A Quasi-Quadratic Inverse Scattering Approach to Detect and Localize Metallic Bars within a Dielectric
Abstract
:1. Introduction
2. Mathematical Formulation
2.1. Quasi-Quadratic Approximation of the Scattered Field
2.2. Inverse Problem Formulation
3. Discretization and Inversion Algorithm
- , are the data with respect to wavenumber and observation point,
- .
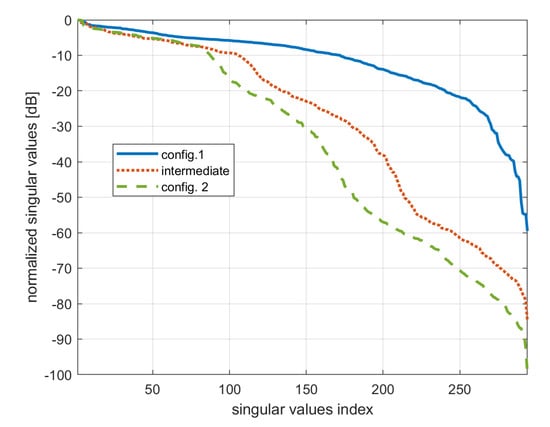
4. Numerical Results
| Quantity | Symbol | Config. 1 | Config. 2 |
|---|---|---|---|
| Measurement line distance from the dielectric | D | 10 cm | 50 cm |
| Measurement line extent | L | 200 cm | 200 cm |
| Number of observation points | 101 | 101 | |
| Minimum frequency (wavenumber) | () | 4 GHz ( m) | 4 GHz ( m) |
| Maximum frequency (wavenumber) | () | 7 GHz ( m) | 5 GHz ( m) |
| Number of frequencies | 101 | 101 |
| Quantity | Symbol | Value |
|---|---|---|
| size along x | W | 0.40 m |
| size along y | P | 0.25 m |
| Dielectric contrast | 3 | |
| bars’ conductivity | S/m | |
| bars’ radius | a | m |
| bars’ candidate number | 294 (see Figure 4) |
5. Conclusions
Funding
Conflicts of Interest
Abbreviations
| NDT | non-destructive testing |
| GPR | ground penetrating radar |
| MFL | magnetic flux leakage |
| TSVD | truncated singular value decomposition |
Appendix A
- (1)
- (2)
- In this case, the addition theorem provides two different expressionsAgain, substituting such expressions in (A5), the integral on makes null the terms of the sum , and only the term survives. Then, the integral along splits as follows:Using again the formula 5.52.1 in [35], the first integral gives:and the second integral results inFinally, summing up and making use of the Wronskian [34], we obtain:
References
- Pastorino, M.; Randazzo, A. Microwave Imaging Methods and Applications; Artech House: Boston, MA, USA, 2018; ISBN 978-1-63081-348-2. [Google Scholar]
- Daniels, D.J. Ground Penetrating Radar, 2nd ed.; Daniels, D.J., Ed.; IEEE Radar Sonar and Navigation Series; The Institution of Electrical Engineers: London, UK, 2004. [Google Scholar]
- Catapano, I.; Crocco, L.; Napoli, R.D.; Soldovieri, F.; Brancaccio, A.; Pesando, F.; Aiello, A. Microwave tomography enhanced GPR surveys in Centaur’s Domus—Regio VI of Pompeii. J. Geophys. Eng. 2012, 9, 92–99. [Google Scholar] [CrossRef]
- Benedetto, A.; Pajewsky, L. Civil Engineering Applications of Ground Penetrating Radar; Springer: Cham, Switzerland, 2015; ISBN 978-3-319-04813-0. [Google Scholar]
- Catapano, I.; Gennarelli, G.; Ludeno, G.; Noviello, C.; Esposito, G.; Soldovieri, F. Contactless Ground Penetrating Radar Imaging: State of the Art, Challenges, and Microwave Tomography-Based Data Processing. IEEE Geosci. Remote. Sens. Mag. 2021, 10, 251–273. [Google Scholar] [CrossRef]
- Wai-Lok Lai, W.; Dérobert, X.; Annan, P. A review of Ground Penetrating Radar application in civil engineering: A 30-year journey from Locating and Testing to Imaging and Diagnosis. NDT E Int. 2018, 96, 58–78. [Google Scholar] [CrossRef]
- Soldovieri, F.; Brancaccio, A.; Prisco, G.; Leone, G.; Pierri, R. A Kirchhoff-based shape reconstruction algorithm for the multimonostatic configuration: The realistic case of buried pipes. IEEE Trans. Geosci. Remote Sens. 2008, 46, 3031–3038. [Google Scholar] [CrossRef]
- Aboudourib, A.; Serhir, M.; Lesselier, D. A processing framework for tree-root reconstruction Using ground-penetrating radar Under heterogeneous soil conditions. IEEE Trans. Geosci. Remote Sens. 2021, 59, 208–219. [Google Scholar] [CrossRef]
- Brancaccio, A.; Leone, G.; Solimene, R. Fault detection in metallic grid scattering. J. Opt. Soc. Am. A 2011, 28, 2588–2599. [Google Scholar] [CrossRef]
