Probabilistic Joint Importance-Based Retrofit Strategy for Seismic Risk Mitigation of Transportation Networks
Abstract
:1. Introduction
2. Seismic Risk Assessment and Retrofit Strategy
2.1. Seismic Risk Assessment of Transportation Networks
2.2. Retrofit Strategy for Risk Mitigation
3. Probabilistic Joint Importance-Based Retrofit Strategy
3.1. Importance of Individual Bridge
3.2. Joint Importance of Bridge Set
3.3. Computational Efficiency
4. Network Functionality of Emergency Response
4.1. Network Performance Metric
4.2. Post-Earthquake Network Functionality
5. Illustrative Example
5.1. Transportation Network Parameters
5.2. Seismic Risk and Mitigation Strategy
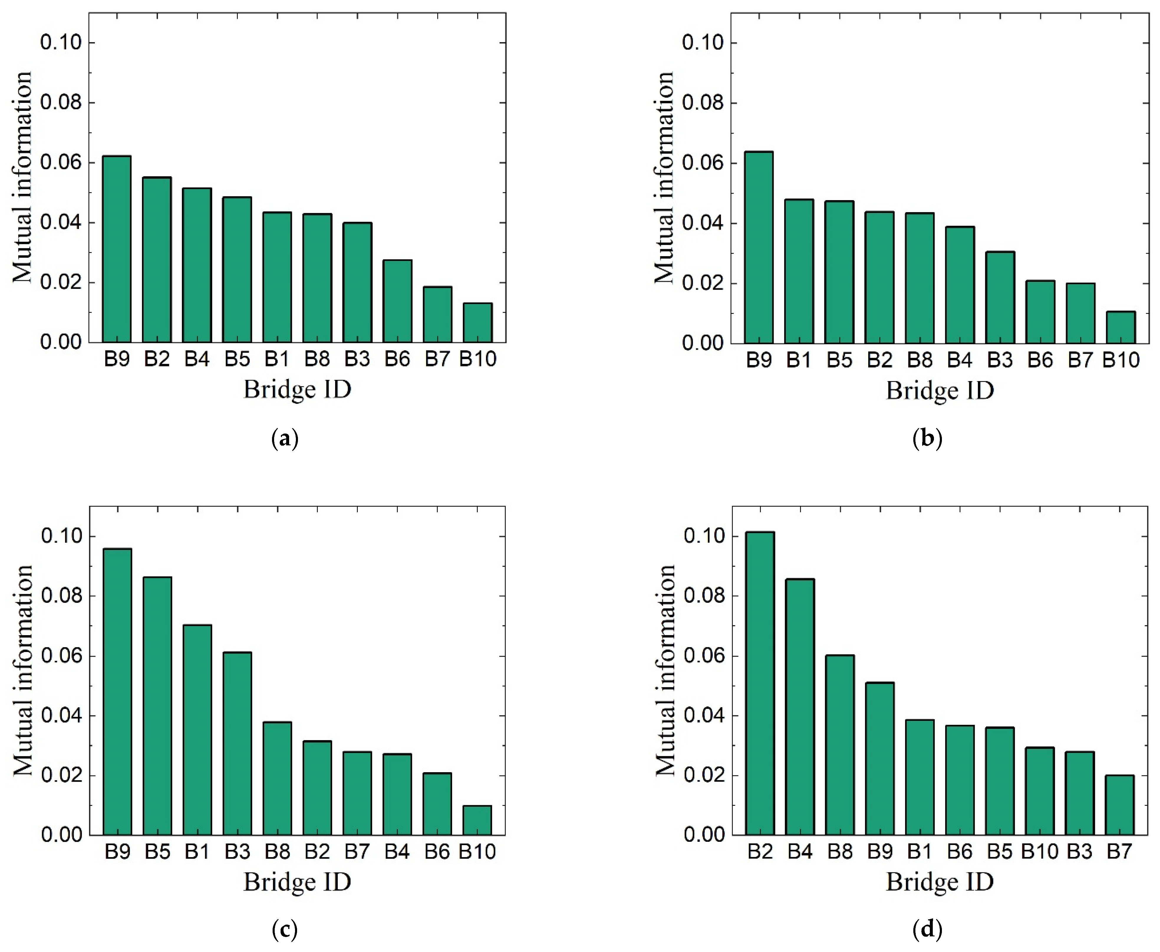
5.3. Importance Ranking of Bridges
5.4. Performance of Mitigation Strategies
5.5. Discussion of Efficiency and Accuracy
6. Conclusions
Author Contributions
Funding
Acknowledgments
Conflicts of Interest
References
- Goda, K.; Kiyota, T.; Pokhrel, R.M.; Chiaro, G.; Katagiri, T.; Sharma, K.; Wilkinson, S. The 2015 Gorkha Nepal Earthquake: Insights from Earthquake Damage Survey. Front. Built Environ. 2015, 1, 1–8. [Google Scholar] [CrossRef]
- Meroni, F.; Squarcina, T.; Pessina, V.; Locati, M.; Modica, M.; Zoboli, R. A Damage Scenario for the 2012 Northern Italy Earthquakes and Estimation of the Economic Losses to Residential Buildings. Int. J. Disaster Risk Sci. 2017, 8, 326–341. [Google Scholar] [CrossRef]
- Jacques, C.C.; McIntosh, J.; Giovinazzi, S.; Kirsch, T.D.; Wilson, T.; Mitrani-Reiser, J. Resilience of the Canterbury Hospital System to the 2011 Christchurch Earthquake. Earthq. Spectra 2014, 30, 533–554. [Google Scholar] [CrossRef]
- Yuan, Y. Impact of intensity and loss assessment following the great Wenchuan Earthquake. Earthq. Eng. Eng. Vib. 2008, 7, 247–254. [Google Scholar] [CrossRef]
- Action Plan for National Recovery and Development of Haiti. Haiti Earthquake PDNA: Assessment of Damage, Losses, General and Sectoral Needs. Assessment 2010. Available online: https://documents1.worldbank.org/curated/en/355571468251125062/pdf/701020ESW0P1190R0Haiti0PDNA020100EN.pdf (accessed on 21 August 2022).
- Feng, K.; Li, Q.; Ellingwood, B.R. Post-earthquake modelling of transportation networks using an agent-based model. Struct. Infrastruct. Eng. 2020, 16, 1578–1592. [Google Scholar] [CrossRef]
