Research on Optimization Design of Key Energy-Absorbing Structure of a Helicopter Seat Based on Human–Seat Coupling System
Abstract
1. Introduction
2. Human–Seat Coupling Modelling
2.1. The Mechanical Model Based on Energy Method
2.2. Mechanical Model Analysis
- The principle of determinacy assumes that the stress σ of a point in an object is determined entirely by the state and deformation process of the neighborhood of the mass point.
- The principle of local action assumes that the influence of each other point decreases as the distance increases when calculating the stress or another physical quality of a point. In other words, the material response at a given point in the continuum is determined entirely by the values of the field variables at that point.
- The principle of material objectivity assumes that the constitutive equation is completely determined by the nature of matter and does not change as the observer changes. In coordinate systems for relative motion, the constitutive equation of the matter has the same form.
3. Simulation and Crashworthiness Testing
3.1. Simulation
- The main force-bearing structures must be retained and the headrest, the seat cushion, the rotating device, etc., will be simplified.
- Welded, riveted and bolted connections between components of the seat are simulated by using the rod elements connection method, the common element method and the common node method, respectively [35]. In the rod elements connection method, two parts are connected at the corresponding nodes by a mass-free rigid rod. In the common element method, two parts are connected by creating a common element. In the common node method, the element nodes of two parts are directly connected at the junction.
- Chamfers and small holes will be ignored when their radiuses are smaller than the estimated size of the minimum element.
3.2. Crashworthiness Testing
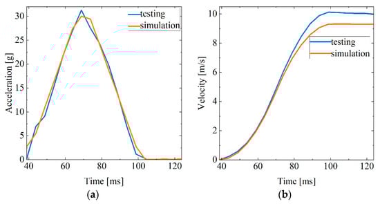
3.3. Results Comparison
4. Structural Design Optimization
4.1. Optimization Algorithm
4.2. Optimized Process
- Complete sampling by using Latin hypercube sampling and determine the initial sampling point.
- Calculate the response by using finite element software.
- Construct response surface functions for the objective and constraint functions by using the kriging model.
- Find the minimum by performing the analysis.
- Judge the convergence: if the result converges, the optimization will be terminated. If the result does not converge, skip to the step (6).
- Take the estimated point where is maximum value as the new sampling point and skip to step (2).
4.3. Example Verification
- The seating system must withstand the intended separation, while the rest of the system must remain intact.
- The connection within the main structures of the seating system must not be destroyed, even though the load on the seating system may have exceeded its limit.
- The peak spine load of the ATD should be less than 6668 N (1500 pounds).
5. Conclusions
- Based on the aerospace standards, i.e., SAE AS8049B and CCAR-27-R2, this paper determined the conditions required for the H135 helicopter seat to complete the crashworthiness test. It also studied the estimation methods of the maximum tolerance limit of the human body and the minimum performance standard of the helicopter seat. This provides a reference for the crashworthiness evaluation of a helicopter.
- According to the energy methods and the theories of structural mechanics, the simplified mechanical model of the human–seat coupling system of this helicopter during collision was established. The simulation results basically coincide with the results of the crashworthiness test. This shows that the crashworthiness assessment and analysis method established in this paper are reasonably effective, as they can analyze the structural characteristics of the seat and the dynamic response of the ATD during the crash more accurately.
- The optimization design of energy-absorbing structures for crashworthiness represents a research hotspot in the engineering community. In this paper, the link between the design variables and the objective function was established to complete the optimization process by using Latin hypercube sampling, the kriging model and nonlinear transient finite element analysis techniques. After optimization, the crashworthiness of the helicopter was improved greatly and the result met the regulatory requirements. This optimization method can be easily extended to other complex structures for optimization design.
- By comparing the previous results with the optimized results, we found that the height of the front end of the key energy-absorbing structure and the horizontal length have important effects on the energy-absorbing capacity of the structure. These two should be prioritized in the structural design process.
- In this paper, the spine load was the only optimal object. More aspects should be given attention in the next step such as head injury, chest injury, femur injury and so on. In addition to the seat basin holder, the optimization of the round tubes in human–seat coupling can also improve the crashworthiness of helicopter seats.
