Investigating the Energy-Efficient Structures Using Building Energy Performance Simulations: A Case Study
Abstract
:1. Introduction
2. Materials and Methods
2.1. Description of Case Studies
2.2. Materials
2.3. Methodology
- Initially, a three-dimensional model of a room was developed in Revit as per ASHRAE 140 code requirements, and the results generated by Green Building Studio were checked. This step is important before doing the actual modeling, as energy calculations are too extensive to be checked manually.
- Afterwards, the initial 3D model for the building was prepared in Revit from available information, plans, and sections. For this research, three models were created: a house, an office building, and a warehouse.
- The building design is modified if required. Building orientation was changed and windows were relocated according to ASHRAE and US LEED guidelines for basic improvements. New energy-efficient materials were applied to the design.
- The model was exported to the gbxml format and uploaded to Green Building Studio to check the building performance. This model was further analyzed with the Insight software for building improvements.
- Based on the results, the building design was further modified inside Revit. If the building modifications were drastic, the structural stability must be checked. Models were counter-checked for stability in ETABS and SAP2000. The Revit model has the capability to export to these software with all information intact.
- Once all the data was updated, the model was exported to Green Building Studio (GBS) for energy analysis again. Performing analysis on GBS will not only provide results but also suggestions for economizing the structure.
- Life-cycle cost analysis was performed to check the feasibility of the project and for cost recovery.
3. Results and Discussion
3.1. Effect of Window Materials
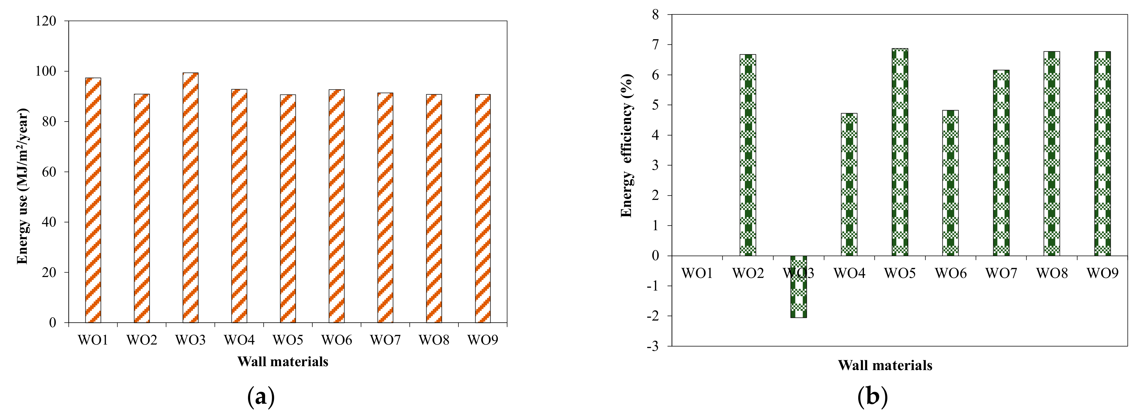
3.2. Effect of Wall Materials
3.3. Effect of Roof Materials
3.4. Effect of Window Poistion
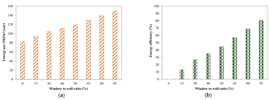
3.5. Effect of Window to Wall Ratio
3.6. Effect of Building Orientation
3.7. Life-Cycle Cost Analysis
4. Conclusions
Author Contributions
Funding
Institutional Review Board Statement
Informed Consent Statement
Data Availability Statement
Conflicts of Interest
References
- Akadiri, P.O.; Chinyio, E.A.; Olomolaiye, P.O. Design of a sustainable building: A conceptual framework for implementing sustainability in the building cector. Buildings 2012, 2, 126–152. [Google Scholar] [CrossRef]
- Abidin, N.Z. Investigating the awareness and application of sustainable construction concept by Malaysian developers. Habitat Int. 2010, 34, 421–426. [Google Scholar] [CrossRef]
- John, G.; Clements-Croome, D.; Jeronimidis, G. Sustainable building solutions: A review of lessons from natural world. Build. Environ. 2005, 40, 319–328. [Google Scholar] [CrossRef]
- Pitt, M.; Tucker, M.; Riley, M.; Longden, J. Towards sustainable construction: Promotion and best practices. Constr. Innov. 2009, 9, 201–224. [Google Scholar] [CrossRef]
- Thormark, C. The effect of material choice on the total energy need and recycling potential of a building. Build. Environ. 2006, 41, 1019–1026. [Google Scholar] [CrossRef]
- Dimoudi, A.; Tompa, C. Energy and environmental indicators related to construction of office buildings. Resour. Conserv. Recycl. 2008, 53, 86–95. [Google Scholar] [CrossRef]