- Zhou, Y.; Wang, J.; Yang, H. Resilience of Transportation Systems: Concepts and Comprehensive Review. IEEE Trans. Intell. Transp. Syst. 2019, 20, 4262–4276. [Google Scholar] [CrossRef]
- Rohr, A.; Priesmeier, P.; Tzavella, K.; Fekete, A. System Criticality of Road Network Areas for Emergency Management Services—Spatial Assessment Using a Tessellation Approach. Infrastructures 2020, 5, 99. [Google Scholar] [CrossRef]
- Galindo, G.; Batta, R. Review of recent developments in OR/MS research in disaster operations management. Eur. J. Oper. Res. 2013, 230, 201–211. [Google Scholar] [CrossRef]
- Shi, Y.; Xiang, Y.; Xiao, H.; Xing, L. Joint optimization of budget allocation and maintenance planning of multi-facility transportation infrastructure systems. Eur. J. Oper. Res. 2020, 288, 382–393. [Google Scholar] [CrossRef]
- Li, Y.; Dong, Y.; Frangopol, D.M.; Gautam, D. Long-term resilience and loss assessment of highway bridges under multiple natural hazards. Struct. Infrastruct. Eng. 2020, 16, 626–641. [Google Scholar] [CrossRef]
- Toma-Danila, D.; Armas, I.; Tiganescu, A. Network-risk: An open GIS toolbox for estimating the implications of transportation network damage due to natural hazards, tested for Bucharest, Romania. Nat. Hazards Earth Syst. Sci. 2020, 20, 1421–1439. [Google Scholar] [CrossRef]
- Gan, L.; Xu, J. Retrofitting Transportation Network Using a Fuzzy Random Multiobjective Bilevel Model to Hedge against Seismic Risk. Abstr. Appl. Anal. 2014, 2014, 1–24. [Google Scholar] [CrossRef]
- Liu, C.; Ouyang, M.; Wang, N.; Mao, Z.; Xu, X. A heuristic method to identify optimum seismic retrofit strategies for critical infrastructure systems. Comput. Civ. Infrastruct. Eng. 2021, 36, 996–1012. [Google Scholar] [CrossRef]
- Tao, W.; Lin, P.; Wang, N. Optimum life-cycle maintenance strategies of deteriorating highway bridges subject to seismic hazard by a hybrid Markov decision process model. Struct. Saf. 2021, 89, 102042. [Google Scholar] [CrossRef]
- Huang, Y.; Parmelee, S.; Pang, W. Optimal Retrofit Scheme for Highway Network under Seismic Hazards. Int. J. Transp. Sci. Technol. 2014, 3, 109–128. [Google Scholar] [CrossRef]
- Peeta, S.; Salman, F.S.; Gunnec, D.; Viswanath, K. Pre-disaster investment decisions for strengthening a highway network. Comput. Oper. Res. 2010, 37, 1708–1719. [Google Scholar] [CrossRef]
- Du, L.; Peeta, S. A Stochastic Optimization Model to Reduce Expected Post-Disaster Response Time Through Pre-Disaster Investment Decisions. Networks Spat. Econ. 2014, 14, 271–295. [Google Scholar] [CrossRef]
