Earthquake Risk Probability Evaluation for Najin Lhasa in Southern Tibet
Abstract
:Featured Application
Abstract
1. Introduction
2. Methods
3. Data Processing Results
3.1. Division of Potential Source Areas
3.2. Determination of Earthquake Parameters
3.2.1. Earthquake Parameters of the Statistical Area
3.2.2. Earthquake Parameters in the Potential Source Area
3.3. Ground Motion Attenuation
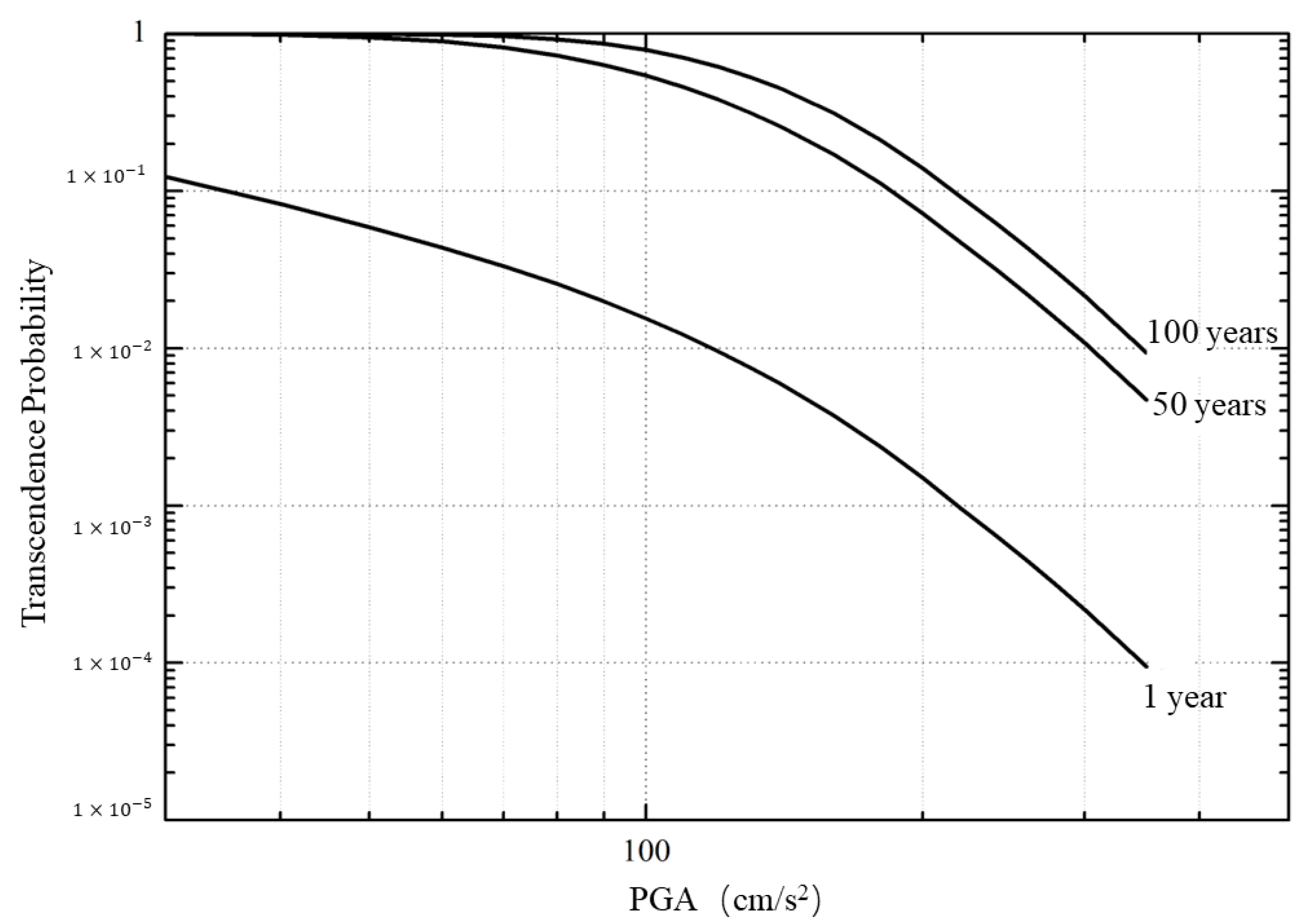
3.4. Probabilistic Analysis of Earthquake Risk
4. Discussion
4.1. Uncertainty Correction of the Ground Motion Attenuation Relationship
4.2. Analysis of the Applicability of the Attenuation Relationship
5. Conclusions
Author Contributions
Funding
Institutional Review Board Statement
Informed Consent Statement
Data Availability Statement
Acknowledgments
Conflicts of Interest
References
- Royden, L.H.; Burchfiel, B.C.; van der Hilst, R.D. The geological evolution of the Tibetan Plateau. Science 2008, 321, 1054–1058. [Google Scholar] [CrossRef]
- Volkmer, J.E.; Kapp, P.; Guynn, J.H.; Lai, Q. Cretaceous-Tertiary structural evolution of the north central Lhasa terrane, Tibet. Tectonics 2007, 26, TC6007. [Google Scholar] [CrossRef]
- Zeng, R.; Ding, Z.; Wu, Q. A review on the lithospheric structures in the Tibetan Plateau and constraints for dynamics. Pure Appl. Geophys. 1995, 145, 425–443. [Google Scholar] [CrossRef]
- England, P.; Molnar, P. Right-lateral shear and rotation as the explanation for strike-slip faulting in eastern Tibet. Nature 1990, 344, 140–142. [Google Scholar] [CrossRef]
- Duvall, A.R.; Clark, M.K. Dissipation of fast strike-slip faulting within and beyond northeastern Tibet. Geology 2010, 38, 223–226. [Google Scholar] [CrossRef]
- Yang, G.; Tang, Y.; Lei, D.; Hu, Q.; Wu, J. Holocene activity and seismic hazard analysis of faults in Damxung, Tibet. Acta Geophys. 2020, 68, 597–604. [Google Scholar] [CrossRef]
- Dong, P.; Shi, Y.; Cheng, H.; Qiao, X. Numerical analysis of the future seismic hazards in the Tibetan Plateau and its surrounding area. Chin. J. Geophys. 2020, 63, 1155–1169. [Google Scholar]
- Armijo, R.; Tapponnier, P.; Han, T. Late Cenozoic right-lateral strike-slip faulting in southern Tibet. J. Geophys. Res. Solid Earth 1989, 94, 2787–2838. [Google Scholar] [CrossRef]
- Pan, G.; Wang, L.; Li, R.; Yuan, S.; Ji, W.; Yin, F.; Zhang, W.; Wang, B. Tectonic evolution of the Tibetan Plateau. J. Asian Earth Sci. 2012, 53, 3–14. [Google Scholar] [CrossRef]
- Ram, T.; Wang, G. Probabilistic seismic hazard analysis in Nepal. Earthquake Engineering and Engineering Vibration 2013, 12, 577–586. [Google Scholar] [CrossRef]
