Seismic Performance of a Y-Shaped Irregular Bridge Subjected to Strong and Multidirectional Ground Motions
Abstract
:1. Introduction
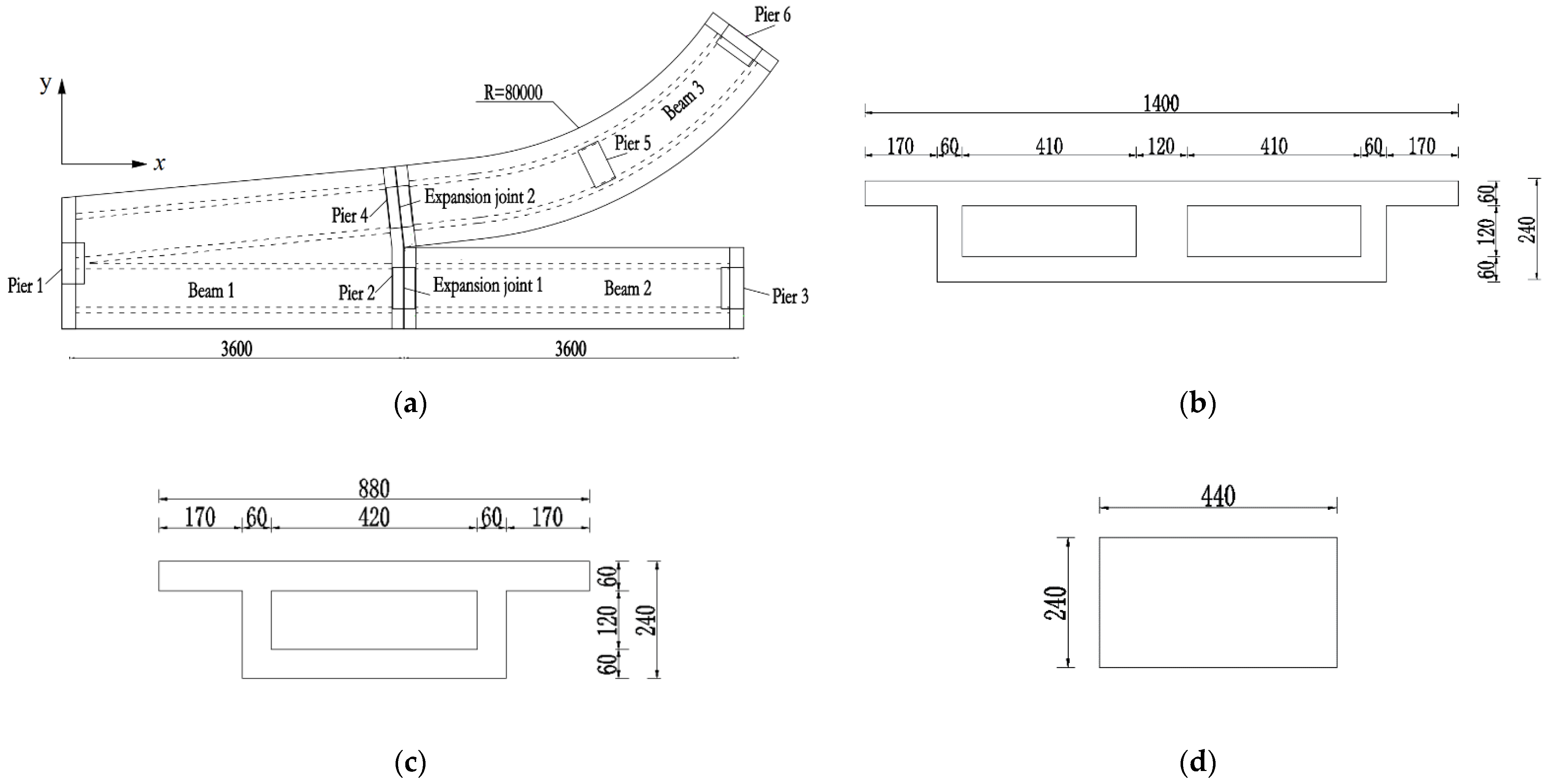
2. Bridge Model Design
2.1. Similitude Requirements
2.2. Design of the Scaled Model
2.3. Experimental Program
2.4. Test Cases
3. Analysis of Acceleration Response Results
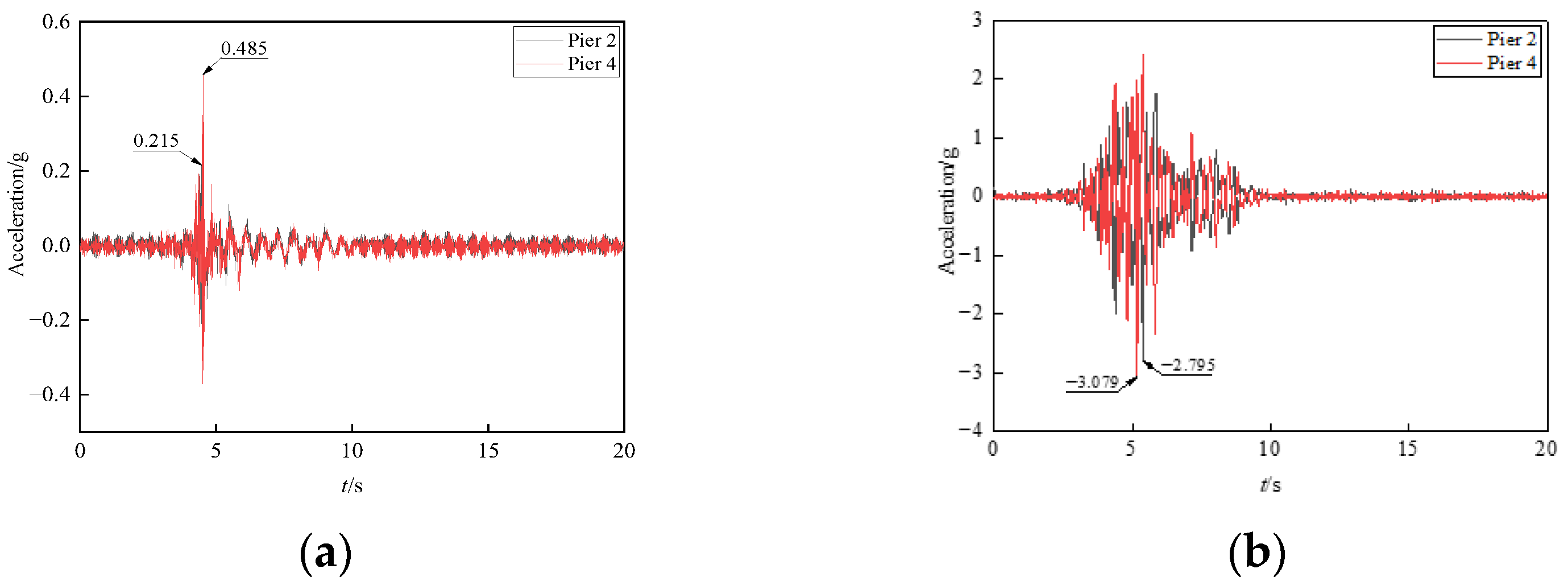
3.1. Acceleration Response at the Top of the Piers
3.2. Acceleration Response of Beams
4. Analysis of Displacement Response Results
4.1. Relative Displacement at Expansion Joints
4.2. Relative Displacement of Piers in the Transverse Direction
4.3. Relative Displacement of Pier and Beam
5. Acceleration Amplification Coefficients
6. Conclusions
- The spectral characteristics of the excitation wave, natural vibration characteristics of the bridge, the form of the bridge structure, and constraints at the support directly and indirectly affected the seismic response of an irregular bridge structure, which led to an inconsistent response law. Due to the deviation between the stiffness and mass centers of the bridge, vertical excitation produced structural responses in the other two directions.
- With unidirectional and multidirectional excitations, the response at the top of the piers was significantly greater in the transverse direction than in the longitudinal direction. The response of piers supporting curved beams was also greater than that of side piers supporting straight girders. For irregular bridges, the seismic design needs to consider horizontally bidirectional seismic inputs.
- Cracks appeared earlier in the span of a beam with a variable cross-section, and the acceleration response was also the largest. Adding redundant constraints to the beam would reduce the mid-span acceleration response. In most cases, the response to bidirectional excitation was comparable to the response to multidirectional excitation, indicating that a feasible approach to seismic design would be to consider horizontal bidirectional excitation and neglect vertical excitation.
- Under multidirectional excitation, collisions between the main beam and curved beam were more likely to occur. This suggests that the junction between such beams should have a relatively large expansion joint or improved energy consumption facilities to minimize the risk of collision and any resulting structural damage. However, multidirectional excitation did not increase the collision risk more than bidirectional excitation.
- The relative displacements of two piers were the same with both bidirectional and multidirectional excitations. This implies that future research can only consider horizontal bidirectional excitation and ignore the influence of vertical excitation.