- Gencel, O.; Kazmi, S.M.S.; Munir, M.J.; Kaplan, G.; Bayraktar, O.Y.; Yarar, D.O.; Karimipour, A.; Ahmad, M.R. Influence of bottom ash and polypropylene fibers on the physico-mechanical, durability and thermal performance of foam concrete: An experimental investigation. Constr. Build. Mater. 2021, 306, 124887. [Google Scholar] [CrossRef]
- Munir, M.J.; Kazmi, S.M.S.; Wu, Y.-F.; Patnaikuni, I.; Wang, J.; Wang, Q. Development of a unified model to predict the axial stress–strain behavior of recycled aggregate concrete confined through spiral reinforcement. Eng. Struct. 2020, 218, 110851. [Google Scholar] [CrossRef]
- Munir, M.J.; Kazmi, S.M.S.; Khitab, A.; Hassan, M. Utilization of rice husk ash to mitigate alkali silica reaction in concrete. In Proceedings of the 2nd International Multi-Disciplinary Conference (IMDC 2016), University of Lahore, Gujrat, Pakistan, 19–20 December 2016. [Google Scholar]
- Kim, S.; Zadeh, P.A.; Staub-French, S.; Froese, T.; Cavka, B.T. Assessment of the impact of window size, position and orientation on building energy load using BIM. Procedia Eng. 2016, 145, 1424–1431. [Google Scholar] [CrossRef]
- ANSI/ASHRAE/USGBC/IES Standard 189.1; Standard for the Design of High-Performance Green Buildings. ASHRAE: Atlanta, GA, USA, 2009.
- LEED. LEED v4 for Building Design and Construction; LEED: San Francisco, CA, USA, 2018. [Google Scholar]
- Vladimir, B. IFC BIM-Based Methodology for Semi-Automated Building Energy Performance Simulation; Lawrence Berkeley National Laboratory: Berkeley, CA, USA, 2008; p. 11. Available online: https://escholarship.org/uc/item/0m8238pj (accessed on 24 July 2022).
- Azhar, S.; Carlton, W.A.; Olsen, D.; Ahmad, I. Building information modeling for sustainable design and LEED rating analysis. Autom. Constr. 2010, 20, 217–224. [Google Scholar] [CrossRef]
- Kim, Y.J.; Oh, S.M.; Park, C.S.; Kim, I.H.; Kim, D.W. Self-activating uncertainty analysis for BIM based building energy performance simulations. In Proceedings of the 12th Conference of International Building Performance Simulation Association, Sydney, Australia, 14–16 November 2011; pp. 847–854. [Google Scholar]
- Brown, N.; Ubbelohde, M.S.; Loisosa, G.; Philipa, S. Quick design analysis for improving building energy. Energy Procedia 2014, 57, 3041–3050. [Google Scholar] [CrossRef]
- Shah, S.F.A.; Iqbal, M.; Aziz, Z.; Rana, T.A.; Khalid, A.; Cheah, Y.-N.; Arif, M. The Role of Machine Learning and the Internet of Things in Smart Buildings for Energy Efficiency. Appl. Sci. 2022, 12, 7882. [Google Scholar] [CrossRef]
- Nappi, I.; de Campos Ribeiro, G. Internet of Things technology applications in the workplace environment: A critical review. J. Corp. Real Estate 2020, 22, 71–90. [Google Scholar] [CrossRef]
- Khajenasiri, I.; Estebsari, A.; Verhelst, M.; Gielen, G. A review on Internet of Things solutions for intelligent energy control in buildings for smart city applications. Energy Procedia 2017, 111, 770–779. [Google Scholar] [CrossRef]
- Javed, A.; Larijani, H.; Wixted, A. Improving energy consumption of a commercial building with IoT and machine learning. IT Prof. 2018, 20, 30–38. [Google Scholar] [CrossRef]
- Eini, R.; Linkous, L.; Zohrabi, N.; Abdelwahed, S. Smart building management system: Performance specifications and design requirements. J. Build. Eng. 2021, 39, 102222. [Google Scholar] [CrossRef]
- Daissaoui, A.; Boulmakoul, A.; Karim, L.; Lbath, A. IoT and big data analytics for smart buildings: A survey. Procedia Comput. Sci. 2020, 170, 161–168. [Google Scholar] [CrossRef]
- Saini, K.; Kalra, S.; Sood, S.K. Disaster emergency response framework for smart buildings. Future Gener. Comput. Syst. 2022, 131, 106–120. [Google Scholar] [CrossRef]