- Department of Disaster Prevention; China Earthquake Administration. China Modern Earthquake Catalog (1912–1990, M ≥ 4.7); China Science and Technology Press: Beijing, China, 1999. (In Chinese)
- Liu, Y.; Zhao, G.; Wu, Z.; Jiang, Y. An analysis of b-value characteristics of earthquake on the southeastern margin of the Tibetan Plateau and its neighboring areas. Geol. Bull. China 2015, 34, 58–70. [Google Scholar]
- DeCelles, P.G.; Robinson, D.M.; Quade, J.; Ojha, T.P.; Garzione, C.N.; Copeland, P.; Upreti, B.N. Stratigraphy, structure, and tectonic evolution of the Himalayan fold-thrust belt in western Nepal. Tectonics 2001, 20, 487–509. [Google Scholar] [CrossRef]
- Li, X.; Yin, L.; Yao, L.; Yu, W.; She, X.; Wei, W. Seismic spatiotemporal characteristics in the Alpide Himalayan Seismic Belt. Earth Sci. Inform. 2020, 13, 883–892. [Google Scholar] [CrossRef]
- Kayal, J.R. Himalayan tectonic model and the great earthquakes: An appraisal. Geomat. Nat. Hazards Risk 2010, 1, 51–67. [Google Scholar] [CrossRef]
- Xu, W.; Gao, M. Statistical analysis of the completeness of earthquake catalogs in mainland China and its periphery. Acta Geophys. 2014, 57, 2802–2812. (In Chinese) [Google Scholar]
- Xie, Y.; Cai, M. Compilation of Historical Data on Earthquakes in China; Science Press: Bejing, China, 1983. (In Chinese) [Google Scholar]
- Singh, C.; Singh, A.; Chadha, R.K. Fractal and b-value mapping in Eastern Himalaya and Southern Tibet. Bull. Seismol. Soc. Am. 2009, 99, 3529–3533. [Google Scholar] [CrossRef]
- Li, X.; Gao, K.; Feng, Y.; Zhang, C. 3D geomechanical modeling of the Xianshuihe fault zone, SE Tibetan Plateau: Implications for seismic hazard assessment. Tectonophysics 2022, 839, 229546. [Google Scholar] [CrossRef]
- Irwansyah, E.; Winarko, E.; Rasjid, Z.E.; Bekti, R.D. Earthquake hazard zonation using peak ground acceleration (PGA) approach. J. Phys. Conf. Ser. 2013, 423, 012067. [Google Scholar] [CrossRef]
- Pan, H.; Jin, Y.; Hu, Y.X. Discussion about the relationship between seismic belt and seismic statistical zone. Acta Seismol. Sin. 2003, 16, 323–329. [Google Scholar] [CrossRef]
- Gao, M. Seismic Zoning Map in China; Standards Press of China: Beijing, China, 2015. (In Chinese) [Google Scholar]
- Jian, W. Disaggregation of seismic hazard according to Chinese PSHA method. In Proceedings of the 14th World Conference on Earthquake Engineering, Beijing, China, 12–17 October 2008. [Google Scholar]
- Ji, K.; Wen, R.; Ren, Y.; Wang, W.; Chen, L. Disaggregation of Probabilistic Seismic Hazard and Construction of Pseudo-Exact Conditional Spectrum for China. Bull. Earthq. Eng. 2021. [Google Scholar] [CrossRef]