Author Contributions
Funding
Acknowledgments
Conflicts of Interest
References
- Tseng, W.S.; Penzien, J. Seismic response of long multiple-span highway bridges. Earthq. Eng. Struct. Dyn. 1975, 4, 25–48. [Google Scholar] [CrossRef]
- Kawashima, K.; Unjoh, S. The damage of highway bridges in the 1995 hyogo-ken nanbu earthquake and its impact on Japanese seismic design. J. Earthq. Eng. 1997, 1, 505–541. [Google Scholar] [CrossRef]
- Han, Q.; Du, X.L.; Liu, J.B.; Li, L.Y.; Zhao, J.F. Seismic damage of highway bridges during the 2008 Wenchuan earthquake. Earthq. Eng. Eng. Vib. 2009, 8, 263–273. [Google Scholar] [CrossRef]
- Hsu, Y.T.; Fu, C.C. Seismic effect on highway bridges in Chi-Chi earthquake. J. Perform Constr. Facil 2004, 18, 47–53. [Google Scholar] [CrossRef]
- Liu, K.; Wang, L.H. Earthquake damage of curved highway bridges in 2008 Wenchuan earthquake. Adv. Mater. Res. 2013, 838-841, 1571–1576. [Google Scholar] [CrossRef]
- Pang, Y.T.; Zhou, X.Y.; He, W.; Zhong, J.; Hui, O.Y. Uniform design–based Gaussian process regression for data-driven rapid fragility assessment of bridges. J. Struct. Eng. 2021, 147, 04021008. [Google Scholar] [CrossRef]
- Godden, D.W.W. Seismic response of long curved bridge structures: Experimental model studies. Earthq. Eng. Struct. Dyn. 1979, 7, 107–128. [Google Scholar]
- Wilson, E.L.; Button, M.R. Three-dimensional dynamic analysis for multi-component earthquake spectra. Earthq. Eng. Struct. Dyn. 1982, 10, 471–476. [Google Scholar] [CrossRef]
- Zhong, D.; Wang, S.; Liu, W. Shaking table experimental study and theoretical analysis of the longitudinal seismic-reduced behavior of continuous-beam bridges. China Civ. Eng. J. 2012, 30, 185–187. (In Chinese) [Google Scholar]
- Zhan, J.D.; Li, X.T.; Li, Y. Comparative study on nonlinear earthquake response of girder isolated bridges with LRB and model shaking table test. Adv. Mater. Res. 2013, 706-708, 472–477. [Google Scholar] [CrossRef]
- Jiang, L.; Kang, X.; Li, C.; Shao, G. Earthquake response of continuous girder bridge for high-speed railway: A shaking table test study. Eng. Struct. 2019, 180, 249–263. [Google Scholar] [CrossRef]
- Feng, R.; Deng, T.; Lao, T.; Sextos, A.G.; Yuan, W. Theory and experimental verification of a resultant response-based method for assessing the critical seismic excitation direction of curved bridges. Eng. Struct. 2020, 216, 110713. [Google Scholar] [CrossRef]
- Qiang, H.; Du Xiuli, L.J. Seismic responsesof isolated bridges under multi-dimensional earthquake (I)—Shaking table test for model structure. J. Vib. Shock. 2008, 27, 59–65. [Google Scholar]
- Li, B.; Bi, K.; Chouw, N.; Butterworth, J.W.; Hao, H. Experimental investigation of spatially varying effect of ground motions on bridge pounding. Earthq. Eng. Struct. Dyn. 2012, 41, 1959–1976. [Google Scholar] [CrossRef]
- Li, B.; Bi, K.; Chouw, N. Effect of abutment excitation on bridge pounding. Eng. Struct. 2013, 54, 57–68. [Google Scholar] [CrossRef]
- Ni, Y.; Chen, J.; Teng, H.; Jiang, H. Influence of earthquake input angle on seismic response of curved girder bridge. J. Traffic Transp. Eng. 2015, 2, 233–241. [Google Scholar] [CrossRef]
- Li, X.; Zhang, D.Y.; Yan, W.M.; Chen, Y.J.; Xie, W.C. Shake-table test for a typical curved bridge: Wave passage and local site effects. J. Bridge Eng. 2015, 20, 04014061. [Google Scholar] [CrossRef]