- Gomez, C.; Baker, J.W. An optimization-based decision support framework for coupled pre- and post-earthquake infrastructure risk management. Struct. Saf. 2019, 77, 1–9. [Google Scholar] [CrossRef]
- Chu, J.C.; Chen, S.-C. Optimization of Transportation-Infrastructure-System Protection Considering Weighted Connectivity Reliability. J. Infrastruct. Syst. 2016, 22, 264. [Google Scholar] [CrossRef]
- Bocchini, P.; Frangopol, D.M. Optimal Resilience- and Cost-Based Postdisaster Intervention Prioritization for Bridges along a Highway Segment. J. Bridg. Eng. 2012, 17, 117–129. [Google Scholar] [CrossRef]
- Dong, Y.; Frangopol, D.M.; Saydam, D. Pre-Earthquake Multi-Objective Probabilistic Retrofit Optimization of Bridge Networks Based on Sustainability. J. Bridg. Eng. 2014, 19, 04014018. [Google Scholar] [CrossRef]
- Zhang, W.; Wang, N. Resilience-based risk mitigation for road networks. Struct. Saf. 2016, 62, 57–65. [Google Scholar] [CrossRef]
- Yan, Y.; Hong, L.; He, X.; Ouyang, M.; Peeta, S.; Chen, X. Pre-disaster investment decisions for strengthening the Chinese railway system under earthquakes. Transp. Res. Part E Logist. Transp. Rev. 2017, 105, 39–59. [Google Scholar] [CrossRef]
- Chang, L.; Peng, F.; Ouyang, Y.; Elnashai, A.S.; Spencer, B.F. Bridge Seismic Retrofit Program Planning to Maximize Postearthquake Transportation Network Capacity. J. Infrastruct. Syst. 2012, 18, 75–88. [Google Scholar] [CrossRef]
- Jayaram, N.; Baker, J.W. Efficient sampling and data reduction techniques for probabilistic seismic lifeline risk assessment. Earthq. Eng. Struct. Dyn. 2010, 39, 1109–1131. [Google Scholar] [CrossRef]
- Pitilakis, K.; Argyroudis, S.; Kakderi, K.; Selva, J. Systemic Vulnerability and Risk Assessment of Transportation Systems under Natural Hazards Towards More Resilient and Robust Infrastructures. Transp. Res. Procedia 2016, 14, 1335–1344. [Google Scholar] [CrossRef]
- Liu, L.; Yang, D.Y.; Frangopol, D.M. Network-Level Risk-Based Framework for Optimal Bridge Adaptation Management Considering Scour and Climate Change. J. Infrastruct. Syst. 2020, 26, 516. [Google Scholar] [CrossRef]
- Federal Highway Administration. Recording, and Coding Guide for the Structure Inventory and Appraisal of the Nation’s Bridges; Federal Highway Administration: Washington, DC, USA, 1995.
