Distinction of Human and Mechanical Vibrations within Similar Frequency Bands Based on Wavelet Entropy Using Ultrawideband Radar
Abstract
1. Introduction
2. UWB Radar System
3. Methods
3.1. Signal Preprocessing
3.2. Wavelet Entropy Decompositions
3.3. ICMLD-CFAR
- Add a series of random white noise signals to usingwhererepresents the number of the added white noise signals.
- Decompose the into a set of s aswhere denotes the decomposed order numbers of at trail . }
- Regard the as the final order number of s and then calculate the EEMD results by averaging the IMPs of all trails aswhere .
- Eliminate the noise s based on the discrimination criteria listed belowwhere denotes the energy concentration of the -order IMF, denotes the discrete autocorrelation sequence of the -order , denotes the time sequence, and denotes the two middle points, namely, . Moreover, represents the energy ratio of in the interval . If , the is used to denote unwanted noise s.
- Reconstruct the radar signal usingwhere “s.t.” means subject to.
- Calculate the energy ratio on the reference frequency band of human respiration and digging motion of the shovel of the wheel loader usingwhere represents the total energy of and is calculated by , and represents the energy in the reference frequency band. Herein, the reference frequency band is set to 0.2–0.4 Hz. The value for human targets is usually higher than 40%, whereas that of the noise is less than 12% [31]. Our experimental results show that the value for mechanical vibrations is mostly larger than 40%. Thus, the value of ) of the human targets and mechanical vibrations are smaller than one, and that of noise is larger than one. Therefore, the difference between targets and noise can be enlarged by the multiplication operation. As shown in Figure 3, whether a range point is a target can be determined bywhere denotes a threshold as the criterion for detecting targets preliminarily.
3.4. Feature Extraction
4. Experimental Scenarios
5. Results
5.1. Energy Spectral Density Comparisons of Construction Machinery in Idling, Digging, and Moving Modes
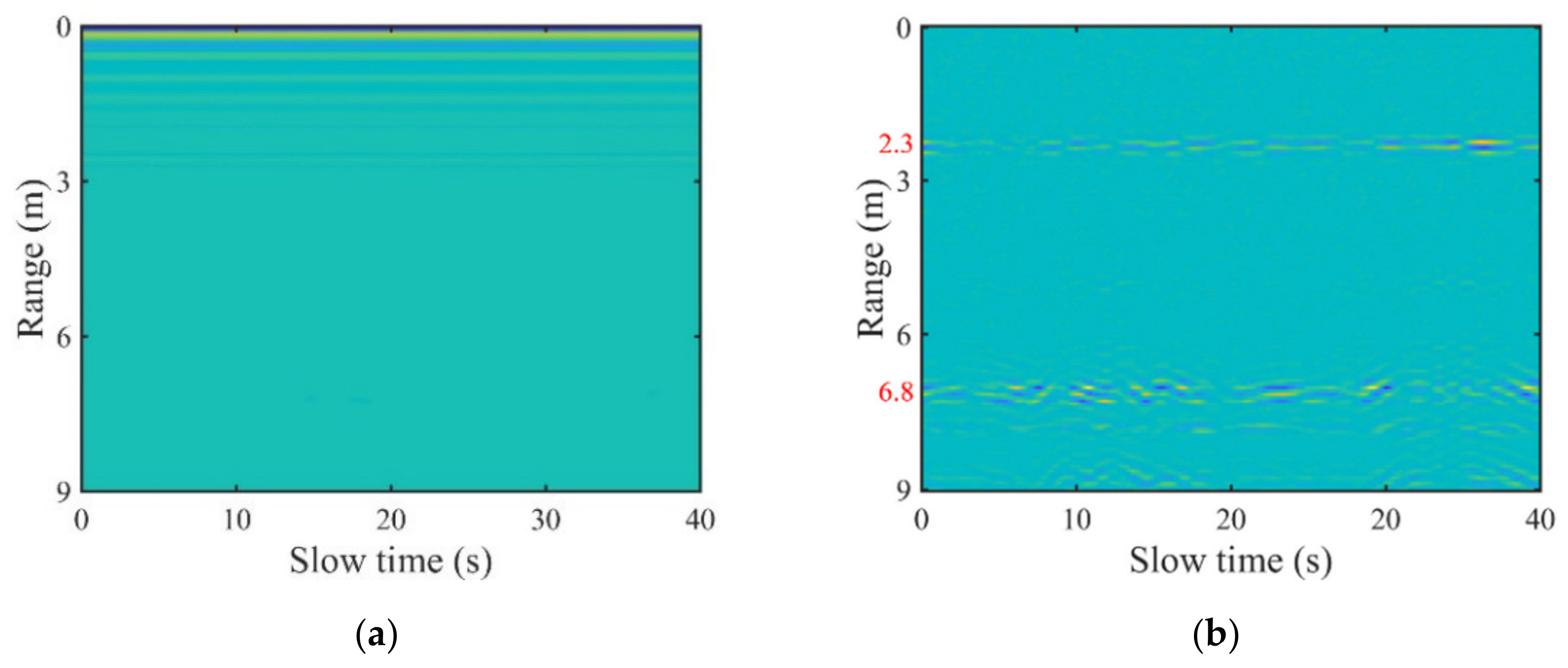
5.2. Results of Signal Preprocessing, Wavelet Entropy Decomposition, and ICMLD-CFAR
5.3. Results of Distinction
6. Discussion
7. Conclusions
Author Contributions
Funding
Institutional Review Board Statement
Informed Consent Statement
Data Availability Statement
Conflicts of Interest
References
- Lv, H.; Jiao, T.; Zhang, Y.; An, Q.; Liu, M.; Fulai, L.; Jing, X.; Wang, J. An adaptive-MSSA-based algorithm for detection of trapped victims using UWB Radar. IEEE Geosci. Remote Sens. Lett. 2015, 12, 1808–1812. [Google Scholar] [CrossRef]
- Urdzik, D.; Kocur, D.; Rovnakova, J. Detection of multiple targets with enhancement of weak UWB radar signals for the purposes of through wall surveillance. In Proceedings of the IEEE International Symposium on Applied Machine Intelligence and Informatics (SAMI 2012), Herl’any, Slovakia, 26–28 January 2012. [Google Scholar]