Author Contributions
Funding
Institutional Review Board Statement
Informed Consent Statement
Data Availability Statement
Acknowledgments
Conflicts of Interest
References
- Filho, A.P.G.; Souza, C.A.; Siqueira, E.L.B.; Souza, M.A.; Vasconcelos, T.P. An analysis of helicopter accident reports in Brazil from a human factors perspective. Reliab. Eng. Syst. Saf. 2018, 183, 39–46. [Google Scholar] [CrossRef]
- Gao, Y.; Cao, Y. Analysis of the helicopter accidents based on the association rules mining. J. Saf. Environ. 2020, 20, 849–856. [Google Scholar]
- Astori, P.; Zanella, M.; Bernardini, M. Validation of Numerical Models of a Rotorcraft Crashworthy Seat and Subfloor. Aerospace 2020, 7, 174. [Google Scholar] [CrossRef]
- Shanahan, D.F. Crash experience of the US Army Black Hawk helicopter. In Proceedings of the Agard Conference, Fort Rucker, AL, USA, 27 April–1 May 1992; pp. 40-1–40-9. [Google Scholar]
- Nitschke, D.R.H.; Muller, R. The System Approach to Crashworthiness for the NH90. In Proceedings of the American Helicopter Society 51st Annual Forum, Fort Worth, TX, USA, 9–11 May 1995; Volume 51, pp. 581–592. [Google Scholar]
- Hao, P.; Feng, Z.Y.; Zou, T.C. Research development of crashworthiness certification technology on transport category aircraft. Aeronaut. Sci. Technol. 2011, 5, 49–51. [Google Scholar]
- He, Y.L. Response Analysis of Aircraft Dummy/Seat Restraint System under Dynamic Impact. Master’s Thesis, Civil Aviation University of China, Tianjin, China, 2019. [Google Scholar]
- Zhou, H.Z. Design, Analysis and Optimization of the Anti-Crash Energy Absorption Subfloor Structure of Helicopter. Ph.D. Thesis, Nanjing University of Aeronautics and Astronautics, Nanjing, China, 2017. [Google Scholar]
- He, B.Y. Exploration of improving the crashworthiness of helicopter crew seats. Sci. Technol. Innov. 2021, 2096, 68–69. [Google Scholar]
- Lindstedt, L.; Vychytil, J.; Dziewonski, T.; Hyncik, L. Numerical Tests of the Virtual Human Model Response Under Dynamic Load Conditions Defined in Federal Aviation Regulation Part 23.562 and 25.562—Preliminary Study. Arch. Mech. Eng. 2016, 63, 511–530. [Google Scholar] [CrossRef][Green Version]
- Zhu, T.; Xiao, S.-N.; Hu, G.-Z.; Yang, G.-W.; Yang, C. Crashworthiness analysis of the structure of metro vehicles constructed from typical materials and the lumped parameter model of frontal impact. Transport 2019, 34, 75–88. [Google Scholar] [CrossRef]
- Han, H.-S.; Koo, J.-S. Simulation of Train Crashes in Three Dimensions. Veh. Syst. Dyn. 2003, 40, 435–450. [Google Scholar] [CrossRef]
- Milho, J.F.; Ambrósio, J.A.C.; Pereira, M.F.O.S. Validated multibody model for train crash analysis. Int. J. Crashworthiness 2003, 8, 339–352. [Google Scholar] [CrossRef]
- Milho, J.; Ambrosio, J.; Pereira, M. A multibody methodology for the design of anti-climber devices for train crashworthiness simulation. Int. J. Crashworthiness 2002, 7, 7–20. [Google Scholar] [CrossRef]
- Zhang, Z.J.; Zheng, P.F.; Chen, H.; Cai, L.X. The method for hardness prediction of metal materials based on energy equivalence principle. Eng. Mech. 2021, 38, 17–26. [Google Scholar] [CrossRef]
- Peng, Y.Q.; Cai, L.X.; We, L.M. The research of new testing method for obtaining the resistance curves of ductile materials based on equivalent energy principle. Eng. Mech. 2020, 37, 7–16. [Google Scholar]