- Brancaccio, A.; Solimene, R. Fault detection in dielectric grid scatterers. Opt. Express 2015, 23, 8200–8215. [Google Scholar] [CrossRef]
- Pichot, C.; Trouillet, P. Diagnosis of reinforced structures: An active microwave imaging system. In Bridge Evaluation, Repair and Rehabilitation; Nowak, A.S., Ed.; NATO ASI Series (Series E: Applied Sciences); Springer: Dordrecht, The Netherlands, 1990; Volume 187, pp. 201–215. [Google Scholar] [CrossRef]
- Leucci, G. Electromagnetic monitoring of concrete structures. In Proceedings of the XIII International Conference on Ground Penetrating Radar, Lecce, Italy, 21–25 June 2010; pp. 1–5. [Google Scholar] [CrossRef]
- Polimeno, M.R.; Roselli, I.; Luprano, V.A.M.; Mongelli, M.; Tatì, A.; Canio, G.D. A non-destructive testing methodology for damage assessment of reinforced concrete buildings after seismic events. Eng. Struct. 2018, 163, 122–136. [Google Scholar] [CrossRef]
- Chun, P.-j.; Hayashi, S. Development of a Concrete Floating and Delamination Detection System Using Infrared Thermography. IEEE/ASME Trans. Mechatron. 2021, 26, 2835–2844. [Google Scholar] [CrossRef]
- Bektaş, Ö.; Kurban, Y.C.; Özboylan, B. Development of magnetic flux leakage device as a non-destructive method for structural reinforcement detection. Mater. Construcción 2022, 72, e273. [Google Scholar] [CrossRef]
- Tamhane, D.; Patil, J.; Banerjee, S.; Tallur, S. Feature Engineering of Time-Domain Signals Based on Principal Component Analysis for Rebar Corrosion Assessment Using Pulse Eddy Current. IEEE Sens. J. 2021, 21, 22086–22093. [Google Scholar] [CrossRef]
- Minutolo, V.; Cerri, E.; Coscetta, A.; Damiano, E.; Cristofaro, M.D.; Gennaro, L.D.; Esposito, L.; Ferla, P.; Mirabile, M.; Olivares, L.; et al. NSHT: New smart hybrid transducer for structural and geotechnical applications. Appl. Sci. 2020, 10, 4498. [Google Scholar] [CrossRef]
- Bernini, R.; Fraldi, M.; Minardo, A.; Minutolo, V.; Carannante, F.; Nunziante, L.; Zeni, L. Identification of defects and strain error estimation for bending steel beams using time domain Brillouin distributed optical fiber sensors. Smart Mater. Struct. 2006, 15, 612–622. [Google Scholar] [CrossRef]
- Karahan, Ş.; Büyüksaraç, A.; Işık, E. The Relationship between Concrete Strengths Obtained by Destructive and Non-destructive Methods. Iran. J. Sci. Technol. Trans. Civ. Eng. 2020, 44, 91–105. [Google Scholar] [CrossRef]
- Marchisotti, D.; Zappa, E. Feasibility Study of Drone-Based 3-D Measurement of Defects in Concrete Structures. IEEE Trans. Instrum. Meas. 2022, 71, 5010711. [Google Scholar] [CrossRef]
- Giannakis, I.; Giannopoulos, A.; Warren, C. A Machine Learning Scheme for Estimating the Diameter of Reinforcing Bars Using Ground Penetrating Radar. IEEE Geosci. Remote Sens. Lett. 2021, 18, 461–465. [Google Scholar] [CrossRef]
- Dinh, K.; Gucunski, N.; Duong, T.H. Migration-based automated rebar picking for condition assessment of concrete bridge decks with ground penetrating radar. NDT E Int. 2018, 98, 45–54. [Google Scholar] [CrossRef]
- Tricomi, F.G. Integral Equations; Interscience Publisher: New York, NY, USA, 1970. [Google Scholar]
- Kantorovich, L.V.; Akilov, G.P. Functional Analysis; Pergamon Press: Oxford, UK, 1982. [Google Scholar]
- Bertero, V.; Boccacci, P. Introduction to Inverse Problems in Imaging; IOP: Bristol, UK, 1998. [Google Scholar]
- Pastorino, M. Microwave Imaging; Wiley Series in Microwave and Optical Engineering; John Wiley and Sons: Hoboken, NJ, USA, 2018; ISBN 9780470602478. Available online: https://books.google.it/books?id=uiObPresrM0C (accessed on 1 March 2022).
