Mechatronics (ICRoM), Tehran, Iran, 20–21 November 2019. [Google Scholar]
- Salunkhe, D.H.; Michel, G.; Kumar, S.; Sanguineti, M.; Chablat, D. An efficient combined local and global search strategy for optimization of parallel kinematic mechanisms with joint limits and collision constraints. Mech. Mach. Theory 2022, 173, 104796–104830. [Google Scholar] [CrossRef]
- Lara-Molina, F.A.; Dumur, D. Robust multi-objective optimization of parallel manipulators. Meccanica 2021, 56, 2843–2860. [Google Scholar] [CrossRef]
- Rezania, V.; Ebrahimi, S. Dexterity characterization of the RPR parallel manipulator based on the local and global condition indices. J. Mech. Sci. Technol. 2017, 31, 335–344. [Google Scholar] [CrossRef]
- Huang, T.; Wang, P.F.; Mei, J.P.; Zhao, X.M.; Chetwyn, D.D.G. Time minimum trajectory planning of a 2-dof translational parallel robot for pick-and-place operations. CIRP Ann.-Manuf. Technol. 2007, 56, 365–368. [Google Scholar] [CrossRef]
- Liang, X.; Takeda, Y. Transmission index of a class of parallel manipulators with 3-RS(SR) primary structures based on pressure angle and equivalent mechanism with 2-ss chains replacing RS chain. Mech. Mach. Theory 2019, 139, 359–378. [Google Scholar] [CrossRef]
- Zhang, L. Dynamic dimensional synthesis of delta robot. J. Mech. Eng. 2010, 46, 1–7. [Google Scholar] [CrossRef]
- Wang, G.; Wang, W. Analysis of Condition Number in a Type of Manipulators. In Proceedings of the 2015 International Conference on Energy, Environment and Chemical Engineering (ICEECE 2015), Bangkok, Thailand, 28 June 2015. [Google Scholar]
- Gosselin, C.; Angeles, J. Singularity analysis of closed-loop kinematic chains. IEEE Trans. Robot. Autom. 1990, 6, 281–290. [Google Scholar] [CrossRef]










Publisher’s Note: MDPI stays neutral with regard to jurisdictional claims in published maps and institutional affiliations. |
© 2022 by the authors. Licensee MDPI, Basel, Switzerland. This article is an open access article distributed under the terms and conditions of the Creative Commons Attribution (CC BY) license (https://creativecommons.org/licenses/by/4.0/).
Share and Cite
Che, H.; Shi, C.; Wang, Y. Transmission Angle Analysis of a Type of Parallel Manipulators. Appl. Sci. 2022, 12, 9468. https://doi.org/10.3390/app12199468
Che H, Shi C, Wang Y. Transmission Angle Analysis of a Type of Parallel Manipulators. Applied Sciences. 2022; 12(19):9468. https://doi.org/10.3390/app12199468
Chicago/Turabian StyleChe, Honglei, Congling Shi, and Yu Wang. 2022. "Transmission Angle Analysis of a Type of Parallel Manipulators" Applied Sciences 12, no. 19: 9468. https://doi.org/10.3390/app12199468
APA StyleChe, H., Shi, C., & Wang, Y. (2022). Transmission Angle Analysis of a Type of Parallel Manipulators. Applied Sciences, 12(19), 9468. https://doi.org/10.3390/app12199468

