Electrodegradation of Acid Mixture Dye through the Employment Electrooxidation and Lemnoideae in Na2SO4 Synthetic Wastewater
Abstract
1. Introduction
2. Materials and Methods
2.1. Chemicals and Solutions
2.2. Electrochemical Setup
2.3. Plant Material, Biological Treatment and Experimental Design
- ○
- OM-OECD medium;
- ○
- ESS+OM-electrolyte supporting solution: OECD medium,1:1 (v/v);
- ○
- AM in ESS+OM-dyes mixtures in electrolyte supporting solution: OECD medium, 1:1 (v/v);
- ○
- AMCox in ESS+OM-dyes mixtures in electrolyte supporting solution: OECD medium, 1:1 (v/v) after 1 h electrooxidation with graphite anode and cathode;
- ○
- AMFe/Cuox in ESS+OM-dyes mixtures after 1 h electrooxidation in electrolyte supporting solution: OECD medium, 1:1 (v/v) after 1 h electrooxidation with iron anode and copper cathode.
- μi–j—average specific growth rate from time i to j,
- Ni—measurement variable in the test or control vessel at time i,
- Nj—measurement variable in the test or control vessel at time j,
- t—time period from i to j,
- μc—mean value for µ in the control,
- μT—mean value for µ in the treatment group,
- bc—final number of L. minor fronds and frond area minus starting number of L. minor fronds and frond area for the control group,
- bT—final number of L. minor fronds and frond area minus starting number of L. minor fronds and frond area in the treatment group.
2.4. UV-VIS Spectroscopy Analysis
2.5. Chromatography Analysis
2.6. Statistical Analysis
3. Results
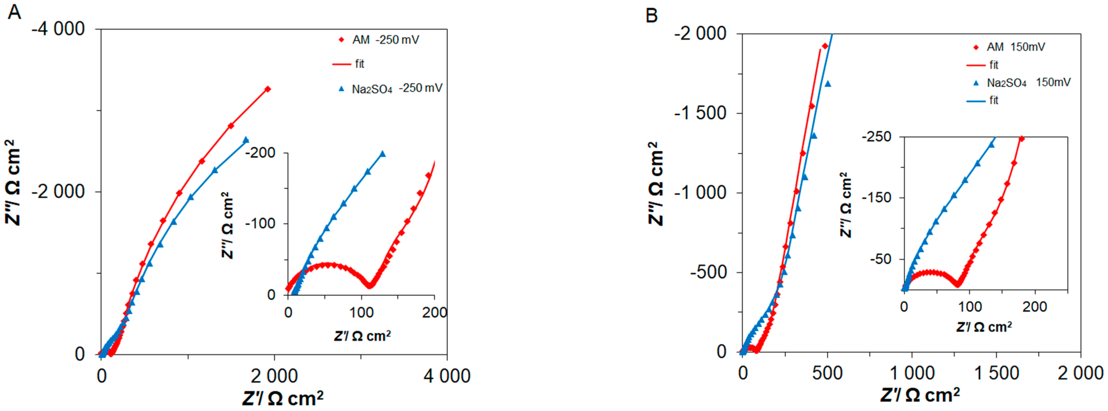
3.1. Electrochemistry
3.2. Growth Rate, Biomass Yield of Lemna minor
3.3. Dye Removal Assessment
4. Conclusions
Author Contributions
Funding
Institutional Review Board Statement
Informed Consent Statement
Data Availability Statement
Acknowledgments
Conflicts of Interest
References
- Jamee, R.; Siddique, R. Biodegradation of Synthetic Dyes of Textile Effluent by Microorganisms: An Environmentally and Economically Sustainable Approach. Eur. J. Microbiol. Immunol. 2019, 9, 114–118. [Google Scholar] [CrossRef]
- Zamora-Ledezma, C.; Negrete-Bolagay, D.; Figueroa, F.; Zamora-Ledezma, E.; Ni, M.; Alexis, F.; Guerrero, V.H. Heavy Metal Water Pollution: A Fresh Look about Hazards, Novel and Conventional Remediation Methods. Environ. Technol. Innov. 2021, 22, 101504. [Google Scholar] [CrossRef]
- Hadi Hassan Al-Taai, S. Ground Water: A Study of Its Importance, Its Sources, and the Causes of Its Pollution. Mater. Today Proc. 2021. [Google Scholar] [CrossRef]