- Buckle, I.G.; Friedland, I.M. A Seismic Retrofitting Manual for Highway Bridges; United States Federal Highway Administration, Office of Engineering and Highway Operations: Washington, DC, USA, 1994.
- Zhang, N.; Alipour, A. A two-level mixed-integer programming model for bridge replacement prioritization. Comput. Civ. Infrastruct. Eng. 2020, 35, 116–133. [Google Scholar] [CrossRef]
- Contreras-Nieto, C.; Shan, Y.; Lewis, P.; Hartell, J.A. Bridge maintenance prioritization using analytic hierarchy process and fusion tables. Autom. Constr. 2019, 101, 99–110. [Google Scholar] [CrossRef]
- Yousefi, A.; Ahamad, M.S.S.; Majid, T.A. Application of Topsis Method in Prioritization of Highway Bridges for Seismic Retrofitting. Eng. Struct. Technol. 2014, 6, 114–123. [Google Scholar] [CrossRef]
- D’Apuzzo, M.; Evangelisti, A.; Nicolosi, V.; Rasulo, A.; Santilli, D.; Zullo, M. A Simplified Approach for the Prioritization of Bridge Stock Seismic Retrofitting. In Proceedings of the Proceedings of the 29th European Safety and Reliability Conference, Hannover, Germany, 26–29 September 2019. [Google Scholar]
- Das, R.; Nakano, M. A multi-criteria decision-making model using socio-technical attributes for transportation bridge maintenance prioritisation. Int. J. Constr. Manag. 2021, 1, 1–7. [Google Scholar] [CrossRef]
- Dueñas-Osorio, L.; Vemuru, S.M. Cascading failures in complex infrastructure systems. Struct. Saf. 2009, 31, 157–167. [Google Scholar] [CrossRef]
- Sun, W.; Zeng, A. Target recovery in complex networks. Eur. Phys. J. B 2017, 90, 10. [Google Scholar] [CrossRef]
- Zhao, T.; Sun, L. Seismic resilience assessment of critical infrastructure-community systems considering looped interdependences. Int. J. Disaster Risk Reduct. 2021, 59, 102246. [Google Scholar] [CrossRef]
- Ukkusuri, S.V.; Yushimito, W.F. A methodology to assess the criticality of highway transportation networks. J. Transp. Secur. 2009, 2, 29–46. [Google Scholar] [CrossRef]
- Chen, M.; Mangalathu, S.; Jeon, J.-S. Bridge fragilities to network fragilities in seismic scenarios: An integrated approach. Eng. Struct. 2021, 237, 112212. [Google Scholar] [CrossRef]
- Cui, H.; Wang, F.; Li, X.; Zhu, M. Reinforcement and optimization of seismic connectivity of key transportation hubs based on minimum cost. Phys. A Stat. Mech. its Appl. 2020, 540, 123231. [Google Scholar] [CrossRef]
- Rokneddin, K.; Ghosh, J.; Dueñas-Osorio, L.; Padgett, J.E. Bridge retrofit prioritisation for ageing transportation networks subject to seismic hazards. Struct. Infrastruct. Eng. 2013, 9, 1050–1066. [Google Scholar] [CrossRef]
- Tak, H.-Y.; Suh, W.; Lee, Y.-J. System-Level Seismic Risk Assessment of Bridge Transportation Networks Employing Probabilistic Seismic Hazard Analysis. Math. Probl. Eng. 2019, 2019, 1–17. [Google Scholar] [CrossRef]
- Liu, L.; Frangopol, D.M.; Mondoro, A.; Yang, D.Y. Sustainability-Informed Bridge Ranking under Scour Based on Transportation Network Performance and Multiattribute Utility. J. Bridg. Eng. 2018, 23, 04018082. [Google Scholar] [CrossRef]