- Jung, D.; Wilcoski, J.; Andrawes, B. Bidirectional shake table testing of RC columns retrofitted and repaired with shape memory alloy spirals. Eng. Struct. 2018, 160, 171–185. [Google Scholar] [CrossRef]
- Jeon, J.S.; Choi, E.; Noh, M.H. Fragility characteristics of skewed concrete bridges accounting for ground motion directionality. Struct. Eng. Mech. 2017, 63, 647–657. [Google Scholar]
- Vaiana, N.; Sessa, S.; Marmo, F.; Rosati, L. An accurate and computationally efficient uniaxial phenomenological model for steel and fiber reinforced elastomeric bearings. Compos. Struct. 2019, 211, 196–212. [Google Scholar] [CrossRef]
- Abe, M.J.; Fujino, Y.Y. Multiaxial behaviors of laminated rubber bearings and their modeling. I: Experimental study. J. Struct. Eng. 2004, 130, 1119–1132. [Google Scholar] [CrossRef]
- Moncarz, P.D.; Krawinkler, H. Similitude requirements for dynamic models. Spec. Publ. 1982, 73, 1–22. [Google Scholar]
- Zhou, Y.; Lu, X.L. Method and Technology for Shaking Table Model Test of Building Structures; Science Press: Beijing, China, 2016. (In Chinese) [Google Scholar]
- Yin, J.H.; Li, Q.N. Study on mechanical properties of grain concrete. Archit. Technol. 2019, 50, 95–97. [Google Scholar]
- Saman, Y.S. A novel approach for classification of earthquake ground-motion records. J. Seismol. 2017, 21, 885–907. [Google Scholar]
- JTG/T B02-01; Guidelines for Seismic Design of Highway Bridge. People Transportation Press: Beijing, China, 2008. (In Chinese)
- Wen, Y.-K. Method for random vibration of hysteretic systems. J. Eng. Mech. Div. 1976, 102, 249–263. [Google Scholar] [CrossRef]
- Vaiana, N.; Rosati, L. Classification and unified phenomenological modeling of complex uniaxial rate-independent hysteretic responses. Mech. Syst. Signal Processing 2023, 182, 109539. [Google Scholar] [CrossRef]
- Vaiana, N.; Sessa, S.; Paradiso, M.; Marmo, F.; Rosati, L. An efficient computational strategy for nonlinear time history analysis of seismically base-isolated structures. In Proceedings of the XXIV AIMETA Conference; Springer: Cham, Switzerland, 2019. [Google Scholar]












| Physical Quantity | Similitude Relation | Scale Ratio |
|---|---|---|
| Length/l | Sl | 0.05 |
| Area/S | 0.0025 | |
| Modulus/E | SE | 0.638 |
| Stress/σ | Sσ = SE | 0.638 |
| Acceleration/a | Sa | 2.5 |
| Equivalent mass density/ρ | Sρ = SE/SaSl | 5.104 |
| Time/t | St = (Sl/Sa)0.5 | 0.129 |
| Force/F | 0.001595 |
| Sensor Type | Product Type | Sensitivity | Measuring Range |
|---|---|---|---|
| Accelerometer sensor | 1A202E | 10 mV/m·s−2 | 50 m·s−2 |
| Displacement sensor | 5G203 | 0.0195 mV/mm@2V | 750 mm |
| Case No. | Waves | Peak Value/g | Seismic Wave Excitation | ||
|---|---|---|---|---|---|
| X-Direction | Y-Direction | Z-Direction | |||
| Scanning white noise | |||||
| 1 | EI Centro | / | / | 0.65 | Z |
| 2 | EI Centro | 1 | 0.85 | 0 | X + Y |
| 3 | EI Centro | 1 | 0.85 | 0.65 | X + Y + Z |
| 4 | Imperial Valley | / | / | 0.65 | Z |
| 5 | Imperial Valley | 1 | 0.85 | / | X + Y |
| 6 | Imperial Valley | 1 | 0.85 | 0.65 | X + Y + Z |
| 7 | Lanzhou | / | / | 0.65 | Z |
| 8 | Lanzhou | 1 | 0.85 | / | X + Y |
| 9 | Lanzhou | 1 | 0.85 | 0.65 | X + Y + Z |
| Scanning white noise | |||||
| Waves | X | Y | X | Y | X | Y |
|---|---|---|---|---|---|---|