- Hassaan, M.A.; Nemr, A.E. Health and Environmental Impacts of Dyes: Mini Review. Am. J. Environ. Sci. Eng. 2017, 1, 64–67. [Google Scholar] [CrossRef]
- Yusuf, M. Synthetic Dyes: A Threat to the Environment and Water Ecosystem. In Textiles and Clothing; Shabbir, M., Ed.; Wiley: Hobokenc, NJ, USA, 2019; pp. 11–26. ISBN 978-1-119-52631-5. [Google Scholar]
- Benkhaya, S.; M’rabet, S.; El Harfi, A. Classifications, Properties, Recent Synthesis and Applications of Azo Dyes. Heliyon 2020, 6, e03271. [Google Scholar] [CrossRef] [PubMed]
- Rawat, D.; Sharma, R.S.; Karmakar, S.; Arora, L.S.; Mishra, V. Ecotoxic Potential of a Presumably Non-Toxic Azo Dye. Ecotoxicol. Environ. Saf. 2018, 148, 528–537. [Google Scholar] [CrossRef]
- Valica, M.; Hostin, S. Electrochemical Treatment of Water Contaminated with Methylorange. Nova Biotechnol. Chim. 2016, 15, 55–64. [Google Scholar] [CrossRef]
- Sathishkumar, K.; AlSalhi, M.S.; Sanganyado, E.; Devanesan, S.; Arulprakash, A.; Rajasekar, A. Sequential Electrochemical Oxidation and Bio-Treatment of the Azo Dye Congo Red and Textile Effluent. J. Photochem. Photobiol. B 2019, 200, 111655. [Google Scholar] [CrossRef]
- Crini, G.; Lichtfouse, E. Advantages and Disadvantages of Techniques Used for Wastewater Treatment. Environ. Chem. Lett. 2019, 17, 145–155. [Google Scholar] [CrossRef]
- Sharma, S.; Saxena, R.; Gaur, G.; Gaur, G. Study of Removal Techniques for Azo Dyes by Biosorption: A Review. IOSR J. Appl. Chem. 2014, 7, 06–21. [Google Scholar] [CrossRef]
- Singh, P.K.; Singh, R.L. Bio-Removal of Azo Dyes: A Review. Int. J. Appl. Sci. Biotechnol. 2017, 5, 108–126. [Google Scholar] [CrossRef]
- Advanced Oxidation Processes for Waste Water Treatment. In Emerging Green Chemical Technology; Ameta, S.C., Ameta, R., Eds.; Academic Press: Cambridge, MA, USA, 2018; pp. 1–412. ISBN 978-0-12-810499-6. [Google Scholar]
- Liu, L.; Chen, Z.; Zhang, J.; Shan, D.; Wu, Y.; Bai, L.; Wang, B. Treatment of Industrial Dye Wastewater and Pharmaceutical Residue Wastewater by Advanced Oxidation Processes and Its Combination with Nanocatalysts: A Review. J. Water Process Eng. 2021, 42, 102122. [Google Scholar] [CrossRef]
- Li, P.; Miao, R.; Wang, P.; Sun, F.; Li, X. Bi-Metal Oxide-Modified Flat-Sheet Ceramic Membranes for Catalytic Ozonation of Organic Pollutants in Wastewater Treatment. Chem. Eng. J. 2021, 426, 131263. [Google Scholar] [CrossRef]
- Mahendran, V.; Gogate, P.R. Degradation of Acid Scarlet 3R Dye Using Oxidation Strategies Involving Photocatalysis Based on Fe Doped TiO2 Photocatalyst, Ultrasound and Hydrogen Peroxide. Sep. Purif. Technol. 2021, 274, 119011. [Google Scholar] [CrossRef]
