Lattice Boltzmann Simulation of Non-Steady-State Particulate Matter Filtration Process in Woven Fiber
Abstract
:1. Introduction
2. Materials and Methods
2.1. LB Model for Fluid Flow
2.2. CA Model for Particle Movement
2.3. Simulation Details
2.4. Model Verification
3. Results and Discussion
3.1. Particle Dendrites of the Woven Fibers
3.2. Factors That Impact the Filtration Process
3.2.1. Aspect Ratio
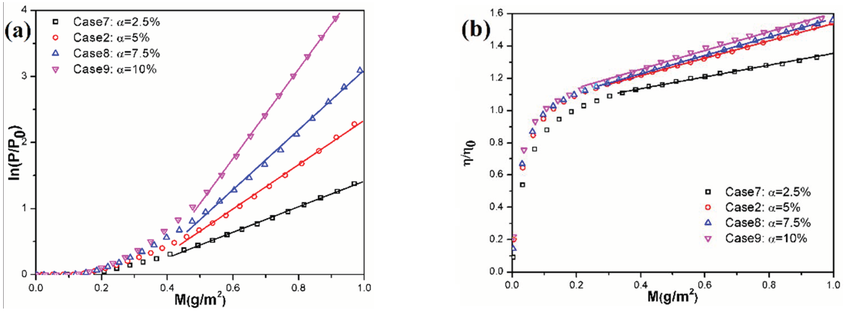
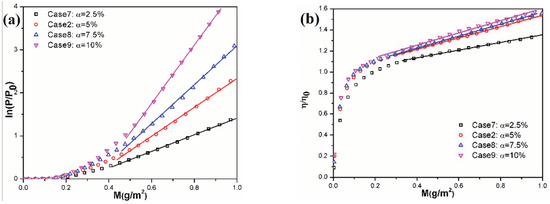
3.2.2. Packing Density
3.2.3. Inlet Fluid Velocity
3.3. Discussions
4. Conclusions
- The particle diameter and fiber shape (aspect ratio) have a significant influence on the angular distribution of particle dendrites, whereas the fiber size (packing density) has no obvious impact on the dendrite morphologies of submicron particles.
- The normalized pressure drop (ΔP/ΔP0) is an exponential function of the mass of deposited particles (M), taking the form ln(ΔP/ΔP0) = kM + b, where k is positively correlated to the fiber perimeter. Woven fibers with a larger aspect ratio or packing density will lead to a higher rate of increase in the normalized pressure drop.
- The normalized capture efficiency (η/η0) is a linear function of the mass of deposited particles, which can be expressed as η/η0 = λM + γ.
- The slope λ cannot keep rising as the packing density increases, and so it is not advisable to increase the packing density too much in the design of filtration media.
Author Contributions
Funding
Institutional Review Board Statement
Informed Consent Statement
Data Availability Statement
Conflicts of Interest
References
- Ahmed, F.E.; Lalia, B.S.; Hashaikeh, R. A review on electrospinning for membrane fabrication: Challenges and applications. Desalination 2015, 356, 15–30. [Google Scholar] [CrossRef]
- Wu, H.; Yao, C.; Li, C.; Miao, M.; Zhong, Y.; Lu, Y.; Liu, T. Review of application and innovation of geotextiles in geotechnical engineering. Materials 2020, 13, 1774. [Google Scholar] [CrossRef]
- Ramarao, B.V.; Tien, C.; Mohan, S. Calculation of single fiber efficiencies for interception and impaction with superposed brownian motion. J. Aerosol Sci. 1994, 25, 295–313. [Google Scholar] [CrossRef]
- Stechkina, I.B.; Fuchs, N.A. Studies on fibrous aerosol filters—I. calculation of diffusional deposition of aerosols in fibrous filters. Ann. Occup. Hyg. 1966, 9, 59–64. [Google Scholar]
- Kirsch, A.A.; Fuchs, N.A. Studies on fibrous aerosol filters—II. Pressure drops in systems of parallel cylinders. Ann. Occup. Hyg. 1967, 10, 23–30. [Google Scholar]
- Kirsch, A.A.; Fuchs, N.A. Studies on fibrous aerosol filters—iii diffusional deposition of aerosols in fibrous filters. Ann. Occup. Hyg. 1968, 11, 299–304. [Google Scholar]
- Liu, Z.G.; Wang, P.K. Pressure drop and interception efficiency of multifiber filters. Aerosol Sci. Technol. 1997, 26, 313–325. [Google Scholar] [CrossRef]
- Thomas, D.; Penicot, P.; Contal, P.; Leclerc, D.; Vendel, J. Clogging of fibrous filters by solid aerosol particles experimental and modelling study. Chem. Eng. Sci. 2001, 56, 3549–3561. [Google Scholar] [CrossRef]
- Zhao, Z.M.; Tardos, G.I.; Pfeffer, R. Separation of airborne dust in electrostatically enhanced fibrous filters. Chem. Eng. Commun. 1991, 108, 307–332. [Google Scholar] [CrossRef]