- Xu, Y.; Wu, S.; Chen, C.; Chen, J.; Fang, G. A novel method for automatic detection of trapped victims by ultrawideband radar. IEEE Trans. Geosci. Remote Sens. 2012, 50, 3132–3142. [Google Scholar] [CrossRef]
- Li, J.; Zeng, Z.; Sun, J.; Liu, F. Through-wall detection of human being’s movement by UWB rada. IEEE Geosci. Remote Sens. Lett. 2012, 9, 1079–1083. [Google Scholar] [CrossRef]
- Riveral, N.V.; Venkatesh, S.; Anderson, C.; Buehrer, R.M. Multi-target estimation of heart and respiration rates using ultra-wideband sensors. In Proceedings of the European Signal Processing Conference, Florence, Italy, 4–8 September 2006. [Google Scholar]
- Amer, N. Stationary clutter- and linear-trend suppression in impulse-radar-based respiratory motion detection. In Proceedings of the IEEE International Conference on Ultra-Wideband (ICUWB), Bologna, Italy, 14–16 September 2011. [Google Scholar]
- Baranoski, E.J. Through-wall imaging: Historical perspective and future directions. J. Frankl. Inst. 2008, 345, 556–569. [Google Scholar] [CrossRef]
- Lu, B.; Song, Q.; Zhou, Z.; Zhang, X. Detection of human beings in motion behind the wall using SAR interferogram. IEEE Geosci. Remote Sens. Lett. 2012, 9, 968–971. [Google Scholar] [CrossRef]
- Hu, J.; Zhu, G.; Jin, T.; Zhou, Z. Adaptive through-wall indication of human target with different motions. IEEE Geosci. Remote Sens. Lett. 2014, 11, 911–915. [Google Scholar] [CrossRef]
- Zhang, Y.; Jiao, T.; Lv, H.; Li, S.; Li, C.; Lu, G.; Yu, X.; Li, Z.; Wang, J. An interference suppression technique for life detection using 5.75- and 35-GHz dual-frequency continuous-wave radar. IEEE Geosci. Remote Sens. Lett. 2015, 12, 482–486. [Google Scholar] [CrossRef]
- Schires, E.; Georgiou, P.; Lande, T.S. Vital sign monitoring through the back using an UWB impulse radar with body coupled antennas. IEEE Trans. Biomed. Circuits Syst. 2018, 12, 292–302. [Google Scholar] [CrossRef]
- Castro, D.; Mercuri, M.; Patel, A.; Puers, R.; van Hoof, C.; Torfs, T. Physiological driver monitoring using capacitively coupled and radar sensors. Appl. Sci. 2019, 9, 3994. [Google Scholar] [CrossRef]
- Leem, S.K.; Khan, F.; Cho, S.H. Vital sign monitoring and mobile phone usage detection using IR-UWB radar for intended use in car crash prevention. Sensors 2017, 17, 1240. [Google Scholar] [CrossRef]
- Chandra, A.; Chattopadhyay, S. A novel approach for coefficient quantization of low-pass finite impulse response filter using differential evolution algorithm. SIViP 2014, 8, 1307–1321. [Google Scholar] [CrossRef]
- Li, Z.; Li, W.; Lv, H.; Zhang, Y.; Jing, X.; Wang, J. A novel method for respiration-like clutter cancellation in life detection by dual-frequency IR-UWB radar. IEEE Trans. Microw. Theory Tech. 2013, 61, 2086–2092. [Google Scholar] [CrossRef]
- Zhao, L.; Yangyang, M.; Yang, Z.; Fulai, L.; Xiao, Y.; Fugui, Q.; Hao, L.; Guohua, L.; Jianqi, W. UWB radar features for distinguishing humans from animals in an actual post-disaster trapped scenario. IEEE Access 2021, 9, 154354. [Google Scholar] [CrossRef]