- GB18306-2015; Seismic Ground Motion Parameters Zonation Map of China. China Earthquake Administration; General Administration of Quality Supervision Inspection and Quarantine of the PRC. China Standards Publishing House: Beijing, China, 2015.
- Scholz, C.H. The frequency-magnitude relation of microfracturing in rock and its relation to earthquakes. Bull. Seismol. Soc. Am. 1968, 58, 399–415. [Google Scholar] [CrossRef]
- Latousakis, J.; Drakopoulos, J. A modified formula for frequency-magnitude distribution. Pure Appl. Geophys. 1987, 125, 753–764. [Google Scholar] [CrossRef]
- Baker, J.W. An introduction to probabilistic seismic hazard analysis (PSHA). White Pap. Version 2008, 1, 72. [Google Scholar]
- Du, G.; Zhang, Y.; Yang, Z.; Iqbal, J.; Tong, B.; Guo, C.; Yao, X.; Wu, R. Estimation of seismic landslide Hazard in the eastern Himalayan Syntaxis region of Tibetan plateau. Acta Geol. Sin.-Engl. Ed. 2017, 91, 658–668. [Google Scholar] [CrossRef]
- Zhu, W.; Liu, K.; Wang, M.; Koks, E.E. Seismic risk assessment of the railway network of China’s Mainland. Int. J. Disaster Risk Sci. 2020, 11, 452–465. [Google Scholar] [CrossRef]
- He, Z.; Ma, B.; Lu, H. Segmentation of active fault zones in front of Daqingshan Mountain and division of potential hypocenter areas. Earthq. Geol. 2007, 29, 765–775. (In Chinese) [Google Scholar]
- Wang, J.; He, Z. Responses of stream geomorphic indices to piedmont fault activity in the Daqingshan area of china. J. Earth Sci. 2020, 31, 978–987. [Google Scholar] [CrossRef]
- Xu, X.; Wen, X.; Han, Z.; Chen, G.; Li, C.; Zheng, W.; Zhnag, S.; Ren, Z.; Xu, C.; Tan, X.; et al. Lushan M S7. 0 earthquake: A blind reserve-fault event. Chin. Sci. Bull. 2013, 58, 3437–3443. [Google Scholar] [CrossRef]
- Mi, S.; Chen, G.; Gao, Z.; Lv, X. Research on seismic safety evaluation of underground pipelines between cities. Chin. J. Eng. Geol. 2006, 14 (Suppl. 1), 404–408. (In Chinese) [Google Scholar]
- Hussain, H.; Shuangxi, Z.; Usman, M.; Abid, M. Spatial variation of b-values and their relationship with the fault blocks in the western part of the Tibetan plateau and its surrounding areas. Entropy 2020, 22, 1016. [Google Scholar] [CrossRef]
- Hu, Y.; Zhang, M. Estimation method of ground motion parameters in areas lacking strong earthquake observation data. Earthq. Eng. Eng. Vib. 1984, 4, 1–11. (In Chinese) [Google Scholar]
- Yu, Y.; Wang, S. Attenuation of response spectrum of horizontal bedrock acceleration in eastern and western China. Earthq. Disaster Prev. Technol. 2006, 1, 206–217. (In Chinese) [Google Scholar] [CrossRef]