- Kuntail, J.; Verma, A.; Kumar, S.; Sinha, I. Photo-Fenton Interfacial Phenomena on Graphene Oxide: Computational and Experimental Investigations. J. Mol. Liq. 2021, 342, 117461. [Google Scholar] [CrossRef]
- Kuczyński, M.; Łuba, M.; Mikołajczyk, T.; Pierożyński, B.; Jasiecka-Mikołajczyk, A.; Smoczyński, L.; Sołowiej, P.; Wojtacha, P. Electrodegradation of Acid Mixture Dye through the Employment of Cu/Fe Macro-Corrosion Galvanic Cell in Na2SO4 Synthetic Wastewater. Molecules 2021, 26, 4580. [Google Scholar] [CrossRef]
- Droguett, T.; Mora-Gómez, J.; García-Gabaldón, M.; Ortega, E.; Mestre, S.; Cifuentes, G.; Pérez-Herranz, V. Electrochemical Degradation of Reactive Black 5 Using Two-Different Reactor Configuration. Sci. Rep. 2020, 10, 4482. [Google Scholar] [CrossRef]
- Henke, A.H.; Saunders, T.P.; Pedersen, J.A.; Hamers, R.J. Enhancing Electrochemical Efficiency of Hydroxyl Radical Formation on Diamond Electrodes by Functionalization with Hydrophobic Monolayers. Langmuir 2019, 35, 2153–2163. [Google Scholar] [CrossRef]
- Moreira, F.C.; Boaventura, R.A.R.; Brillas, E.; Vilar, V.J.P. Electrochemical Advanced Oxidation Processes: A Review on Their Application to Synthetic and Real Wastewaters. Appl. Catal. B Environ. 2017, 202, 217–261. [Google Scholar] [CrossRef]
- Chen, M.; Ding, W.; Wang, J.; Diao, G. Removal of Azo Dyes from Water by Combined Techniques of Adsorption, Desorption, and Electrolysis Based on a Supramolecular Sorbent. Ind. Eng. Chem. Res. 2013, 52, 2403–2411. [Google Scholar] [CrossRef]
- Brito, C.N.; Ferreira, M.B.; de Moura Santos, E.C.M.; Léon, J.J.L.; Ganiyu, S.O.; Martínez-Huitle, C.A. Electrochemical Degradation of Azo-Dye Acid Violet 7 Using BDD Anode: Effect of Flow Reactor Configuration on Cell Hydrodynamics and Dye Removal Efficiency. J. Appl. Electrochem. 2018, 48, 1321–1330. [Google Scholar] [CrossRef]
- García-Osorio, D.A.; Jaimes, R.; Vazquez-Arenas, J.; Lara, R.H.; Alvarez-Ramirez, J. The Kinetic Parameters of the Oxygen Evolution Reaction (OER) Calculated on Inactive Anodes via EIS Transfer Functions: •OH Formation. J. Electrochem. Soc. 2017, 164, E3321. [Google Scholar] [CrossRef]
- Wang, C.; Tong, H.; Lu, J.; Liu, B.; Zheng, F.; Tao, W.; Zhang, W.; Chen, Q. Boosting Oxygen Evolution Reaction on Graphene through Engineering Electronic Structure. Carbon 2020, 170, 414–420. [Google Scholar] [CrossRef]
