Temperature Field and Stability Analysis of the Frozen Wall Based on the Actual Position of Freezing Holes
Abstract
:1. Introduction
2. Project Background
2.1. Shaft Geology
2.2. Design of Freezing Scheme
3. Analysis of Temperature Field of Frozen Wall
3.1. Mathematical Model of Freezing Temperature Field
3.2. Numerical Calculation Model of Freezing Temperature Field
3.2.1. Basic Assumptions
- Unfrozen soil and frozen soil are homogeneous isotropic bodies.
- The influence of groundwater seepage on the temperature field is ignored.
- The vertical heat transfer of shaft formation and freezing holes is ignored, and the determination of freezing temperature field is simplified to a 2D plane problem.
- The measured brine temperature is directly applied to the boundary of the freezing holes as a temperature load.
- The latent heat of phase transition of the soil is released in a certain temperature range near the freezing temperature during freezing.
3.2.2. Numerical Calculation Model
3.2.3. Initial Value and Boundary Value Conditions of the Model
3.2.4. Thermal Physical Parameters of Soil
3.3. Numerical Results and Discussion
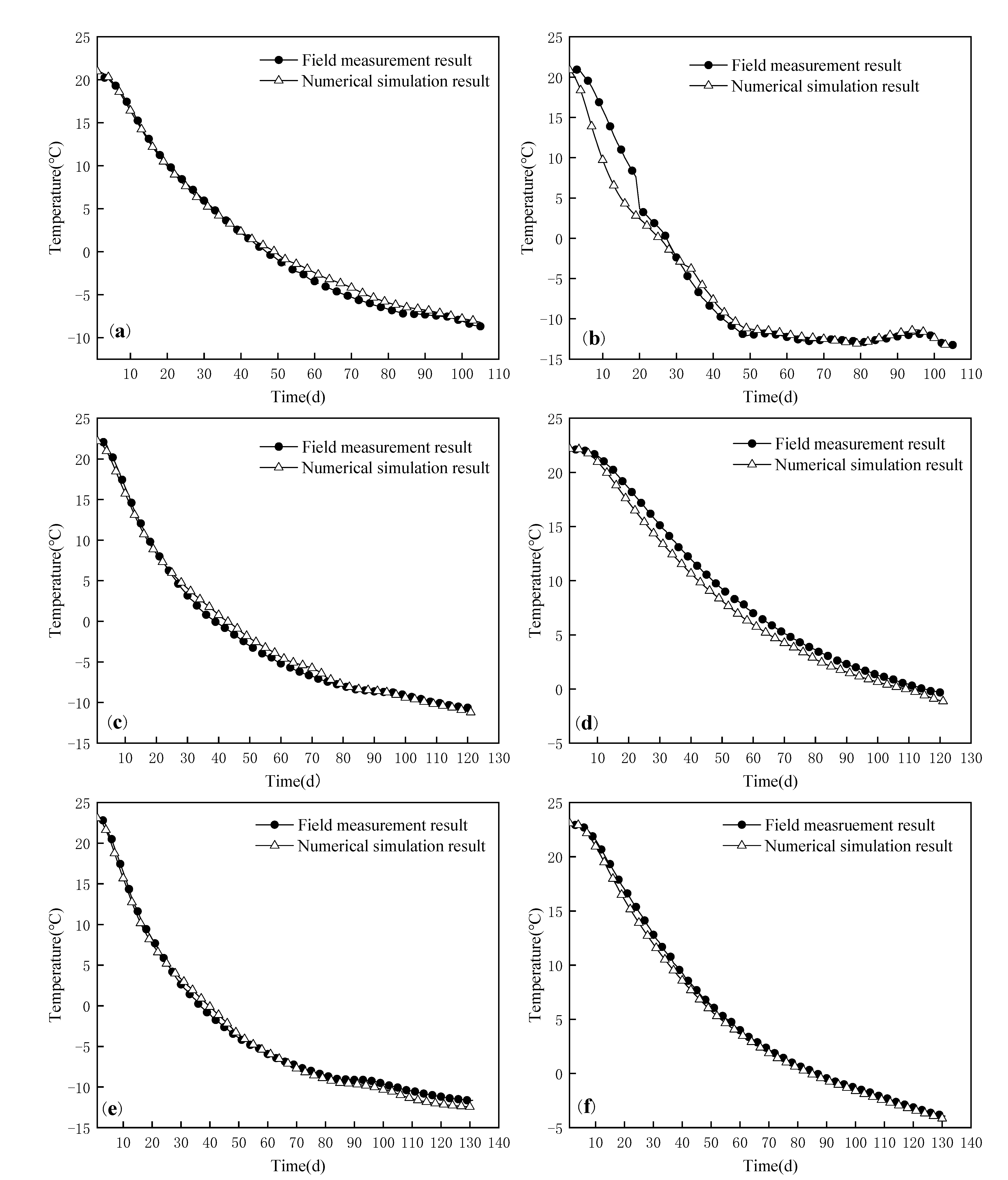