- Li, X.; Qin, H.; You, Z.; Yao, W. Prediction of the particles collection and pressure-drop characteristics across fibrous media. Sci. Technol. Built Environ. 2018, 24, 638–647. [Google Scholar] [CrossRef]
- Fan, J.; Lominé, F.; Hellou, M. A numerical analysis of pressure drop and particle capture efficiency by rectangular fibers using lb-de methods. Acta Mech. 2018, 229, 2843–2860. [Google Scholar] [CrossRef]
- Won, J.; Lee, D.; Pham, K.; Lee, H.; Choi, H. Impact of particle size distribution of colloidal particles on contaminant transport in porous media. Appl.Sci. 2019, 9, 932. [Google Scholar] [CrossRef]
- Fan, J.; Lominé, F.; Hellou, M. Numerical investigation of the influence of fiber geometry on filtration performance with a coupled lattice boltzmann–discrete element method. J. Appl. Mech. 2019, 87, 011005. [Google Scholar] [CrossRef]
- Chen, L.; Ding, S.; Liang, Z.; Zhou, L.; Zhang, H.; Zhang, C. Filtration efficiency analysis of fibrous filters: Experimental and theoretical study on the sampling of agglomerate particles emitted from a gdi engine. Aerosol Sci. Technol. 2017, 51, 1082–1092. [Google Scholar] [CrossRef]
- Tian, X.; Ou, Q.; Liu, J.; Liang, Y.; Pui, D.Y.H. Particle loading characteristics of a two-stage filtration system. Sep. Purif. Technol. 2019, 215, 351–359. [Google Scholar] [CrossRef]
- Dembiński, C.; Potok, Z.; Dolny, S.; Kminiak, R.; Rogoziński, T. Performance of filter bags used in industrial pulse-jet baghouses in wood-based panels furniture factory. Appl. Sci. 2021, 11, 8965. [Google Scholar] [CrossRef]
- Lehmann, M.J.; Hiel, S.; Nibler, E.; Durst, M. Filtration performance simulations based on 3d structural data of real filter media. J. Kones 2008, 15, 277–284. [Google Scholar]
- Vinh, N.D.; Kim, H.-M. Electrospinning fabrication and performance evaluation of polyacrylonitrile nanofiber for air filter applications. Appl. Sci. 2016, 6, 235. [Google Scholar] [CrossRef]
- Huang, H.; Zheng, C.; Zhao, H. Numerical investigation on non-steady-state filtration of elliptical fibers for submicron particles in the “greenfield gap” range. J. Aerosol Sci. 2017, 114, 263–275. [Google Scholar] [CrossRef]
- Zoller, J.; Zargaran, A.; Braschke, K.; Meyer, J.; Janoske, U.; Dittler, A. Morphology of particulate deposits formed on a single filter fibre by exposure to mixed aerosol flow. J. Aerosol Sci. 2021, 152, 105718. [Google Scholar] [CrossRef]
- Anda, I.R.D.; Wilkins, J.W.; Robinson, J.F.; Royall, C.P.; Sear, R.P. Modeling the filtration efficiency of a woven fabric: The role of multiple lengthscales. Phys. Fluids 2022, 34, 033301. [Google Scholar] [CrossRef] [PubMed]
- Kothari, V.K.; Das, A.; Singh, S. Filtration behaviour of woven and nonwoven fabrics. Indian J. Fibre Text. Res. 2007, 32, 214–220. [Google Scholar]
- Davies, A.; Thompson, K.-A.; Giri, K.; Kafatos, G.; Walker, J.; Bennett, A. Testing the efficacy of homemade masks: Would they protect in an influenza pandemic? Disaster Med. Public 2013, 7, 413–418. [Google Scholar] [CrossRef]
- Shakya, K.M.; Noyes, A.; Kallin, R.; Peltier, R.E. Evaluating the efficacy of cloth facemasks in reducing particulate matter exposure. J. Exp. Sci. Environ. Epid. 2017, 27, 352–357. [Google Scholar] [CrossRef] [PubMed]
- Liu, Y.; Ning, Z.; Chen, Y.; Guo, M.; Liu, Y.; Gali, N.K.; Sun, L.; Duan, Y.; Cai, J.; Westerdahl, D.; et al. Aerodynamic analysis of sars-cov-2 in two wuhan hospitals. Nature 2020, 582, 557–560. [Google Scholar] [CrossRef]