- Dong, B.; Prakash, V.; Feng, F.; O’Neill, Z. A review of smart building sensing system for better indoor environment control. Energy Build. 2019, 199, 29–46. [Google Scholar] [CrossRef]
- Rousali, C.; Besseris, G. Lean Screening for Greener Energy Consumption in Retrofitting a Residential Apartment Unit. Appl. Sci. 2022, 12, 6631. [Google Scholar] [CrossRef]
- Allouhi, A.; El Fouih, Y.; Kouskou, T.; Jamil, A.; Zeraouli, Y.; Mourad, Y. Energy consumption and efficiency in buildings: Current status and future trends. J. Clean. Prod. 2015, 109, 118–130. [Google Scholar] [CrossRef]
- Ascione, F.; Bianco, N.; Mauro, G.M.; Vanoli, G.P. A new comprehensive framework for the multi-objective optimization of building energy design: Harlequin. Appl. Energy 2019, 241, 331–361. [Google Scholar] [CrossRef]
- Sorrell, S. Reducing energy demand: A review of issues, challenges and approaches. Renew. Sustain. Energy Rev. 2015, 47, 74–82. [Google Scholar] [CrossRef]
- Rodríguez Jara, E.Á.; Ruiz-Pardo, Á.; García, M.C.; Ríos, J.A.T. Effect of Wood Properties and Building Construction on Thermal Performance of Radiant Floor Heating Worldwide. Appl. Sci. 2022, 12, 5427. [Google Scholar] [CrossRef]
- Alshibani, A. Prediction of the Energy Consumption of School Buildings. Appl. Sci. 2020, 10, 5885. [Google Scholar] [CrossRef]
- Oprea, S.-V.; Bâra, A.; Reveiu, A. Informatics Solution for Energy Efficiency Improvement and Consumption Management of Householders. Energies 2018, 11, 138. [Google Scholar] [CrossRef]
- Silvero, F.; Rodrigues, F.; Montelpare, S. Energy Efficiency Policies to Face Buildings’ Climate Change Effects in Paraguay. Appl. Sci. 2020, 10, 3979. [Google Scholar] [CrossRef]
- Tian, Z.; Shi, X.; Hong, S.-M. Exploring data-driven building energy-efficient design of envelopes based on their quantified impacts. J. Build. Eng. 2021, 42, 103018. [Google Scholar] [CrossRef]
- Doan, D.T.; Ghaffarianhoseini, A.; Naismith, N.; Zhang, T.; Ghaffarianhoseini, A.; Tookey, J. A critical comparison of green building rating systems. Build. Environ. 2017, 123, 243–260. [Google Scholar] [CrossRef]
- Chen, X.; Yang, H.; Lu, L. A comprehensive review on passive design approaches in green building rating tools. Renew. Sustain. Energy Rev. 2015, 50, 1425–1436. [Google Scholar] [CrossRef]
- Heydari, A.; Sadati, S.E.; Gharib, M.R. Effects of different window configurations on energy consumption in building: Optimization and economic analysis. J. Build. Eng. 2021, 35, 102099. [Google Scholar] [CrossRef]
- Riaz, A.; Zhou, C.; Mubin, S.; Ali, F.; Pie, B.; Liang, R.; Wang, P.; Zhang, J. Performance evaluation of façade mounted photovoltaic integrated air chamber assisted by heat pump. Energy Environ. 2022, 0958305X221120932. [Google Scholar] [CrossRef]
- Vosoughkhosravi, S.; Dixon-Grasso, L.; Jafari, A. The impact of LEED certification on energy performance and occupant satisfaction: A case study of residential college buildings. J. Build. Eng. 2022, 59, 105097. [Google Scholar] [CrossRef]
- Panagiotou, D.K.; Dounis, A.I. Comparison of Hospital Building’s Energy Consumption Prediction Using Artificial Neural Networks, ANFIS, and LSTM Network. Energies 2022, 15, 6453. [Google Scholar] [CrossRef]
- Borowski, M. Hotel Adapted to the Requirements of an nZEB Building—Thermal Energy Performance and Assessment of Energy Retrofit Plan. Energies 2022, 15, 6332. [Google Scholar] [CrossRef]
- ASHRAE 140; Standard Method of Test for the Evaluation of Building Energy Analysis Computer Programs. ASHRAE: Atlanta, GA, USA, 2017.



