- Wang, Z.; Jia, G. Efficient sample-based approach for effective seismic risk mitigation of transportation networks. Sustain. Resilient Infrastruct. 2020, 5, 349–364. [Google Scholar] [CrossRef]
- Vaziri, P.; Davidson, R.; Apivatanagul, P.; Nozick, L. Identification of Optimization-Based Probabilistic Earthquake Scenarios for Regional Loss Estimation. J. Earthq. Eng. 2012, 16, 296–315. [Google Scholar] [CrossRef]
- Kilanitis, I.; Sextos, A. Integrated seismic risk and resilience assessment of roadway networks in earthquake prone areas. Bull. Earthq. Eng. 2019, 17, 181–210. [Google Scholar] [CrossRef]
- Campbell, K.W.; Bozorgnia, Y. NGA Ground Motion Model for the Geometric Mean Horizontal Component of PGA, PGV, PGD and 5% Damped Linear Elastic Response Spectra for Periods Ranging from 0.01 to 10 s. Earthq. Spectra 2008, 24, 139–171. [Google Scholar] [CrossRef]
- Jayaram, N.; Baker, J.W. Correlation model for spatially distributed ground-motion intensities. Earthq. Eng. Struct. Dyn. 2009, 38, 1687–1708. [Google Scholar] [CrossRef]
- Gardoni, P.; Mosalam, K.M.; DER Kiureghian, A. Probabilistic Seismic Demand Models and Fragility Estimates for Rc Bridges. J. Earthq. Eng. 2003, 7, 79–106. [Google Scholar] [CrossRef]
- Nielson, B.G.; Desroches, R. Analytical Seismic Fragility Curves for Typical Bridges in the Central and Southeastern United States. Earthq. Spectra 2007, 23, 615–633. [Google Scholar] [CrossRef]
- de Silva, F.; Fabozzi, S.; Nikitas, N.; Bilotta, E.; Fuentes, R. Seismic vulnerability of circular tunnels in sand. Geotechnique 2021, 71, 1056–1070. [Google Scholar] [CrossRef]
- Capacci, L.; Biondini, F.; Titi, A. Lifetime seismic resilience of aging bridges and road networks. Struct. Infrastruct. Eng. 2020, 16, 266–286. [Google Scholar] [CrossRef]
- Liu, K.; Zhai, C.; Dong, Y. Optimal restoration schedules of transportation network considering resilience. Struct. Infrastruct. Eng. 2021, 7, 1141–1154. [Google Scholar] [CrossRef]
- Tao, W.; Wang, N.; Ellingwood, B.; Nicholson, C. Enhancing bridge performance following earthquakes using Markov decision process. Struct. Infrastruct. Eng. 2020, 17, 62–73. [Google Scholar] [CrossRef]
- Federal Emergency Management Agency (FEMA). Multi-Hazard Loss Estimation Methodology (HAZUS-MH 2.1); Department of Homeland Security, Federal Emergency Management Agency, Mitigation Division: Washington, DC, USA, 2012.
- Nikitas, N.; Macdonald, J.H.; Jakobsen, J.B. Identification of flutter derivatives from full-scale ambient vibration measurements of the Clifton Suspension Bridge. Wind Struct. Int. J. 2011, 14, 221–238. [Google Scholar] [CrossRef]
- Acampora, A.; Macdonald, J.; Georgakis, C.; Nikitas, N. Identification of aeroelastic forces and static drag coefficients of a twin cable bridge stay from full-scale ambient vibration measurements. J. Wind Eng. Ind. Aerodyn. 2014, 124, 90–98. [Google Scholar] [CrossRef]