- Borah, M.; Sikdar, A.; Kapse, S.; Majumdar, A.; Dutta, P.; Karim, G.M.; Deb, S.; Thapa, R.; Maiti, U.N. Stable and Boosted Oxygen Evolution Efficiency of Mixed Metal Oxide and Borate Planner Heterostructure over Heteroatom (N) Doped Electrochemically Exfoliated Graphite Foam. Catal. Today 2021, 370, 83–92. [Google Scholar] [CrossRef]
- Costa, M.C.; Mota, F.S.B.; Santos, A.B.D.; Mendonça, G.L.F.; Nascimento, R.F.d. Effect of Dye Structure and Redox Mediators on Anaerobic Azo and Anthraquinone Dye Reduction. Quím. Nova 2012, 35, 482–486. [Google Scholar] [CrossRef]
- Yaseen, D.A.; Scholz, M. Textile Dye Wastewater Characteristics and Constituents of Synthetic Effluents: A Critical Review. Int. J. Environ. Sci. Technol. 2019, 16, 1193–1226. [Google Scholar] [CrossRef]
- de Oliveira, G.A.R.; Leme, D.M.; de Lapuente, J.; Brito, L.B.; Porredón, C.; de Brito Rodrigues, L.; Brull, N.; Serret, J.T.; Borràs, M.; Disner, G.R.; et al. A Test Battery for Assessing the Ecotoxic Effects of Textile Dyes. Chem. Biol. Interact. 2018, 291, 171–179. [Google Scholar] [CrossRef]
- Łuba, M.; Mikołajczyk, T.; Pierożyński, B.; Smoczyński, L.; Wojtacha, P.; Kuczyński, M. Electrochemical Degradation of Industrial Dyes in Wastewater through the Dissolution of Aluminum Sacrificial Anode of Cu/Al Macro-Corrosion Galvanic Cell. Molecules 2020, 25, 4108. [Google Scholar] [CrossRef]
- CAS 6408-29-3 PubChem, Compound Summary for CID 136496748, Acid Violet 90. Available online: https://pubchem.ncbi.nlm.nih.gov/compound/136496748 (accessed on 26 March 2021).
- CAS 61951-36-8 PubChem, Compound Summary for CID 137270279, Acid Red 357. Available online: https://pubchem.ncbi.nlm.nih.gov/compound/137270279 (accessed on 26 March 2021).
- OECD. Guideline for Testing of Chemicals, Section 2 Test No.221: Lemma Sp. Growth Inhibition Test; Organisation for Economic Co-Operation and Development: Paris, France, 2006; Available online: Https://www.oecd-ilibrary.org/docserver/9789264016194-en.pdf?expires=1661779910&id=id&accname=guest&checksum=ED22427A4C657941254AA4333FC74E4D (accessed on 26 March 2021).
- ISO 20079: 2005; Water Quality—Determination of Toxic Effect of Water Constituents and Wastewater on Duckweed (Lemma Minor)—Duckweed Growth Inhibition Test. The International Organization for Standardization: Geneva, Switzerland, 2005.
- EPA Ecological Effects Test Guidelines. OCSPP: 850.4400: Aquatic Plant Toxicity Test Using Lemma Spp. U.S. EPA 712-C-008. United States Environmental Protection Agency. 2012. Available online: Https://nepis.epa.gov/Exe/tiff2png.cgi/P100IR97.PNG?-r+75+-g+7+D%3A%5CZYFILES%5CINDEX%20DATA%5C11THRU15%5CTIFF%5C00000670%5CP100IR97.TIF (accessed on 26 March 2021).