- Wang, Y.; Yu, X.; Zhang, Y.; Lv, H.; Jiao, T.; Lu, G.; Li, W.Z.; Li, Z.; Jing, X.; Wang, J. Using wavelet entropy to distinguish between humans and dogs detection by UWB radar. Prog. Electromagn. Res. 2013, 139, 335–352. [Google Scholar] [CrossRef]
- Rosso, O.A.; Blanco, S.; Yordanova, J.; Kolev, V.; Figliola, A.; Schürmann, M.; Başar, E. Wavelet entropy: A new tool for analysis of short duration brain electrical signals. J. Neurosci. Methods 2001, 105, 65–75. [Google Scholar] [CrossRef]
- Ma, Y.; Wang, P.; Huang, W.; Qi, F.; Liang, F.; Lv, H.; Yu, X.; Wang, J.; Zhang, Y. A robust multi-feature based method for distinguishing between humans and pets to ensure signal source in vital signs monitoring using UWB radar. EURASIP J. Adv. Signal Process. 2021, 2021, 27. [Google Scholar] [CrossRef]
- Matsui, T.; Ishizuka, T.; Ishihara, M.; Matsumura, K.; Kikuchi, M.; Kurita, A. The non-contact monitoring of heart and respiratory rates using laser irradiation: An experimental simultaneous monitoring with and without clothes during biochemical hazards. J. Med. Eng. Technol. 2003, 27, 133–136. [Google Scholar] [CrossRef]
- Kim, C.K.; Lee, H. Analysis of the generalized order statistics constant false alarm rate detector. ETRI J. 1994, 16, 17–34. [Google Scholar] [CrossRef]
- Weinberg, G.V. General transformation approach for constant false alarm rate detector development. Digit. Signal Process. 2014, 30, 15–26. [Google Scholar] [CrossRef]
- Holm, J.R.; James, A.R. The optimality of the censored mean-level detector. IEEE Trans. Inf. Theory 1991, 37, 206–209. [Google Scholar] [CrossRef]
- Ritcey, J.A. Performance analysis of the censored mean-level detector. IEEE Trans. Aerosp. Electron. Syst. 1986, AES–22, 443–454. [Google Scholar] [CrossRef]
- Rickard, J.T.; Dillard, G.M. Adaptive detection algorithms for multiple-target situations. IEEE Trans. Aerosp. Electron. Syst. 1977, AES–13, 338–343. [Google Scholar] [CrossRef]
- Abdou, L.; Soltani, F. OS-CFAR and CMLD threshold optimization in distributed systems using evolutionary strategies. Signal Image Video Process. 2008, 2, 155–167. [Google Scholar] [CrossRef]
- Li, Y.; Jing, X.; Lv, H.; Wang, J. Analysis of Characteristics of Two Close Stationary Human Targets Detected by Impulse Radio UWB Radar. Prog. Electromagn. Res. 2012, 126, 429–447. [Google Scholar] [CrossRef]
- Huang, N.E.; Shen, Z.; Long, S.R.; Wu, M.C.; Shih, H.H.; Zheng, Q.; Yen, N.; Tung, C.C.; Liu, H.H. The empirical mode decomposition and the Hilbert spectrum for nonlinear and non-stationary time series analysis. Proc. R. Soc. Lond. A 1998, 454, 903–995. [Google Scholar] [CrossRef]
- Wu, Z.; Huang, N.E. Ensemble empirical mode decomposition: A noise-assisted data analysis method. Adv. Adapt. Data Anal. 2009, 1, 1–41. [Google Scholar] [CrossRef]