- Papadopoulos, S.P.; Sextos, A.G. Anti-symmetric mode excitation and seismic response of base-isolated bridges under asynchronous input motion. Soil Dyn. Earthq. Eng. 2018, 113, 148–161. [Google Scholar] [CrossRef]
- Chang, S.E.; Shinozuka, M.; Moore, J.E. Probabilistic Earthquake Scenarios: Extending Risk Analysis Methodologies to Spatially Distributed Systems. Earthq. Spectra 2000, 16, 557–572. [Google Scholar] [CrossRef]
- Guo, A.; Liu, Z.; Li, S.; Li, H. Seismic performance assessment of highway bridge networks considering post-disaster traffic demand of a transportation system in emergency conditions. Struct. Infrastruct. Eng. 2017, 13, 1523–1537. [Google Scholar] [CrossRef]
- Ip, W.H.; Wang, D. Resilience and Friability of Transportation Networks: Evaluation, Analysis and Optimization. IEEE Syst. J. 2011, 5, 189–198. [Google Scholar] [CrossRef]
- Zhang, W.; Wang, N.; Nicholson, C. Resilience-based post-disaster recovery strategies for road-bridge networks. Struct. Infrastruct. Eng. 2017, 13, 1404–1413. [Google Scholar] [CrossRef]
- Karamlou, A.; Bocchini, P. Optimal Bridge Restoration Sequence for Resilient Transportation Networks. In Proceedings of the Structures Congress, Boston, MA, USA, 3–5 April 2014. [Google Scholar] [CrossRef]
- Merschman, E.; Doustmohammadi, M.; Salman, A.M.; Anderson, M. Postdisaster Decision Framework for Bridge Repair Prioritization to Improve Road Network Resilience. Transp. Res. Rec. J. Transp. Res. Board 2020, 2674, 81–92. [Google Scholar] [CrossRef]
- Zhang, X.; Miller-Hooks, E.; Denny, K. Assessing the role of network topology in transportation network resilience. J. Transp. Geogr. 2015, 46, 35–45. [Google Scholar] [CrossRef]
- Holland, J.H. Genetic Algorithms and Adaptation. In Adaptive Control of Ill-Defined Systems; Springer: Berlin/Heidelberg, Germany, 1984. [Google Scholar]
- Franchin, P.; Lupoi, A.; Pinto, P.E. On The Role of Road Networks in Reducing Human Losses after Earthquakes. J. Earthq. Eng. 2006, 10, 195–206. [Google Scholar] [CrossRef]
- Dong, Y.; Frangopol, D.M. Probabilistic assessment of an interdependent healthcare–bridge network system under seismic hazard. Struct. Infrastruct. Eng. 2017, 13, 160–170. [Google Scholar] [CrossRef]
- Khademi, N.; Balaei, B.; Shahri, M.; Mirzaei, M.; Sarrafi, B.; Zahabiun, M.; Mohaymany, A.S. Transportation network vulnerability analysis for the case of a catastrophic earthquake. Int. J. Disaster Risk Reduct. 2015, 12, 234–254. [Google Scholar] [CrossRef]
- Yu, Y.-C.; Gardoni, P. Predicting road blockage due to building damage following earthquakes. Reliab. Eng. Syst. Saf. 2022, 219, 108220. [Google Scholar] [CrossRef]
- Hsieh, C.-H.; Feng, C.-M. The highway resilience and vulnerability in Taiwan. Transp. Policy 2020, 87, 1–9. [Google Scholar] [CrossRef]
- Karamlou, A.; Bocchini, P. Sequencing algorithm with multiple-input genetic operators: Application to disaster resilience. Eng. Struct. 2016, 117, 591–602. [Google Scholar] [CrossRef]