- Albarello, D.; D’Amico, V. Attenuation relationship of macroseismic intensity in Italy for probabilistic seismic hazard assessment. Boll. Di Geofis. Teor. Ed Appl. 2004, 45, 271–284. [Google Scholar]
- Mohanty, W.K.; Prakash, R.; Suresh, G.; Shukla, A.K.; Yanger Walling, M.; Srivastava, J.P. Estimation of coda wave attenuation for the national capital region, Delhi, India using local earthquakes. Pure Appl. Geophys. 2009, 166, 429–449. [Google Scholar] [CrossRef]
- Li, C.; Su, L. Influence of critical acceleration model on assessments of potential earthquake–induced landslide hazards in Shimian County, Sichuan Province, China. Landslides 2021, 18, 1659–1674. [Google Scholar] [CrossRef]
- Wang, T.; Liu, J.M.; Shi, J.S.; Gao, M.T.; Wu, S.R. Probabilistic seismic landslide hazard assessment: A case study in Tianshui, Northwest China. J. Mt. Sci. 2020, 17, 173–190. [Google Scholar] [CrossRef]
- Cornell, C.A. Engineering seismic risk analysis. Bull. Seismol. Soc. Am. 1968, 58, 1503–1606. [Google Scholar] [CrossRef]
- Kramer, S.L. Geotechnical earthquake engineering. In Upper Saddle River; Prentice-Hall Civil Engineering and Engineering Mechanics Series; Prentice Hall: Hoboken, NJ, USA, 1996. [Google Scholar]
- Kiureghian, A.; Ang, A. A fault-rupture model for seismic risk analysis. Bull. Seismol. Soc. Am. 1977, 67, 1173–1194. [Google Scholar]
- Zhang, Q.; Zhang, P. Application of Geographic Information System (GIS) in Seismic Hazard Analysis. Crustal Deform. Earthq. 1999, 19, 82–86. (In Chinese) [Google Scholar]
- Lindholm, C.D.; Bungum, H. Probabilistic seismic hazard: A review of the seismological frame of reference with examples from Norway. Soil Dyn. Earthq. Eng. 2000, 20, 27–38. [Google Scholar] [CrossRef]
- Xu, W.; Gao Meng, T. Analysis of background earthquake risk in Mongolia. Chin. J. Earthq. Eng. 2014, 36, 256–260. (In Chinese) [Google Scholar]
- Caccavale, M.; Matano, F.; Sacchi, M. An integrated approach to earthquake-induced landslide hazard zoning based on probabilistic seismic scenario for Phlegrean Islands (Ischia, Procida and Vivara), Italy. Geomorphology 2017, 295, 235–259. [Google Scholar] [CrossRef]
- Chang, M.; Liu, Y.; Zhou, C.; Che, H.X. Hazard assessment of a catastrophic mine waste debris flow of Hou Gully, Shimian China. Eng Geol 2019, 275, 105733. [Google Scholar] [CrossRef]
- Ni, H.Y.; Zheng, W.M.; Song, Z.; Xu, W. Catastrophic debris flows triggered by a 4 July 2013 rainfall in Shimian, SW China: Formation mechanism, disaster characteristics and the lessons learned. Landslides 2014, 11, 909–921. [Google Scholar] [CrossRef]