- Xiao, L. Research and Development of Hollow Sandwich Plate System for Bridge Deck. Master’s Thesis, Southwest Jiaotong University, Chengdu, China, 2014. [Google Scholar]
- Hu, Y.L.; Sheng, H.Y. Study of panel equivalent model of multi-span steel pedestrian suspension bridge. J. HEFEL Univ. Technol. 2015, 38, 102–105. [Google Scholar]
- Song, S.K. The Study on Equivalent Model of Hollow Aluminum Extrusion. Master’s Thesis, Beijing Jiaotong University, Beijing, China, 2014. [Google Scholar]
- Alexander, J.M. An approximate analysis of the collapse of thin cylindrical shells under axial loading. Q. J. Mech. Appl. Math. 1960, 13, 10–15. [Google Scholar] [CrossRef]
- Wang, Y. General Aircraft Atructure Crashworthiness Simulation Analysis and Design. Master’s Thesis, Nanjing University of Aeronautics and Astronautics, Nanjing, China, 2009. [Google Scholar]
- He, H. Key Technology of General Aircraft Crash Simulation and Crashworthiness Design. Ph.D. Thesis, Nanjing University of Aeronautics and Astronautics, Nanjing, China, 2007. [Google Scholar]
- Guida, M.; Lamanna, G.; Marulo, F.; Caputo, F. Review on the design of an aircraft crashworthy passenger seat. Prog. Aerosp. Sci. 2021, 129, 100785. [Google Scholar] [CrossRef]
- Yan, T.; Xue, M.M.; Xiao, G.R.; Wang, Z.R. Method for Determining Energy Absorption Parameters of X-type Structure Aviation Seat. Equip. Manuf. Technol. 2018, 6, 139–141. [Google Scholar]
- Noureddine, A.; Eskandarian, A.; Digges, K. Computer modeling and validation of a hybrid III dummy for crashworthiness simulation. Math. Comput. Model. 2002, 35, 885–893. [Google Scholar] [CrossRef]
- CCAR-27-R2; Chinese Civil Aviation Regulations: 27th the Airworthiness Regulations for Normal Class Rotorcraft. Civil Aviation Administration of China: Beijing, China, 2017.
- AS8049/1B; Performance Standards for Side-Facing Seats in Civil Rotorcraft, Transport Aircraft, and General Aviation Aircraft. Society of Automotive Engineers: Washington, DC, USA, 2005.
- Wei, R.X. The Crash Resistance Research on Aircraft Structure Design. Ph.D. Thesis, Nanjing University of Aeronautics and Astronautics, Nanjing, China, 2009. [Google Scholar]
- Zhao, B.B.; Zhang, T.Y.; Wang, Z.; Duan, W.Y.; Wang, Z.H. Algorithm of the MCC-FS internal solitary wave model and velocity field. J. Harbin Eng. Univ. 2021, 42, 1089–1095. [Google Scholar]
- Li, Y. Fractal Damage Modelling of Crazing Polymers. Ph.D. Thesis, Harbin Institute of Technology, Harbin, China, 2006. [Google Scholar]
- Wang, H.B.; Xiao, X.; Yan, Y.; Li, Q.; He, D. Influences of flow rules and yield criterion on forming limit prediction of sheet metal. J. Plast. Eng. 2022, 29, 157–165. [Google Scholar]
- Sun, D.W.; Zhang, L.; Xu, Z.H.; Zhang, G.D. Particle breakage characteristics of rockfill materials and correction of Wan-Guo hardening rule. Chin. J. Geotech. Eng. 2020, 42, 745–750. [Google Scholar]
- Xu, H.D. Analysis of Bridge Impact Coefficient with Vehicles. J. Chongqing Jiaotong Univ. Nat. Sci. 2013, 32, 5–8. [Google Scholar]
- Zhou, J.J. Human Kinetics of Jumps in Figure Skating. Master’s Thesis, Harbin Institute of Technology, Harbin, China, 2021. [Google Scholar]
- Wang, H.Y.; Zhang, D. Modeling and Simulation with Finite Element Method in Vehicle Seats. J. Tongji Univ. Nat. Sci. 2004, 32, 947–957. [Google Scholar]
- Airbus. H135 Flight Manual. Available online: http://www.helicopterindia.com/yahoo_site_admin/assets/docs/FM-EC135P2.24193407.pdf (accessed on 29 August 2022).