- Giovinazzi, S.; Nicholson, A. Transport Network Reliability in Seismic Risk Analysis and Management. In Proceedings of the 14th European Conference on Earthquake Engineering, Ohrid, Macedonia, 30 August–3 September 2010; p. 933. [Google Scholar]
- Liu, K.; Zhai, C.; Dong, Y.; Meng, X. Post-Earthquake Functionality Assessment of Urban Road Network Considering Emergency Response. J. Earthq. Eng. 2022, 1, 1–26. [Google Scholar] [CrossRef]
- Chang, S.; Nojima, N. Measuring post-disaster transportation system performance: The 1995 Kobe earthquake in comparative perspective. Transp. Res. Part A Policy Pr. 2001, 35, 475–494. [Google Scholar] [CrossRef]
- Sohn, J. Evaluating the significance of highway network links under the flood damage: An accessibility approach. Transp. Res. Part A Policy Pr. 2006, 40, 491–506. [Google Scholar] [CrossRef]
- Günneç, D.; Salman, F.S. Assessing the reliability and the expected performance of a network under disaster risk. OR Spektrum 2011, 33, 499–523. [Google Scholar] [CrossRef]
- Dueñas-osorio, L.A. Interdependent Response of Networked Systems to Natural Hazards and Intentional Disruptions Inter-dependent Response of Networked Systems to Natural Hazards and Intentional Disruptions. Public Policy 2005. Ph.D. Thesis, Georgia Institute of Technology, Atlanta, GA, USA, 2005. [Google Scholar]
- Dijkstra, E.W. A note on two problems in connexion with graphs. Numer. Math. 1959, 1, 269–271. [Google Scholar] [CrossRef]
- Floyd, R.W. Algorithm 97: Shortest path. Commun. ACM 1962, 5, 345. [Google Scholar] [CrossRef]
- Kurauchi, F.; Uno, N.; Sumalee, A.; Seto, Y. Network Evaluation Based on Connectivity Vulnerability. In Transportation and Traffic Theory 2009: Golden Jubilee; Springer: Berlin/Heidelberg, Germany, 2009; pp. 637–649. [Google Scholar]
- Padgett, J.E.; Desroches, R. Retrofitted Bridge Fragility Analysis for Typical Classes of Multispan Bridges. Earthq. Spectra 2009, 25, 117–141. [Google Scholar] [CrossRef]
- Shinozuka, M.; Zhou, Y.; Kim, S.; Murachi, Y.; Banerjee, S.; Cho, S.; Chung, H. Socio-Economic Effect of Seismic Retrofit Im-Plemented on Bridges in the Los Angeles Highway Network; California Department of Transportation: Sacramento, CA, USA, 2005. [Google Scholar]
- Dong, Y.; Frangopol, D.; Sabatino, S. Optimizing Bridge Network Retrofit Planning Based on Cost-Benefit Evaluation and Multi-Attribute Utility Associated with Sustainability. Earthq. Spectra 2015, 31, 2255–2280. [Google Scholar] [CrossRef]





| Damage Level | Residual Rate | |
|---|---|---|
| Traffic Capacity | Travel Speed | |
| None | 100% | 100% |
| Slight | 70% | 75% |
| Moderate | 30% | 50% |
| Over extensive | 0% | 0% |
| Damage State | Slight | Moderate | Extensive | |||
|---|---|---|---|---|---|---|
| Parameters | Median | Dispersion | Median | Dispersion | Median | Dispersion |
| Class 1 | 0.3 | 0.6 | 0.4 | 0.6 | 0.5 | 0.6 |
| Class 2 | 0.4 | 0.6 | 0.6 | 0.6 | 0.8 | 0.6 |
| No. of Case | Bridge ID of Class 1 | Bridge ID of Class 2 |
|---|---|---|
| Case 1 | 1, 2, 3, 4, 5, 6, 7, 8, 9, 10 | None |
| Case 2 | None | 1, 2, 3, 4, 5, 6, 7, 8, 9, 10 |