- Pei, W.; Zhou, S.; Zhuang, J.; Xiong, Z.; Piao, J. Application and discussion of statistical seismology in probabilistic seismic hazard assessment studies. Sci. China Earth Sci. 2021, 65, 257–268. [Google Scholar] [CrossRef]
- Ji, C.; Dong, B. Probabilistic seismic hazard analysis of a site in Shandong. Earthq. Geomagn. Obs. Res. 2017, 38, 53–64. (In Chinese) [Google Scholar]







| Earthquake Statistical Region | No. | Potential Source Regions | Area (km2) | |
|---|---|---|---|---|
| Central Tibet earthquake statistical region | 1 | Gangsang Duodi | 18,280 | 8.0 |
| 2 | Nima North | 6256 | 7.0 | |
| 3 | Qinglong | 2644 | 7.0 | |
| 4 | Jiangcuo | 3556 | 8.5 | |
| 5 | Namucuo | 4292 | 7.0 | |
| 6 | Sangxiong | 2138 | 8.0 | |
| 7 | Dangxiong | 5045 | 8.5 | |
| 8 | Kangma | 9401 | 7.5 | |
| 9 | Rikaze | 6532 | 7.0 | |
| 10 | Naqu | 4367 | 7.0 | |
| 11 | Jiali | 4213 | 7.5 | |
| 12 | Jinda | 1493 | 7.0 | |
| 13 | Qushui | 4061 | 7.5 | |
| 14 | Qusong | 6180 | 7.5 | |
| 15 | Jiacha | 3650 | 7.5 | |
| Himalayan earthquake statistical region | 16 | Yadong | 8364 | 7.5 |
| 17 | Luozha | 8128 | 7.5 | |
| 18 | Jiayu | 7932 | 8.0 |
| Earthquake Statistical Region | Maximum Magnitude Limit | Threshold Magnitude | Background Earthquake | b Value | RM ≥ 4 |
|---|---|---|---|---|---|
| Central Tibet earthquake statistical region | 8.5 | 4.0 | 6.5 | 0.81 | 25 |
| Himalayan earthquake statistical region | 8.5 | 4.0 | 6.5 | 0.85 | 83 |
| No. | Region | 4.0~5.4 | 5.5~5.9 | 6.0~6.4 | 6.5~6.9 | 7.0~7.4 | ≥7.5 | |
|---|---|---|---|---|---|---|---|---|
| 1 | Gangsang Duodi | 8.0 | 0.0443 | 0.0443 | 0.0443 | 0.0445 | 0.1138 | 0.4881 |
| 2 | Nima North | 7.0 | 0.0136 | 0.0136 | 0.0136 | 0.0138 | 0 | 0 |
| 3 | Qinglong | 7.0 | 0.0054 | 0.0054 | 0.0054 | 0.0056 | 0 | 0 |
| 4 | Jiangcuo | 8.5 | 0.0086 | 0.0086 | 0.0086 | 0.0084 | 0.0221 | 0.0949 |
| 5 | Namucuo | 7.0 | 0.0088 | 0.0088 | 0.0088 | 0.0089 | 0 | 0 |
| 6 | Sangxiong | 8.0 | 0.0052 | 0.0052 | 0.0052 | 0.0051 | 0.0133 | 0.0571 |
| 7 | Dangxiong | 8.5 | 0.0122 | 0.0122 | 0.0122 | 0.0123 | 0.0314 | 0.1347 |
| 8 | Kangma | 7.5 | 0.0228 | 0.0228 | 0.0228 | 0.0227 | 0.0585 | 0 |
| 9 | Rikaze | 7.0 | 0.0142 | 0.0142 | 0.0142 | 0.0145 | 0 | 0 |
| 10 | Naqu | 7.0 | 0.0090 | 0.0090 | 0.0090 | 0.0089 | 0 | 0 |
| 11 | Jiali | 7.5 | 0.0092 | 0.0092 | 0.0092 | 0.0095 | 0.0236 | 0 |
| 12 | Jinda | 7.0 | 0.0036 | 0.0036 | 0.0036 | 0.0037 | 0 | 0 |
| 13 | Qushui | 7.5 | 0.0084 | 0.0084 | 0.0084 | 0.0085 | 0.0215 | 0 |
| 14 | Qusong | 7.5 | 0.0150 | 0.0150 | 0.0150 | 0.0153 | 0.0385 | 0 |
| 15 | Jiacha | 7.5 | 0.0080 | 0.0080 | 0.0080 | 0.0081 | 0.0204 | 0 |