- Forsberg, J.; Nilsson, L. Evaluation of response surface methodologies used in crashworthiness optimization. Int. J. Impact Eng. 2006, 32, 759–777. [Google Scholar] [CrossRef]
- Li, B.H.; Liu, Y.W.; Wang, L.; Chen, X.Q.; Zou, W.J. Crashworthiness optimization for frontal-end structure of rail vehicle constrained with absorbed energy and crushed displacements. J. Jilin Univ. Eng. Technol. Ed. 2022. [Google Scholar] [CrossRef]
- Jia, Y.B.; Yu, X.L.; Yan, Q.S.; Chen, Z. Seismic dynamic reliability analysis of bridges based on ISC-Kriging response surface method. J. S. China Univ. Technol. 2015, 43, 57–66. [Google Scholar]
- Gennarelli, T.A.; Wodzin, E. Abbreviated Injury Scale 2005; Association for the Advancement of Automotive Medicine: Barrington, IL, USA, 2008. [Google Scholar]










| Material | 7075 Aluminium Alloy | Low Density Polyurethane Foam | Rigid Body |
|---|---|---|---|
| Density/(kg/m3) | 2810 | 51.5 | 281,000 |
| Young’s modulus (GPa) | 71.7 | / | 210 |
| Poisson’s ratio | 0.33 | / | 0.28 |
| Yield stress (GPa) | 0.45 | / | / |
| Tangent modulus (GPa) | 0.65 | / | / |
| Variable | Before the Optimization | After the Optimization |
|---|---|---|
| 14° | 31° | |
| 57° | 64° | |
| 303 mm | 335 mm | |
| 103 mm | 122 mm | |
| The peak spine load of the ATD | 8578 N | 6292 N |
| The mass of the system | 90.9 kg | 91.3 kg |
Publisher’s Note: MDPI stays neutral with regard to jurisdictional claims in published maps and institutional affiliations. |
© 2022 by the authors. Licensee MDPI, Basel, Switzerland. This article is an open access article distributed under the terms and conditions of the Creative Commons Attribution (CC BY) license (https://creativecommons.org/licenses/by/4.0/).
Share and Cite
Wang, X.; Li, Y.; Cao, Y.; Li, X.; Duan, S.; Zhao, Z. Research on Optimization Design of Key Energy-Absorbing Structure of a Helicopter Seat Based on Human–Seat Coupling System. Appl. Sci. 2022, 12, 8858. https://doi.org/10.3390/app12178858
Wang X, Li Y, Cao Y, Li X, Duan S, Zhao Z. Research on Optimization Design of Key Energy-Absorbing Structure of a Helicopter Seat Based on Human–Seat Coupling System. Applied Sciences. 2022; 12(17):8858. https://doi.org/10.3390/app12178858
Chicago/Turabian StyleWang, Xingye, Yanjun Li, Yuyuan Cao, Xudong Li, Shixuan Duan, and Zejian Zhao. 2022. "Research on Optimization Design of Key Energy-Absorbing Structure of a Helicopter Seat Based on Human–Seat Coupling System" Applied Sciences 12, no. 17: 8858. https://doi.org/10.3390/app12178858
APA StyleWang, X., Li, Y., Cao, Y., Li, X., Duan, S., & Zhao, Z. (2022). Research on Optimization Design of Key Energy-Absorbing Structure of a Helicopter Seat Based on Human–Seat Coupling System. Applied Sciences, 12(17), 8858. https://doi.org/10.3390/app12178858