- Zangmeister, C.D.; Radney, J.G.; Vicenzi, E.P.; Weaver, J.L. Filtration efficiencies of nanoscale aerosol by cloth mask materials used to slow the spread of sars-cov-2. ACS Nano 2020, 14, 9188–9200. [Google Scholar] [CrossRef]
- Hakam, M.; Hashima, W.; Elhawary, I.; Elgeiheini, A. Introducing a newly developed fabric for air filtration. Autex Res. J. 2020, 2, 148–154. [Google Scholar] [CrossRef]
- Wang, Q.; Khan, F.; Wei, L.; Shen, H.; Zhang, C.; Jiang, Q.; Qiu, Y. Filtration properties of carbon woven fabric filters supplied with high voltage for removal of pm 1.0 particles. Sep. Purif. Technol. 2017, 177, 40–48. [Google Scholar] [CrossRef]
- Konda, A.; Prakash, A.; Moss, G.A.; Schmoldt, M.; Grant, G.D.; Guha, S. Aerosol filtration efficiency of common fabrics used in respiratory cloth masks. ACS Nano 2020, 14, 6339–6347. [Google Scholar] [CrossRef]
- Panteleev, I.; Prokhorov, A.; Plekhov, O. Strategies for extracting damage induced ae signals from different type noise-like backgrounds for carbon-fibre reinforced polymers. Appl. Sci. 2021, 11, 7506. [Google Scholar] [CrossRef]
- Dong, M.; Li, J.; Shang, Y.; Li, S. Numerical Investigation on Deposition Process of Submicron Particles in Collision with a Single Cylindrical Fiber. J. Aerosol Sci. 2019, 129, 1–15. [Google Scholar] [CrossRef]
- Pachner, S.; Aigner, M.; Miethlinger, J. A heuristic method for modeling the initial pressure drop in melt filtration using woven screens in polymer recycling. Polym. Eng. Sci. 2019, 59, 1105–1113. [Google Scholar] [CrossRef]
- Gupta, N.; Kumar, A.; Schafrik, S. Laboratory determination of coal dust cleaning efficacy of a fibrous filter for flooded-bed dust scrubber. Minerals 2021, 11, 295. [Google Scholar] [CrossRef]
- Ling, T.Y.; Wang, J.; Pui, D.Y.H. Numerical modeling of nanoparticle penetration through personal protective garments. Sep. Purif. Technol. 2012, 98, 230–239. [Google Scholar] [CrossRef]
- Hund, D.; Schmidt, K.; Ripperger, S.; Antonyuk, S. Direct numerical simulation of cake formation during filtration with woven fabrics. Chem. Eng. Res. Design 2018, 139, 26–33. [Google Scholar] [CrossRef]
- Vernikovskaya, N.V.; Chumachenko, V.A.; Romanenko, A.V.; Dobrynkin, N.M. Filtration of the catalyst suspension in hydrogenated oil through the woven cloth: Mathematical model of the process accounting for dynamics of the cake growth and filter pore blockage. Sep. Purif. Technol. 2019, 212, 355–367. [Google Scholar] [CrossRef]
- Lantermann, U.; HäNel, D. Particle monte carlo and lattice-boltzmann methods for simulations of gas–Particle flows. Comput. Fluids 2007, 36, 407–422. [Google Scholar] [CrossRef]
- Kong, X.; Li, Z.; Cai, D.; Shen, B.; Zhang, Y. Numerical simulation of the particle filtration process inside porous walls using lattice boltzmann method. Chem. Eng. Sci. 2019, 202, 282–299. [Google Scholar] [CrossRef]
- Fu, J.; Zhang, T.; Li, M.; Li, S.; Zhong, X.; Liu, X. Study on flow and heat transfer characteristics of porous media in engine particulate filters based on lattice boltzmann method. Energies 2019, 12, 3319. [Google Scholar] [CrossRef]
- Wang, H.; Zhao, H.; Guo, Z.; Zheng, C. Numerical simulation of particle capture process of fibrous filters using lattice boltzmann two-phase flow model. Powder Technol. 2012, 227, 111–122. [Google Scholar] [CrossRef]
- Wang, H.; Zhao, H.; Wang, K.; He, Y.; Zheng, C. Simulation of filtration process for multi-fiber filter using the lattice-boltzmann two-phase flow model. J. Aerosol Sci. 2013, 66, 164–178. [Google Scholar] [CrossRef]