| 16 | Yadong | 7.5 | 0.0090 | 0.0090 | 0.0090 | 0.0091 | 0.0092 | 0 |
| 17 | Luozha | 7.5 | 0.0087 | 0.0087 | 0.0087 | 0.0088 | 0.0090 | 0.0099 |
| 18 | Jiayu | 8.0 | 0.0076 | 0.0076 | 0.0076 | 0.0077 | 0.0080 | 0.0139 |
| Period (/s) | c1 | c2 | c3 | c4 | c5 | c6 | σlgY |
|---|---|---|---|---|---|---|---|
| PGA | 0.617 | 1.163 | −0.046 | −2.207 | 1.694 | 0.446 | 0.232 |
| 0.04 | 1.208 | 0.952 | −0.033 | −2.056 | 1.694 | 0.446 | 0.225 |
| 0.05 | 1.196 | 0.941 | −0.033 | −2.002 | 1.694 | 0.446 | 0.226 |
| 0.07 | 1.656 | 0.826 | −0.024 | −2.037 | 1.694 | 0.446 | 0.226 |
| 0.10 | 2.207 | 0.731 | −0.016 | −2.090 | 1.694 | 0.446 | 0.231 |
| 0.12 | 2.115 | 0.749 | −0.017 | −2.047 | 1.694 | 0.446 | 0.251 |
| 0.14 | 2.145 | 0.745 | −0.016 | −2.052 | 1.694 | 0.446 | 0.258 |
| 0.16 | 2.131 | 0.750 | −0.016 | −2.050 | 1.694 | 0.446 | 0.253 |
| 0.18 | 1.946 | 0.797 | −0.018 | −2.068 | 1.694 | 0.446 | 0.259 |
| 0.20 | 1.829 | 0.798 | −0.018 | −2.001 | 1.694 | 0.446 | 0.268 |
| 0.24 | 1.657 | 0.809 | −0.019 | −1.944 | 1.694 | 0.446 | 0.269 |
| 0.26 | 1.645 | 0.815 | −0.019 | −1.952 | 1.694 | 0.446 | 0.276 |
| 0.30 | 1.693 | 0.796 | −0.017 | −1.965 | 1.694 | 0.446 | 0.292 |
| 0.34 | 1.657 | 0.796 | −0.017 | −1.970 | 1.694 | 0.446 | 0.308 |
| 0.36 | 1.490 | 0.826 | −0.018 | −1.957 | 1.694 | 0.446 | 0.318 |
| 0.40 | 1.390 | 0.835 | −0.019 | −1.937 | 1.694 | 0.446 | 0.324 |
| 0.44 | 1.153 | 0.864 | −0.020 | −1.905 | 1.694 | 0.446 | 0.331 |
| 0.50 | 0.804 | 0.930 | −0.023 | −1.911 | 1.694 | 0.446 | 0.337 |
| 0.60 | 0.365 | 0.982 | −0.026 | −1.828 | 1.694 | 0.446 | 0.339 |
| 0.70 | 0.011 | 1.063 | −0.029 | −1.890 | 1.694 | 0.446 | 0.340 |
| 0.80 | −0.160 | 1.083 | −0.030 | −1.877 | 1.694 | 0.446 | 0.348 |
| 1.00 | −0.606 | 1.164 | −0.033 | −1.896 | 1.694 | 0.446 | 0.345 |
| 1.20 | −0.811 | 1.192 | −0.034 | −1.915 | 1.694 | 0.446 | 0.338 |
| 1.50 | −1.204 | 1.249 | −0.036 | −1.923 | 1.694 | 0.446 | 0.334 |
| 1.70 | −1.585 | 1.279 | −0.037 | −1.848 | 1.694 | 0.446 | 0.333 |
| 2.00 | −1.792 | 1.298 | −0.037 | −1.848 | 1.694 | 0.446 | 0.329 |
| 2.40 | −0.603 | 0.840 | 0.000 | −1.840 | 1.694 | 0.446 | 0.322 |
| 3.00 | −0.912 | 0.864 | 0.000 | −1.841 | 1.694 | 0.446 | 0.306 |
| 4.00 | −1.107 | 0.883 | 0.000 | −1.873 | 1.694 | 0.446 | 0.307 |
| 5.00 | −1.432 | 0.894 | 0.000 | −1.821 | 1.694 | 0.446 | 0.324 |
| 6.00 | −1.699 | 0.904 | 0.000 | −1.780 | 1.694 | 0.446 | 0.328 |
| Period (/s) | c1 | c2 | c3 | c4 | c5 | c6 | σlgY |
|---|---|---|---|---|---|---|---|
| PGA | −0.644 | 1.080 | −0.043 | −1.626 | 0.255 | 0.570 | 0.232 |
| 0.04 | −0.005 | 0.884 | −0.031 | −1.515 | 0.255 | 0.570 | 0.225 |