3.3.1. Model Feasibility Verification
3.3.2. Average Temperature and Thickness of Effective Frozen Wall
- (1)
- Average temperature of frozen wall
- (2)
- Frozen wall thickness
3.3.3. Spatial-Temporal Variation of Temperature Field at the Main Surface and Interface
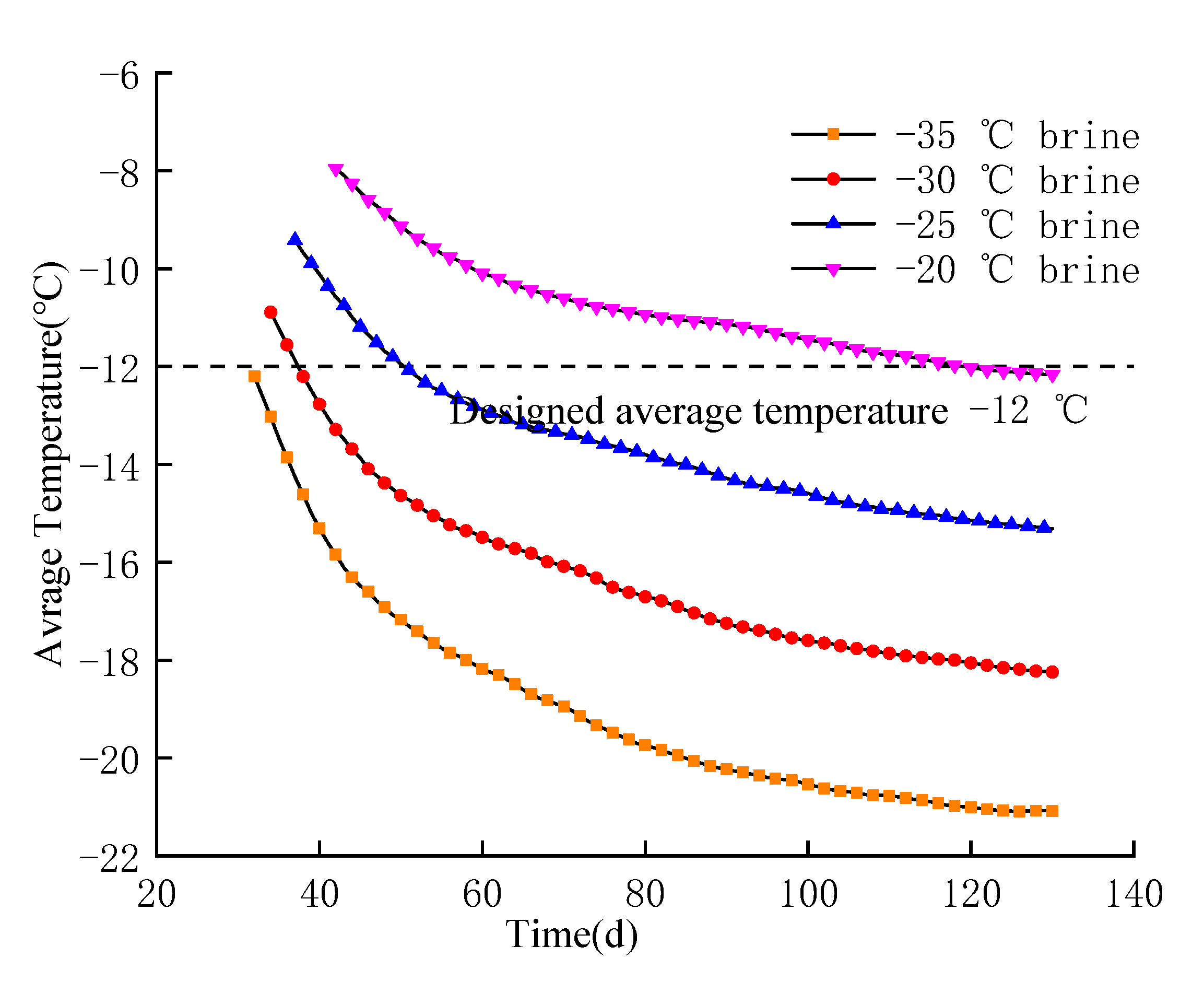
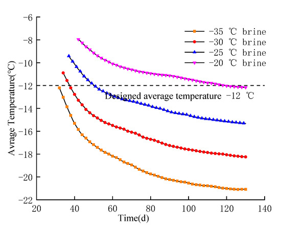
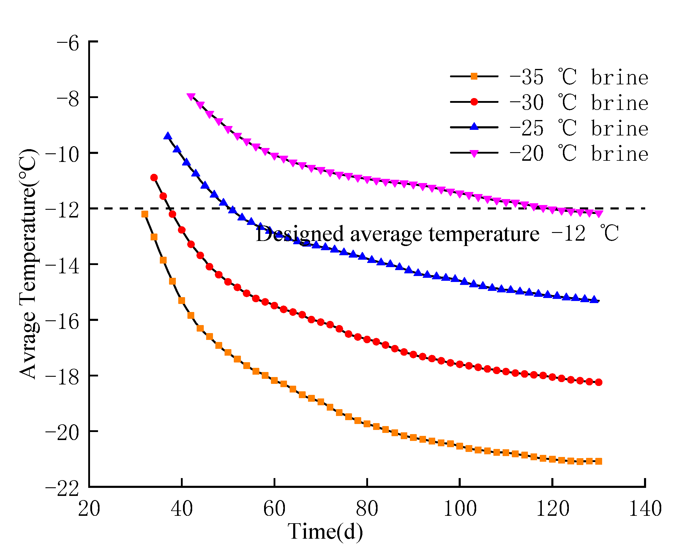
3.3.4. Influence of Brine Temperature on Temperature Field of Frozen Wall
4. Analysis of Viscoelastic-Plastic Stability of Frozen Wall
4.1. Evaluation of the Temperature Field of Frozen Wall
4.2. Elastic-Plastic Analysis of Frozen Wall
4.2.1. Elastic Stress State of Frozen Wall
4.2.2. Elastic-Plastic Stress Analysis of Frozen Wall
4.3. Viscoelastic Analysis of Frozen Wall
5. Conclusions
- Under the same freezing time, the average effective freezing temperature of the fine sand layer was 0.2–1 and 0.5–2.5 °C lower than that of the sandy clay layer and clay layer, respectively. The effective frozen wall thickness of the fine sand layer was 0.04–0.17 and 0.17–0.33 m larger than that of the sandy clay layer and clay layer, respectively. The temperature field at the main surface and interface of the fine sand layer had the fastest decrease, while that of the sandy clay layer had the slowest decrease. Therefore, the fine sand layer had the best freezing effect, while the sandy clay layer had the worst freezing effect.
- Based on the main freezing holes and auxiliary holes, the freezing temperature field could be divided into three characteristic areas in the radial direction. Due to the superposition effect of the cooling capacity of double-ring freezing holes, the cooling of soil in the frozen zone II was the fastest, followed by that in the frozen zone I without external heat source, and the frozen zone III without superposition effect of the cooling capacity of freezing holes with external heat source had the slowest cooling. The deflection of the freezing holes had a minor influence on the symmetry of the temperature field II zone of the main surface, but it had a significant influence on the symmetry of the temperature field II zone of the interface. Therefore, the drilling process should be strictly controlled in the freezing construction to minimize the deflection of freezing holes.