| Countries | Codes |
|---|---|
| United States | Leadership in Energy and Environmental Design (LEED) |
| United Kingdom | Building Research Establishment Environmental Assessment Method (BREEAM) |
| Canada | Continental Automated Building Construction (CABA) |
| Hong Kong | Building Environmental Assessment Method (BEAM) |
| Australia | National Australian Built Environment Rating System (NABERS) |
| Singapore | Green Mark for Buildings (GMB) |
| China | Shanghai Construction Council |
| Netherland | Environmental Performance Express of Buildings |
| Germany | German Green Building Council |
| Japan | Comprehensive Assessment System for Building Environmental Efficiency (CASBEE) |
| Spain | VERDA Green Building System |
| Korea | Assessment Standards for Certifying Intelligent Buildings (ASCIB) |
| Pakistan | Building Energy Code |
| Parameters | House | Office | Warehouse |
|---|---|---|---|
| Number of stories | 2 | 2 | 1 |
| Total area | 1980 ft2 | 27,000 ft2 | 20,000 ft2 |
| Total covered area | 1050 ft2 | 9000 ft2 | 16,000 ft2 |
| Ceiling height | 10 ft | 10 ft | 27 ft (inclined roof) |
| Orientation | South | South-East | North |
| People occupancy | 8 a.m. to 10 p.m. | 8 a.m. to 5 p.m. | 8 a.m. to 10 p.m. |
| Lighting schedule | 6 a.m. to 8 a.m./ 6 p.m. to 11 p.m. | 7 a.m. to 6 p.m. | 24 h |
| HVAC | 9 p.m. to 8 a.m. | 7 a.m. to 6 p.m. | 8 a.m. to 10 p.m. |
| Occupancies | 1 family, 7 people | 50 employees | 150 employees |
| Indoor design temperature | 26 °C | 26 °C | 26 °C |
| Water heating service | Yes/Winters | Yes | Yes/Winters |
| Window Types | Material Description | U-Value (W/m2K) | R-Value (W/m2C) | Solar Heat Gain | Visible Light Transmittance (%) |
|---|---|---|---|---|---|
| WN1 | Ordinary glass (base model) | 1.20 | 0.84 | 0.88 | 89 |
| WN2 | Low emissivity clear | 0.48 | 2.08 | 0.76 | 81 |
| WN3 | Low-emissivity hot climate | 0.31 | 3.22 | 0.68 | 74 |
| WN4 | Low-emissivity insulated (filled with argon gas) | 0.26 | 3.84 | 0.68 | 79 |
| WN5 | Low-emissivity 3-pane | 0.33 | 3.03 | 0.67 | 81 |
| WN6 | Vitro glass (coated) | 0.12 | 8.06 | 0.31 | 54 |
| WN7 | Translucent wall panel | 0.34 | 2.94 | 0.66 | 80 |
| Wall Types | Material Description | U-Value (W/m2K) |
|---|---|---|
| WO1 | Masonry wall without insulation | 2.00 |
| WO2 | Masonry wall with insulation | 0.18 |
| WO3 | Wood frame wall without insulation | 2.80 |
| WO4 | Wood frame wall with insulation | 1.20 |
| WO5 | Straw bale wall | 0.17 |
| WO6 | Structurally insulated panels 4.5″ | 0.34 |
| WO7 | Structurally insulated panels 8.25″ | 0.28 |
| WO8 | Insulated concrete foams 10″ | 0.19 |
| WO9 | Insulated concrete foams 14″ | 0.21 |
| Wall Types | Material Description | U-Value (W/m2K) |
|---|---|---|
| WH1 | Metal frame wall without insulation | 2.35 |
| WH2 | Metal frame wall with high insulation | 1.81 |
| WH3 | Structural insulated panel 8.25″ | 0.28 |
| WH4 | Structural insulated panel 12.25″ | 0.21 |
| WH5 | Insulated concrete form 12″ | 0.20 |
| WH6 | Straw Bale Wall | 0.17 |
| Roof Types | Material Description | U-Value (W/m2K) |
|---|---|---|
| RO1 | Continuous deck roof without insulation | 2.60 |
| RO2 | Continuous deck roof with insulation | 0.70 |
| RO3 | Wood frame roof without insulation | 2.80 |