| Case 3 | 1, 3, 5, 7, 9 | 2, 4, 6, 8, 10 |
| Case 4 | 2, 4, 6, 8, 10 | 1, 3, 5, 7, 9 |
| No. of Case | ||||
|---|---|---|---|---|
| BC-Based | RE-Based | MI-Based | JMI-Based | |
| Case 1 | 14.58% | 8.33% | 1.20% | 0.66% |
| Case 2 | 5.42% | 7.07% | 0.52% | 0.11% |
| Case 3 | 58.53% | 33.74% | 1.40% | 0.76% |
| Case 4 | 14.61% | 33.47% | 1.41% | 0.21% |
| Case 1 | Case 2 | |||
| Optimal | JMI-Based | Optimal | JMI-Based | |
| 1 | 9 | 9 | 9 | 9 |
| 2 | 5, 9 | 2, 9 | 5, 9 | 5, 9 |
| 3 | 2, 5, 9 | 2, 5, 9 | 5, 8, 9 | 1, 5, 9 |
| 4 | 2, 4, 5, 9 | 2, 4, 5, 9 | 2, 5, 8, 9 | 1, 5, 8, 9 |
| 5 | 1, 2, 4, 5, 9 | 2, 4, 5, 8, 9 | 1, 2, 5, 8, 9 | 1, 2, 5, 8, 9 |
| 6 | 1, 2, 4, 5, 8, 9 | 1, 2, 4, 5, 8, 9 | 1, 2, 4, 5, 8, 9 | 1, 2, 4, 5, 8, 9 |
| 7 | 1, 2, 3, 4, 5, 8, 9 | 1, 2, 3, 4, 5, 8, 9 | 1, 2, 3, 4, 5, 8, 9 | 1, 2, 3, 4, 5, 8, 9 |
| 8 | 1, 2, 3, 4, 5, 7, 8, 9 | 1, 2, 3, 4, 5, 6, 8, 9 | 1, 2, 3, 4, 5, 6, 8, 9 | 1, 2, 3, 4, 5, 6, 8, 9 |
| 9 | 1, 2, 3, 4, 5, 6, 7, 8, 9 | 1, 2, 3, 4, 5, 6, 7, 8, 9 | 1, 2, 3, 4, 5, 6, 7, 8, 9 | 1, 2, 3, 4, 5, 6, 7, 8, 9 |
| Case 3 | Case 4 | |||
| Optimal | JMI-Based | Optimal | JMI-Based | |
| 1 | 9 | 9 | 2 | 2 |
| 2 | 5, 9 | 5, 9 | 2, 4 | 2, 4 |
| 3 | 1, 5, 9 | 1, 5, 9 | 2, 4, 8 | 2, 4, 8 |
| 4 | 1, 3, 5, 9 | 1, 3, 5, 9 | 2, 4, 6, 8 | 2, 4, 8, 9 |
| 5 | 1, 3, 5, 7, 9 | 1, 3, 5, 8, 9 | 2, 4, 6, 8, 9 | 2, 4, 6, 8, 9 |
| 6 | 1, 3, 5, 7, 8, 9 | 1, 3, 5, 7, 8, 9 | 2, 4, 5, 6, 8, 9 | 2, 4, 5, 6, 8, 9 |
| 7 | 1, 2, 3, 5, 7, 8, 9 | 1, 2, 3, 5, 7, 8, 9 | 1, 2, 4, 5, 6, 8, 9 | 2, 4, 5, 6, 8, 9, 10 |
| 8 | 1, 2, 3, 4, 5, 7, 8, 9 | 1, 2, 3, 4, 5, 7, 8, 9 | 1, 2, 4, 5, 6, 8, 9, 10 | 1, 2, 4, 5, 6, 8, 9, 10 |
| 9 | 1, 2, 3, 4, 5, 6, 7, 8, 9 | 1, 2, 3, 4, 5, 6, 7, 8, 9 | 1, 2, 3, 4, 5, 6, 8, 9, 10 | 1, 2, 3, 4, 5, 6, 8, 9, 10 |
Publisher’s Note: MDPI stays neutral with regard to jurisdictional claims in published maps and institutional affiliations. |
© 2022 by the authors. Licensee MDPI, Basel, Switzerland. This article is an open access article distributed under the terms and conditions of the Creative Commons Attribution (CC BY) license (https://creativecommons.org/licenses/by/4.0/).
Share and Cite
Liu, K.; Zhai, C.; Meng, X. Probabilistic Joint Importance-Based Retrofit Strategy for Seismic Risk Mitigation of Transportation Networks. Appl. Sci. 2022, 12, 9307. https://doi.org/10.3390/app12189307
Liu K, Zhai C, Meng X. Probabilistic Joint Importance-Based Retrofit Strategy for Seismic Risk Mitigation of Transportation Networks. Applied Sciences. 2022; 12(18):9307. https://doi.org/10.3390/app12189307
Chicago/Turabian StyleLiu, Kezhi, Changhai Zhai, and Xianghai Meng. 2022. "Probabilistic Joint Importance-Based Retrofit Strategy for Seismic Risk Mitigation of Transportation Networks" Applied Sciences 12, no. 18: 9307. https://doi.org/10.3390/app12189307
APA StyleLiu, K., Zhai, C., & Meng, X. (2022). Probabilistic Joint Importance-Based Retrofit Strategy for Seismic Risk Mitigation of Transportation Networks. Applied Sciences, 12(18), 9307. https://doi.org/10.3390/app12189307