- The brine temperature had a considerable influence on the temperature field of the frozen wall. At a high brine temperature, the average temperature and thickness of the effective frozen wall could not meet the design requirements. A lower brine temperature ensured the safety of shaft excavation, but greatly increased the cost of freezing construction. According to the theoretical analysis, the temperature of brine during the active freezing period of the project should be −25 to −30 °C, and the temperature of brine during the active freezing period was finally determined to be −25 to −27 °C based on the actual on site situation in the middle and late period of freezing during the maintenance freezing period. Consequently, to ensure an appropriate effective thickness and average temperature of frozen wall, the brine temperature of auxiliary holes should be controlled in real time to reduce the expansion of frozen soil into the excavation section, decrease the difficulty in excavation, and save the freezing cost.
- According to the actual freezing situation at the site, the safety of the frozen wall in the −216 m sandy clay control layer during excavation was evaluated. The results showed that during the excavation of this formation, the side-wall temperature was lower than −7 °C, which met the design requirement of −6.6 °C. The average effective frozen wall temperature was −14.14 °C, which also met the design requirement of −12 °C. The effective frozen wall thickness was 4.35 m, which met the design requirement of 4.2 m. The external load of frozen wall was 2.81 MPa, which was lower than its plastic ultimate bearing capacity (3.20 MPa). The maximum radial displacement of the frozen side wall at 30 h was 26.85 mm, which was less than the maximum limit of 50 mm stipulated in the code. Therefore, in this kind of freezing condition, the frozen wall of control layer is expected to be in a safe state during excavation.
Author Contributions
Funding
Institutional Review Board Statement
Informed Consent Statement
Data Availability Statement
Conflicts of Interest
References
- Hu, X.; Guo, W. Construction methods for cross passage in soft ground tunnels in China. In Proceedings of the International Conference on Electric Technology & Civil Engineering, Yichang, China, 18–20 May 2011. [Google Scholar]
- Han, L.; Ye, G.; Xia, X.; Wang, J.H. In-situ monitoring on frost heave force during cross-passage construction by ground freezing method. In Proceedings of the Geotechnical Special Publication, Shanghai, China, 26–28 May 2014. [Google Scholar]
- Kang, Y.; Liu, Q.; Zhu, Y.; Huang, X.; Liu, X.; Huang, S.; Lei, G.; Zhang, J. Combined freeze-sealing and New Tubular Roof construction methods for seaside urban tunnel in soft ground. Tunn. Undergr. Space Technol. 2016, 58, 1–10. [Google Scholar] [CrossRef]
- Yang, P.; Ke, J.M.; Wang, J.G.; Chow, Y.K.; Zhu, F.B. Numerical simulation of frost heave with coupled water freezing, temperature and stress fields in tunnel excavation. Comput. Geotech. 2006, 33, 330–340. [Google Scholar] [CrossRef]
- Cai, H.; Cheng, H.; Yao, Z.; Wang, H. Numerical analysis of ground displacement duo to orthotropic frost heave of frozen soil in freezing period of tunnel. Chin. J. Rock Mech. Eng. 2015, 34, 1667–1676. [Google Scholar]
- Long, W.; Rong, C.; Duan, Y.; Guo, K. Numerical calculation of temperature field of freeze-sealing pipe roof method in Gongbei tunnel. Coal Geol. Explor. 2020, 48, 160–168. [Google Scholar]
- Yin, D.; Rong, C.; Cheng, H.; Cai, H.; Long, W. Freezing temperature Field of FSPR under Different Pipe Configurations: A Case Study in Gongbei Tunnel, China. Adv. Civ. Eng. 2021, 2021, 9958165. [Google Scholar]
- Hu, X.; Wu, Y.; Li, X. A Field Study on the Freezing Characteristics of Freeze-Sealing Pipe Roof Used in Ultra-Shallow Buried Tunnel. Appl Sci 2019, 9, 1532. [Google Scholar] [CrossRef]
- Yao, Z.; Cheng, H. Study on frost-heaving force in retaining structure with row-pile and frozen soil wall for deep foundation pit. Chin. J. Rock Mech. Eng. 2004, 23, 1521–1524. [Google Scholar]
- Hu, J.; Yang, P. Numerical analysis of temperature field within large-diameter cup-shaped frozen soil wall. Rock Soil Mech. 2015, 36, 523–531. [Google Scholar]