| 0.05 | 0.016 | 0.872 | −0.030 | −1.475 | 0.255 | 0.570 | 0.226 |
| 0.07 | 0.477 | 0.757 | −0.021 | −1.501 | 0.255 | 0.570 | 0.226 |
| 0.10 | 0.941 | 0.674 | −0.015 | −1.540 | 0.255 | 0.570 | 0.231 |
| 0.12 | 0.870 | 0.695 | −0.016 | −1.509 | 0.255 | 0.570 | 0.251 |
| 0.14 | 0.894 | 0.691 | −0.015 | −1.513 | 0.255 | 0.570 | 0.258 |
| 0.16 | 0.878 | 0.699 | −0.015 | −1.511 | 0.255 | 0.570 | 0.253 |
| 0.18 | 0.680 | 0.745 | −0.017 | −1.524 | 0.255 | 0.570 | 0.259 |
| 0.20 | 0.603 | 0.748 | −0.017 | −1.475 | 0.255 | 0.570 | 0.268 |
| 0.24 | 0.484 | 0.758 | −0.018 | −1.433 | 0.255 | 0.570 | 0.269 |
| 0.26 | 0.447 | 0.768 | −0.018 | −1.438 | 0.255 | 0.570 | 0.276 |
| 0.30 | 0.484 | 0.749 | −0.016 | −1.448 | 0.255 | 0.570 | 0.292 |
| 0.34 | 0.442 | 0.750 | −0.016 | −1.452 | 0.255 | 0.570 | 0.308 |
| 0.36 | 0.284 | 0.780 | −0.017 | −1.442 | 0.255 | 0.570 | 0.318 |
| 0.40 | 0.197 | 0.789 | −0.018 | −1.428 | 0.255 | 0.570 | 0.324 |
| 0.44 | −0.020 | 0.819 | −0.019 | −1.404 | 0.255 | 0.570 | 0.331 |
| 0.50 | −0.374 | 0.885 | −0.022 | −1.408 | 0.255 | 0.570 | 0.337 |
| 0.60 | −0.762 | 0.939 | −0.025 | −1.346 | 0.255 | 0.570 | 0.339 |
| 0.70 | −1.153 | 1.017 | −0.028 | −1.392 | 0.255 | 0.570 | 0.340 |
| 0.80 | −1.316 | 1.038 | −0.029 | −1.383 | 0.255 | 0.570 | 0.348 |
| 1.00 | −1.773 | 1.118 | −0.032 | −1.396 | 0.255 | 0.570 | 0.345 |
| 1.20 | −1.990 | 1.147 | −0.033 | −1.410 | 0.255 | 0.570 | 0.338 |
| 1.50 | −2.390 | 1.204 | −0.035 | −1.416 | 0.255 | 0.570 | 0.334 |
| 1.70 | −2.727 | 1.236 | −0.036 | −1.360 | 0.255 | 0.570 | 0.333 |
| 2.00 | −2.935 | 1.255 | −0.036 | −1.361 | 0.255 | 0.570 | 0.329 |
| 2.40 | −1.770 | 0.807 | 0.000 | −1.355 | 0.255 | 0.570 | 0.322 |
| 3.00 | −2.080 | 0.831 | 0.000 | −1.355 | 0.255 | 0.570 | 0.306 |
| 4.00 | −2.296 | 0.850 | 0.000 | −1.379 | 0.255 | 0.570 | 0.307 |
| 5.00 | −2.587 | 0.862 | 0.000 | −1.340 | 0.255 | 0.570 | 0.324 |
| 6.00 | −2.828 | 0.872 | 0.000 | −1.309 | 0.255 | 0.570 | 0.328 |
| Transcendence Probability | 50 Years in the Future | 100 Years in the Future | ||||
|---|---|---|---|---|---|---|
| 63% | 10% | 2% | 63% | 10% | 2% | |
| PGA (cm/s2) | 90.4 | 185.9 | 265.9 | 118.5 | 216.4 | 306.6 |
| T (/s) | 50 Years in the Future | 100 Years in the Future | ||||
|---|---|---|---|---|---|---|
| 63% | 10% | 2% | 63% | 10% | 2% | |
| 0.04 | 92.5 | 192.5 | 275.4 | 122.7 | 222.5 | 320.5 |
| 0.05 | 93.3 | 206.2 | 299.2 | 130.4 | 239.5 | 350.3 |
| 0.07 | 110.8 | 240.5 | 363.8 | 150.6 | 284.1 | 428.8 |
| 0.10 | 136.9 | 295.0 | 461.0 | 182.5 | 353.9 | 549.3 |
| 0.12 | 152.4 | 332.1 | 512.5 | 205.8 | 395.5 | 610.1 |
| 0.14 | 164.6 | 362.0 | 552.3 | 224.3 | 428.9 | 655.6 |