- Bevacqua, M.T.; Isernia, T. Quantitative Non-Linear Inverse Scattering: A Wealth of Possibilities Through Smart Rewritings of the Basic Equations. IEEE Open J. Antennas Propag. 2021, 2, 335–348. [Google Scholar] [CrossRef]
- Pierri, R.; Brancaccio, A. Imaging of a rotationally symmetric dielectric cylinder by a quadratic approach. J. Opt. Soc. Am. A 1997, 14, 2777–2785. [Google Scholar] [CrossRef]
- Leone, G.; Brancaccio, A.; Pierri, R. Linear and quadratic inverse scattering for angularly varying circular cylinders. J. Opt. Soc. Am. A 1999, 16, 2887–2895. [Google Scholar] [CrossRef]
- Brancaccio, A. Localization of bars in reinforced concrete by microwaves: A quasi-quadratic inverse scattering approach. In Proceedings of the 2021 XXXIVth General Assembly and Scientific Symposium of the International Union of Radio Science (URSI GASS), Rome, Italy, 28 August–4 September 2021; pp. 1–3. [Google Scholar] [CrossRef]
- Brancaccio, A.; Pascazio, V.; Pierri, R. A quadratic model for inverse profiling: The one-dimensional case. J. Electromagn. Waves Appl. 1995, 9, 673–696. [Google Scholar] [CrossRef]
- Maisto, M.A.; Masoodi, M.; Leone, G.; Solimene, R.; Pierri, R. Scattered Far-Field Sampling in Multi-Static Multi-Frequency Configuration. Sensors 2021, 21, 4724. [Google Scholar] [CrossRef] [PubMed]
- Brancaccio, A.; Leone, G.; Pierri, R. Information content of Born scattered fields: Results in the circular cylindrical case. J. Opt. Soc. Am. A 1998, 15, 1909–1917. [Google Scholar] [CrossRef]
- Abramowitz, M.; Stegun, I.A. Handbook of Mathematical Functions, 9th ed.; U.S. Government Printing Office: Washington, DC, USA, 1970; pp. 358–433.
- Gradshteyn, I.S.; Ryzhik, I.M. Table of Integrals, Series, and Products, 7th ed.; Jeffrey, A., Zwillinger, D., Eds.; Elsevier: Burlington, MA, USA, 2007; pp. 629–630. [Google Scholar]
- Errata for Tables of Integrals, Series, and Products (8th Edition). p. 21, Formula n. 63. Available online: http://www.mathtable.com/errata/gr8_errata.pdf (accessed on 1 March 2022).











Publisher’s Note: MDPI stays neutral with regard to jurisdictional claims in published maps and institutional affiliations. |
© 2022 by the author. Licensee MDPI, Basel, Switzerland. This article is an open access article distributed under the terms and conditions of the Creative Commons Attribution (CC BY) license (https://creativecommons.org/licenses/by/4.0/).
Share and Cite
Brancaccio, A. A Quasi-Quadratic Inverse Scattering Approach to Detect and Localize Metallic Bars within a Dielectric. Appl. Sci. 2022, 12, 9217. https://doi.org/10.3390/app12189217
Brancaccio A. A Quasi-Quadratic Inverse Scattering Approach to Detect and Localize Metallic Bars within a Dielectric. Applied Sciences. 2022; 12(18):9217. https://doi.org/10.3390/app12189217
Chicago/Turabian StyleBrancaccio, Adriana. 2022. "A Quasi-Quadratic Inverse Scattering Approach to Detect and Localize Metallic Bars within a Dielectric" Applied Sciences 12, no. 18: 9217. https://doi.org/10.3390/app12189217
APA StyleBrancaccio, A. (2022). A Quasi-Quadratic Inverse Scattering Approach to Detect and Localize Metallic Bars within a Dielectric. Applied Sciences, 12(18), 9217. https://doi.org/10.3390/app12189217