- Hu, X.; Fang, T.; Han, Y. Generalized analytical solution of steady-state temperature field of double-circle-piped freezing. J. China Coal Soc. 2017, 42, 2287–2294. [Google Scholar]
- Hu, X.; Han, Y. General analytical solution of steady-state temperature field of single-circle-pipe freezing. J. Cent. South Univ. (Sci. Technol.) 2015, 46, 2342–2349. [Google Scholar]
- Hu, X.; Han, Y.; Yu, X. Generalized analytical solution to steady-state temperature field of double-row-pipe freezing. J. Tongji Univ. (Nat. Sci.) 2015, 43, 386–391. [Google Scholar]
- Hu, X.; Chen, J.; Wang, Y.; Li, W. Analytical solution to steady-state temperature field of single-circle-pipe freezing. Rock Soil Mech. 2013, 34, 874–880. [Google Scholar]
- Jiao, H.; Sun, G.; Chen, X.; Li, Z.; Ren, A. Development of temperature field of multi circle freezing wall in deep alluvium. J. China Coal Soc. 2018, 443, 443–449. [Google Scholar]
- Bin, W.; Rong, C.; Hua, C.; Yao, Z.; Cai, H.; Li, C. Research and application of the local differential freezing technology in deep alluvium. Adv. Civ. Eng. 2020, 2020, 9381468. [Google Scholar]
- Yang, G.; Rong, T.; Xi, J.; Shen, Y.; Li, B. Numerical simulation analysis on the evolution laws of freezing wall temperature field in a coal mine shaft. Chin. J. Undergr. Space Eng. 2016, 12, 420–425. [Google Scholar]
- Li, H.; Lin, B.; Wang, P. Influence factors and formation properties of temperature field in the frozen wall of double ring pipes. Coal Geol. Explor. 2020, 48, 169–175. [Google Scholar]
- Yang, Q.; Rong, C.; Li, M.; Yang, G. Freezing temperature field characteristics of multi-loop pipes under different working conditions at the interface of deep thick sand and clay. Coal Geol. Explor. 2020, 48, 224–232. [Google Scholar]
- Tao, W.; Zhou, X.; Zhang, L.; Zhang, X.; He, X.; Xu, Y. Theory and technology of real-time temperature field monitoring of vertical shaft frozen wall under high-velocity groundwater conditions. Cold Reg. Sci. Technol. 2021, 189, 103337. [Google Scholar]
- Cai, H.; Yao, F.; Hong, R.; Lin, J.; Zeng, K. Multi-loop pipe freezing optimization of deep shaft considering seepage effect. Arab. J. Geosci. 2022, 15, 153. [Google Scholar] [CrossRef]
- Bin, W.; Cao, Y.; Rong, C.; Cheng, H. Study on the Mechanism and Prevention Method of Frozen Wall Maldevelopment Induced by High-Flow-Rate Groundwater. Water 2022, 14, 2077. [Google Scholar]
- Zhi, W.; Rong, C.; Du, M.; Ma, M.; Liu, X.; Wang, S. The development law of the freezing temperature field of a calcareous clay layer. Math. Probl. Eng. 2020, 2020, 3902054. [Google Scholar]
- Zhang, C.; Zhao, J.; Wei, X. Investigation the stress field and displacement field on the frozen wall based on the unified strength theory. Chin. J. Undergr. Space Eng. 2008, 4, 465–469. [Google Scholar]
- Wang, R.; Li, D.; Wang, X. Calculation frozen wall and displacement fields by Mohr-Coulomb strength criterion. Ind. Constr. 2005, 35, 40–42. [Google Scholar]
- Liang, H. Analysis of elasto-plasticity of frozen wall in shaft sinking. J. China Coal Soc. 1980, 2, 23–33. [Google Scholar] [CrossRef]
- Hu, X.; Shu, C.; Sui, S. Elastic-plastic analytical solution for functionally graded material frozen soil wall with parabolic property under uniform load. J. China Coal Soc. 2012, 37, 379–384. [Google Scholar]
- Hu, X.; Shu, C. Stress field analysis of functionally graded material frozen soil wall in double-row- pipe shaft freezing. Eng. Mech. 2014, 31, 145–153. [Google Scholar]
- Cao, X.; Zhao, J.; Zhang, C. Elastoplastic stress analysis of frozen soil wall based on unified strength theory. Rock Soil Mech. 2017, 38, 769–774, 809. [Google Scholar]
- Wang, B.; Rong, C.; Cheng, H. Stress analysis of heterogeneous frozen wall considering interaction with surrounding soil. J. China Coal Soc. 2017, 42, 354–361. [Google Scholar]
- MT/T 1124-2011, Coal Mine Technical Specification for Vertical Shaft Sinking by Freezing Method. Available online: https://kns.cnki.net/kcms/detail/detail.aspx?dbcode=SCSD&dbname=SCSD&filename=SCSDMT/T%201124-2011&uniplatform=NZKPT&v=vgEdUVrQBhjYRtoRXHux4Vm7ZwKwMaKg6zmnI5DFjlyUEyLXK4-oQWH-AdQIuUuKcnj9EySZjMI%3d (accessed on 1 September 2011).