| Pier 1 | Pier 2 | Pier 3 | ||||
| El Centro | 0.241 | 0.250 | 0.106 | 0.15 | 0.342 | 0.293 |
| Lanzhou | 0.215 | 0.215 | 0.086 | 0.24 | 0.138 | 0.307 |
| Waves | Pier 4 | Pier 5 | Pier 6 | |||
| 0.096 | 0.121 | 0.169 | 0.223 | 0.352 | 0.523 | |
| El Centro | 0.296 | 0.34 | 0.221 | 0.226 | 0.383 | 0.532 |
| Waves | Input Direction | X-Direction | Y-Direction | X-Direction | Y-Direction | X-Direction | Y-Direction |
|---|---|---|---|---|---|---|---|
| Pier 1 | Pier 2 | Pier 3 | |||||
| El Centro | X + Y | 0.470 | 0.636 | 0.390 | 0.587 | 1.156 | 1.531 |
| X + Y + Z | 0.548 | 0.874 | 0.406 | 0.56 | 1.220 | 2.000 | |
| Imperial Valley | X + Y | 0.391 | 0.823 | 0.215 | 0.84 | 0.530 | 0.859 |
| X + Y + Z | 0.267 | 0.383 | 0.099 | 0.323 | 0.284 | 0.371 | |
| Pier 4 | Pier 5 | Pier 6 | |||||
| El Centro | X + Y | 1.186 | 1.23 | 0.652 | 0.677 | 3.870 | 2.695 |
| X + Y + Z | 1.007 | 1.1 | 0.738 | 0.693 | 3.466 | 3.200 | |
| Imperial Valley | X + Y | 0.458 | 0.67 | 0.267 | 0.402 | 0.425 | 1.402 |
| X + Y + Z | 0.177 | 0.23 | 0.79 | 0.817 | 0.762 | 2.465 | |
| Case No. | Expansion Joint 1 | Expansion Joint 2 |
|---|---|---|
| 2 (El Centro X + Y) | 39.714 | 5.282 |
| 3 (El Centro X + Y + Z) | 32.155 | 10.453 |
| 9 (Lanzhou X + Y + Z) | 25.131 | 10.523 |
| Case No. | 2 (El Centro X + Y) | 3 (El Centro X + Y + Z) | 8 (Lanzhou X + Y) | 9 (Lanzhou X + Y + Z) |
| Relative displacement | 66.326 | 65.525 | 46.71 | 44.661 |
| Case No. | Beam 1 and Pier 2 | Beam 1 and Pier 4 | Beam 2 and Pier 2 | Beam 3 and Pier 4 |
|---|---|---|---|---|
| 2 | 5.077 | 66.268 | 45.723 | 67.810 |
| 3 | 4.647 | 65.655 | 48.342 | 67.260 |
| 8 | 6.656 | 45.145 | 25.115 | 44.980 |
| Piers. | Position | El Centro | Lanzhou | ||
|---|---|---|---|---|---|
| Z Case No.1 | X + Y + Z Case No.3 | Z Case No.7 | X + Y + Z Case No.9 | ||
| 2 | Middle of pier | 1.077 | 0.948 | 0.974 | 1.501 |
| Top of pier | 1.074 | 0.935 | 0.666 | 1.486 | |
| 4 | Middle of pier | 1.058 | 1.090 | 1.663 | 1.210 |
| Top of pier | 1.025 | 1.323 | 1.680 | 1.425 | |
Publisher’s Note: MDPI stays neutral with regard to jurisdictional claims in published maps and institutional affiliations. |
© 2022 by the authors. Licensee MDPI, Basel, Switzerland. This article is an open access article distributed under the terms and conditions of the Creative Commons Attribution (CC BY) license (https://creativecommons.org/licenses/by/4.0/).
Share and Cite
Dong, Z.; Guo, Q.; Yin, J.; Tian, L. Seismic Performance of a Y-Shaped Irregular Bridge Subjected to Strong and Multidirectional Ground Motions. Appl. Sci. 2022, 12, 9084. https://doi.org/10.3390/app12189084
Dong Z, Guo Q, Yin J, Tian L. Seismic Performance of a Y-Shaped Irregular Bridge Subjected to Strong and Multidirectional Ground Motions. Applied Sciences. 2022; 12(18):9084. https://doi.org/10.3390/app12189084
Chicago/Turabian StyleDong, Zhengfang, Qing Guo, Junhong Yin, and Linjie Tian. 2022. "Seismic Performance of a Y-Shaped Irregular Bridge Subjected to Strong and Multidirectional Ground Motions" Applied Sciences 12, no. 18: 9084. https://doi.org/10.3390/app12189084
APA StyleDong, Z., Guo, Q., Yin, J., & Tian, L. (2022). Seismic Performance of a Y-Shaped Irregular Bridge Subjected to Strong and Multidirectional Ground Motions. Applied Sciences, 12(18), 9084. https://doi.org/10.3390/app12189084