- Lu, W.M.; Tung, K.L.; Hwang, K.J. Fluid flow through basic weaves of monofilament filter cloth. Text. Res. J. 1996, 66, 311–323. [Google Scholar] [CrossRef]
- Tao, S.; Guo, Z.; Wang, L.-P. Numerical study on the sedimentation of single and multiple slippery particles in a newtonian fluid. Powder Technol. 2017, 315, 126–138. [Google Scholar] [CrossRef]
- Elghobashi, S. On predicting particle-laden turbulent flows. Appl. Sci. Res. 1994, 52, 309–329. [Google Scholar] [CrossRef]















| Model | Packing Density | Aspect Ratio | Equivalent Diameter (μm) | Long Axis (μm) | Short Axis (μm) | Perimeter (μm) |
|---|---|---|---|---|---|---|
| a | 5% | 1 | 22.8 | 22.8 | 22.8 | 71.7 |
| b | 5% | 2 | 22.8 | 32.3 | 16.1 | 133.8 |
| c | 5% | 3 | 22.8 | 39.6 | 13.2 | 177.0 |
| d | 2.5% | 2 | 16.1 | 22.8 | 11.4 | 94.6 |
| e | 7.5% | 2 | 28.0 | 39.6 | 19.8 | 163.8 |
| f | 10% | 2 | 32.3 | 45.7 | 22.8 | 189.2 |
| Case | Packing Density | Aspect Ratio | dp (μm) | uin (m/s) | Perimeter (μm) | Equivalent Diameter (μm) |
|---|---|---|---|---|---|---|
| 1 | 5% | 2 | 0.2 | 0.1 | 133.8 | 22.8 |
| 2 | 5% | 2 | 0.4 | 0.1 | 133.8 | 22.8 |
| 3 | 5% | 2 | 1 | 0.1 | 133.8 | 22.8 |
| 4 | 5% | 2 | 2 | 0.1 | 133.8 | 22.8 |
| 5 | 5% | 1 | 0.4 | 0.1 | 71.7 | 22.8 |
| 6 | 5% | 3 | 0.4 | 0.1 | 177.0 | 22.8 |
| 7 | 2.5% | 2 | 0.4 | 0.1 | 94.6 | 16.1 |
| 8 | 7.5% | 2 | 0.4 | 0.1 | 163.8 | 28.0 |
| 9 | 10% | 2 | 0.4 | 0.1 | 189.2 | 32.3 |
| 10 | 5% | 2 | 0.4 | 0.2 | 133.8 | 22.8 |
| 11 | 5% | 2 | 0.4 | 0.3 | 133.8 | 22.8 |
| Case | Packing Density | Aspect Ratio | k | b | λ | γ |
|---|---|---|---|---|---|---|
| 5 | 5% | 1 | 0.88 | −0.32 | 0.19 | 1.00 |
| 2 | 5% | 2 | 3.36 | −1.02 | 0.53 | 1.00 |
| 6 | 5% | 3 | 4.94 | −0.82 | 1.02 | 1.01 |
| 7 | 2.5% | 2 | 1.93 | −0.52 | 0.36 | 0.99 |
| 8 | 7.5% | 2 | 4.53 | −1.43 | 0.57 | 1.00 |
| 9 | 10% | 2 | 6.78 | −2.31 | 0.58 | 1.01 |
| 10 | 5% | 2 | 3.37 | −1.01 | 0.53 | 1.00 |
| 11 | 5% | 2 | 3.33 | −1.04 | 0.53 | 1.00 |
Publisher’s Note: MDPI stays neutral with regard to jurisdictional claims in published maps and institutional affiliations. |
© 2022 by the authors. Licensee MDPI, Basel, Switzerland. This article is an open access article distributed under the terms and conditions of the Creative Commons Attribution (CC BY) license (https://creativecommons.org/licenses/by/4.0/).
Share and Cite
Zheng, C.; Zhao, H.; Huang, H.; Wang, K.; Wang, H. Lattice Boltzmann Simulation of Non-Steady-State Particulate Matter Filtration Process in Woven Fiber. Appl. Sci. 2022, 12, 9219. https://doi.org/10.3390/app12189219
Zheng C, Zhao H, Huang H, Wang K, Wang H. Lattice Boltzmann Simulation of Non-Steady-State Particulate Matter Filtration Process in Woven Fiber. Applied Sciences. 2022; 12(18):9219. https://doi.org/10.3390/app12189219
Chicago/Turabian StyleZheng, Chaohe, Haibo Zhao, Haokai Huang, Kun Wang, and Haoming Wang. 2022. "Lattice Boltzmann Simulation of Non-Steady-State Particulate Matter Filtration Process in Woven Fiber" Applied Sciences 12, no. 18: 9219. https://doi.org/10.3390/app12189219
APA StyleZheng, C., Zhao, H., Huang, H., Wang, K., & Wang, H. (2022). Lattice Boltzmann Simulation of Non-Steady-State Particulate Matter Filtration Process in Woven Fiber. Applied Sciences, 12(18), 9219. https://doi.org/10.3390/app12189219