- GB/T 51277-2018, Standard for Construction and Acceptance of Coal Mine Shaft of Freezing Method. Available online: https://kns.cnki.net/kcms/detail/detail.aspx?FileName=SNAD000001810010&DbName=SNAD2019 (accessed on 6 January 2018).
- Xu, Z. A Concise Course of Elasticity, 3rd ed.; Higher Education Press: Beijing, China, 2002. [Google Scholar]
- Ma, W.; Wu, Z.; Sheng, Y. Creep and Creep Strength of Frozen Soil. J. Glaciol. Geocryol. 1994, 16, 113–118. [Google Scholar]
- Li, D.; Zhang, S.; Wang, R.; Cui, H. Study on calculation theory for mine shaft viscous-elastic-plastic freezing wall. Coal Eng. 2006, 1, 60–62. [Google Scholar]













| Freezing Holes | Circle Diameter (m) | Hole Spacing (m) | Depth (m) | Freezing Method |
|---|---|---|---|---|
| Main freezing holes | 13.2 | 1.296 | 305/255 | Differential freezing |
| Auxiliary freezing holes | 10.1 | 2.115 | 240 | Full depth freezing |
| Prevent piece holes | 9.5 | 1.990 | 150 | Full depth freezing |
| Depth (m) | Soil Property | Density (kg·m−3) | Thermal Conductivity (W·m−1·K−1) | Specific Heat Capacity (J·kg−1·K−1) | Latent Heat of Phase Transformation (kJ·kg−1) | ||
|---|---|---|---|---|---|---|---|
| Frozen | Unfrozen | Frozen | Unfrozen | ||||
| 120.5 | Fine sand | 2003 | 1.735 | 1.412 | 1024 | 1170 | 28.6 |
| 190 | Clay | 1987 | 1.598 | 1.318 | 1199 | 1298 | 34.4 |
| 216 | Sandy clay | 1995 | 1.706 | 1.391 | 1080 | 1198 | 30.6 |
Publisher’s Note: MDPI stays neutral with regard to jurisdictional claims in published maps and institutional affiliations. |
© 2022 by the authors. Licensee MDPI, Basel, Switzerland. This article is an open access article distributed under the terms and conditions of the Creative Commons Attribution (CC BY) license (https://creativecommons.org/licenses/by/4.0/).
Share and Cite
Long, W.; Rong, C.; Shi, H.; Huang, S.; Wang, Z.; Duan, Y.; Ma, H. Temperature Field and Stability Analysis of the Frozen Wall Based on the Actual Position of Freezing Holes. Appl. Sci. 2022, 12, 8943. https://doi.org/10.3390/app12188943
Long W, Rong C, Shi H, Huang S, Wang Z, Duan Y, Ma H. Temperature Field and Stability Analysis of the Frozen Wall Based on the Actual Position of Freezing Holes. Applied Sciences. 2022; 12(18):8943. https://doi.org/10.3390/app12188943
Chicago/Turabian StyleLong, Wei, Chuanxin Rong, Hao Shi, Shiqing Huang, Zhi Wang, Yin Duan, and Haochen Ma. 2022. "Temperature Field and Stability Analysis of the Frozen Wall Based on the Actual Position of Freezing Holes" Applied Sciences 12, no. 18: 8943. https://doi.org/10.3390/app12188943
APA StyleLong, W., Rong, C., Shi, H., Huang, S., Wang, Z., Duan, Y., & Ma, H. (2022). Temperature Field and Stability Analysis of the Frozen Wall Based on the Actual Position of Freezing Holes. Applied Sciences, 12(18), 8943. https://doi.org/10.3390/app12188943