- Ma, Y.; Liang, F.; Wang, P.; Lv, H.; Yu, X.; Zhang, Y.; Wang, J. An Accurate Method to Distinguish Between Stationary Human and Dog targets Under Through-Wall Condition Using UWB Radar. Remote Sens. 2019, 11, 2571. [Google Scholar] [CrossRef]
- Karim, A.M.; Güzel, M.S.; Tolun, M.R.; Kaya, H.; Çelebi, F.V. A new framework using deep auto-encoder and energy spectral density for medical waveform data classification and processing. Biocybern. Biomed. Eng. 2019, 39, 148–159. [Google Scholar] [CrossRef]
- Matti, H.; Mucchi, L.; Caputo, S.; Biotti, L.; Ciani, L.; Marabissi, D.; Patrizi, G. Ultra-wideband radar-based indoor activity monitoring for elderly care. Sensors 2021, 21, 3158. [Google Scholar]











| Key Parameter | Value |
|---|---|
| Center frequency | 500 MHz |
| Bandwidth | 500 MHz |
| Detection range | 0–9 m |
| Pulse repetition frequency | 128 kHz |
| Range points | 2048 |
| Sampling frequency along slow time | 64 Hz |
| HHW Values | ||||||||||
|---|---|---|---|---|---|---|---|---|---|---|
| Human | 11 | 13 | 11 | 10 | 9 | 4 | 5 | 8 | 14 | 13 |
| Digging construction machinery | 27 | 19 | 19 | 23 | 18 | 34 | 38 | 26 | 32 | 27 |
| HHW Values | Mean | Standard | Skewness | Kurtosis |
|---|---|---|---|---|
| Human | 9.8 | 3.1875 | 2.1297 | −0.5217 |
| Digging construction machinery | 26.3 | 6.4506 | 1.9533 | 0.3198 |
| StdWE Values | Mean | Standard | Skewness | Kurtosis |
|---|---|---|---|---|
| Human | 0.1300 | 0.0209 | 3.1943 | −0.0.9826 |
| Digging construction machinery | 0.1533 | 0.0313 | 2.0903 | 0.0367 |
Publisher’s Note: MDPI stays neutral with regard to jurisdictional claims in published maps and institutional affiliations. |
© 2022 by the authors. Licensee MDPI, Basel, Switzerland. This article is an open access article distributed under the terms and conditions of the Creative Commons Attribution (CC BY) license (https://creativecommons.org/licenses/by/4.0/).
Share and Cite
Xue, H.; Ma, Y.; Zhang, Y.; Zhang, Z.; Shi, G.; Wang, J.; Lv, H. Distinction of Human and Mechanical Vibrations within Similar Frequency Bands Based on Wavelet Entropy Using Ultrawideband Radar. Appl. Sci. 2022, 12, 10046. https://doi.org/10.3390/app121910046
Xue H, Ma Y, Zhang Y, Zhang Z, Shi G, Wang J, Lv H. Distinction of Human and Mechanical Vibrations within Similar Frequency Bands Based on Wavelet Entropy Using Ultrawideband Radar. Applied Sciences. 2022; 12(19):10046. https://doi.org/10.3390/app121910046
Chicago/Turabian StyleXue, Huijun, Yangyang Ma, Yang Zhang, Ziqi Zhang, Gang Shi, Jianqi Wang, and Hao Lv. 2022. "Distinction of Human and Mechanical Vibrations within Similar Frequency Bands Based on Wavelet Entropy Using Ultrawideband Radar" Applied Sciences 12, no. 19: 10046. https://doi.org/10.3390/app121910046
APA StyleXue, H., Ma, Y., Zhang, Y., Zhang, Z., Shi, G., Wang, J., & Lv, H. (2022). Distinction of Human and Mechanical Vibrations within Similar Frequency Bands Based on Wavelet Entropy Using Ultrawideband Radar. Applied Sciences, 12(19), 10046. https://doi.org/10.3390/app121910046