| 0.16 | 174.0 | 384.7 | 576.1 | 239.0 | 452.9 | 679.6 |
| 0.18 | 181.5 | 402.3 | 587.9 | 251.5 | 469.8 | 684.2 |
| 0.20 | 186.6 | 415.7 | 595.2 | 261.0 | 482.1 | 684.0 |
| 0.24 | 195.6 | 421.9 | 595.8 | 265.0 | 488.0 | 676.9 |
| 0.26 | 196.2 | 415.7 | 586.6 | 261.0 | 481.1 | 665.9 |
| 0.30 | 196.2 | 413.0 | 587.3 | 273.5 | 479.8 | 698.8 |
| 0.34 | 200.0 | 416.7 | 633.1 | 267.4 | 500.1 | 711.0 |
| 0.36 | 201.7 | 415.8 | 627.1 | 271.4 | 493.9 | 723.6 |
| 0.40 | 190.7 | 401.2 | 608.9 | 259.7 | 491.8 | 697.1 |
| 0.44 | 182.1 | 386.4 | 590.2 | 248.0 | 470.0 | 676.7 |
| 0.50 | 170.9 | 364.8 | 581.2 | 235.5 | 434.4 | 669.3 |
| 0.60 | 152.3 | 332.8 | 522.0 | 217.2 | 393.1 | 615.3 |
| 0.70 | 135.8 | 304.2 | 482.0 | 203.9 | 367.3 | 565.0 |
| 0.80 | 122.1 | 288.7 | 440.4 | 186.8 | 345.1 | 529.0 |
| 1.00 | 103.0 | 242.8 | 373.9 | 161.0 | 293.2 | 452.3 |
| 1.20 | 87.0 | 210.6 | 325.3 | 134.4 | 254.1 | 389.3 |
| 1.50 | 70.9 | 169.8 | 268.4 | 108.7 | 208.7 | 319.2 |
| 1.70 | 59.8 | 150.8 | 234.1 | 91.7 | 186.0 | 287.5 |
| 2.00 | 49.4 | 128.2 | 205.3 | 75.8 | 158.5 | 244.7 |
| 2.40 | 39.2 | 104.4 | 163.7 | 60.5 | 125.7 | 197.6 |
| 3.00 | 29.8 | 83.7 | 127.6 | 45.9 | 101.7 | 153.7 |
| 4.00 | 22.3 | 63.1 | 98.0 | 34.8 | 78.5 | 117.5 |
| 5.00 | 17.1 | 49.5 | 80.8 | 26.9 | 64.7 | 95.6 |
| 6.00 | 14.0 | 40.6 | 68.8 | 21.7 | 53.0 | 83.2 |
Publisher’s Note: MDPI stays neutral with regard to jurisdictional claims in published maps and institutional affiliations. |
© 2022 by the authors. Licensee MDPI, Basel, Switzerland. This article is an open access article distributed under the terms and conditions of the Creative Commons Attribution (CC BY) license (https://creativecommons.org/licenses/by/4.0/).
Share and Cite
Zhang, J.; Zhu, Y.; Ji, Y.; Zhu, W.; Qu, R.; Gongqiu, Z.; Xie, C. Earthquake Risk Probability Evaluation for Najin Lhasa in Southern Tibet. Appl. Sci. 2022, 12, 9394. https://doi.org/10.3390/app12189394
Zhang J, Zhu Y, Ji Y, Zhu W, Qu R, Gongqiu Z, Xie C. Earthquake Risk Probability Evaluation for Najin Lhasa in Southern Tibet. Applied Sciences. 2022; 12(18):9394. https://doi.org/10.3390/app12189394
Chicago/Turabian StyleZhang, Jianlong, Ye Zhu, Yingfeng Ji, Weiling Zhu, Rui Qu, Zhuoma Gongqiu, and Chaodi Xie. 2022. "Earthquake Risk Probability Evaluation for Najin Lhasa in Southern Tibet" Applied Sciences 12, no. 18: 9394. https://doi.org/10.3390/app12189394
APA StyleZhang, J., Zhu, Y., Ji, Y., Zhu, W., Qu, R., Gongqiu, Z., & Xie, C. (2022). Earthquake Risk Probability Evaluation for Najin Lhasa in Southern Tibet. Applied Sciences, 12(18), 9394. https://doi.org/10.3390/app12189394