| RO4 | Wood frame roof with high insulation | 0.81 |
| RO5 | Cool roof-R11 insulation over roof deck | 0.78 |
| RO6 | Cool roof-R20 insulation over roof deck | 0.68 |
| RO7 | Structural insulated panel roof 6.25″ | 0.81 |
| RO8 | Structural insulated panel roof 10.25″ | 0.78 |
| Roof Types | Material Description | U-Value (W/m2K) |
|---|---|---|
| RW1 | Metal frame roof without insulation | 3.20 |
| RW2 | Metal frame roof with insulation | 1.52 |
| RW3 | Wood frame roof without insulation | 2.80 |
| RW4 | Wood frame roof with insulation | 0.81 |
| RW5 | Cool Roof-R11 insulation | 0.78 |
| RW6 | Cool Roof-R20 insulation | 0.68 |
| RW7 | Structural insulated panel roof 6.25″ | 0.81 |
| RW8 | Structural insulated panel roof 10.25″ | 0.78 |
| Parameters | Results | Code Allowance |
|---|---|---|
| Cooling | 5.9 kW | 5.7 to 6.7 kW |
| Heating | 3.5 kW | 3.5 to 4.3 kW |
| Buildings | Windows | Walls | Roof |
|---|---|---|---|
| House (MJ/m2/year) | 97.2 (WN1) | 97.4 (WO1) | 114.8 (RO1) |
| 84.0 (WN4) | 90.8 (WO9) | 94.8 (RO2) | |
| Office (MJ/m2/year) | 987.0 (WN1) | 843.3 (WO1) | 937.8 (RO1) |
| 846.7 (WN4) | 804.6 (WO9) | 870.5 (RO2) | |
| Warehouse (MJ/m2/year) | n/a | 665.1 (WH1) | 661.3 (RW1) |
| n/a | 468.4 (WH4) | 497.6 (RW2) |
| Buildings | Water Saved (%) |
|---|---|
| House | 12 |
| Office | 21 |
| Warehouse | 6 |
| Buildings | LEED Points | Expected Certification |
|---|---|---|
| House | 79 | Gold |
| Office | 89 | Platinum |
| Warehouse | 88 | Platinum |
| Buildings | Windows | Walls | Roofs |
|---|---|---|---|
| House | WN1 and WN4 | WO1 and WO9 | RO2 |
| Office | WN1 and WN4 | WO1 and WO9 | RO2 |
| Warehouse | n/a | WH1 and WH4 | RW2 |
| Buildings | Simple Payback Time (SPBT) (Years) | Return on Investment (ROI) (%) |
|---|---|---|
| House | 54 | 1.85 |
| Office | 13 | 7.69 |
| Warehouse | 14 | 7.14 |
Publisher’s Note: MDPI stays neutral with regard to jurisdictional claims in published maps and institutional affiliations. |
© 2022 by the authors. Licensee MDPI, Basel, Switzerland. This article is an open access article distributed under the terms and conditions of the Creative Commons Attribution (CC BY) license (https://creativecommons.org/licenses/by/4.0/).
Share and Cite
Abbas, S.; Saleem, O.; Rizvi, M.A.; Kazmi, S.M.S.; Munir, M.J.; Ali, S. Investigating the Energy-Efficient Structures Using Building Energy Performance Simulations: A Case Study. Appl. Sci. 2022, 12, 9386. https://doi.org/10.3390/app12189386
Abbas S, Saleem O, Rizvi MA, Kazmi SMS, Munir MJ, Ali S. Investigating the Energy-Efficient Structures Using Building Energy Performance Simulations: A Case Study. Applied Sciences. 2022; 12(18):9386. https://doi.org/10.3390/app12189386
Chicago/Turabian StyleAbbas, Safeer, Omer Saleem, Mujasim Ali Rizvi, Syed Minhaj Saleem Kazmi, Muhammad Junaid Munir, and Shahid Ali. 2022. "Investigating the Energy-Efficient Structures Using Building Energy Performance Simulations: A Case Study" Applied Sciences 12, no. 18: 9386. https://doi.org/10.3390/app12189386
APA StyleAbbas, S., Saleem, O., Rizvi, M. A., Kazmi, S. M. S., Munir, M. J., & Ali, S. (2022). Investigating the Energy-Efficient Structures Using Building Energy Performance Simulations: A Case Study. Applied Sciences, 12(18), 9386. https://doi.org/10.3390/app12189386