- Ali, S.S.; Al-Tohamy, R.; Koutra, E.; Kornaros, M.; Khalil, M.; Elsamahy, T.; El-Shetehy, M.; Sun, J. Coupling Azo Dye Degradation and Biodiesel Production by Manganese-Dependent Peroxidase Producing Oleaginous Yeasts Isolated from Wood-Feeding Termite Gut Symbionts. Biotechnol. Biofuels 2021, 14, 61. [Google Scholar] [CrossRef]
- Nie, C.; Dong, J.; Sun, P.; Yan, C.; Wu, H.; Wang, B. An Efficient Strategy for Full Mineralization of an Azo Dye in Wastewater: A Synergistic Combination of Solar Thermo- and Electrochemistry plus Photocatalysis. RSC Adv. 2017, 7, 36246–36255. [Google Scholar] [CrossRef]
- Lasia, A. Electrochemical Impedance Spectroscopy and Its Applications; Springer: New York, NY, USA, 2014; ISBN 978-1-4614-8932-0. [Google Scholar]
- Efroymson, R.; Will, M.; Suter, G., II; Wooten, A. Toxicological Benchmarks for Screening Contaminations of Potential Concern for Effects on Terrestrial Plants: 1997 Revision; U.S. Department of Energy: Washington, DC, USA, 1997.
- Adomas, B.; Sikorski, Ł.; Bęś, A.; Warmiński, K. Exposure of Lemna Minor L. to Gentian Violet or Congo Red Is Associated with Changes in the Biosynthesis Pathway of Biogenic Amines. Chemosphere 2020, 254, 126752. [Google Scholar] [CrossRef] [PubMed]
- Torbati, S. Feasibility and Assessment of the Phytoremediation Potential of Duckweed for Triarylmethane Dye Degradation with the Emphasis on Some Physiological Responses and Effect of Operational Parameters. Turk. J. Biol. 2015, 39, 438–446. [Google Scholar] [CrossRef]
- Imron, M.F.; Kurniawan, S.B.; Soegianto, A.; Wahyudianto, F.E. Phytoremediation of Methylene Blue Using Duckweed (Lemna Minor). Heliyon 2019, 5, e02206. [Google Scholar] [CrossRef] [PubMed]
- Xing, W.; Huang, W.; Liu, G. Effect of Excess Iron and Copper on Physiology of Aquatic Plant Spirodela Polyrrhiza (L.) Schleid. Environ. Toxicol. 2010, 25, 103–112. [Google Scholar] [CrossRef] [PubMed]
- Souza, L.R.R.; Bernardes, L.E.; Barbetta, M.F.S.; da Veiga, M.A.M.S. Iron Oxide Nanoparticle Phytotoxicity to the Aquatic Plant Lemna Minor: Effect on Reactive Oxygen Species (ROS) Production and Chlorophyll a/Chlorophyll b Ratio. Environ. Sci. Pollut. Res. 2019, 26, 24121–24131. [Google Scholar] [CrossRef]
- CAS 573-58-0 PubChem, Compound Summary for CID 11313, Congo Red. Available online: https://pubchem.ncbi.nlm.nih.gov/compound/11313 (accessed on 26 March 2021).
- CAS 548-62-9 PubChem, Compound Summary for CID 11057, Gentian-Violet. Available online: https://pubchem.ncbi.nlm.nih.gov/compound/11057 (accessed on 26 March 2021).
- Lobiuc, A.; Olaru, S.; Olaru, E.-I.; Zamfirache, M.; Naela, C.; Fortuna, M.; Constantinescu, G. Toxicity and Removal of Direct Red 28 Diazo Dye in Living Polymeric Systems. Rev. Chim. Buchar. Orig. Ed. 2018, 69, 1628. [Google Scholar] [CrossRef]
- Baciak, M.; Sikorski, Ł.; Piotrowicz-Cieślak, A.; Adomas, B. Content of Biogenic Amines in Lemna Minor (Common Duckweed) Growing in Medium Contaminated with Tetracycline. Aquat. Toxicol. 2016, 180, 95–102. [Google Scholar] [CrossRef]
- Rana, S.; Kumar, K. Study of Phytotoxic Effect of Textile Wastewater on Seed Germination and Seedling Growth of Triticum Aestivum. Int. J. Biosci. Technol. 2017, 10, 58–66. [Google Scholar]
- Török, A.; Buta, E.; Indolean, C.; Tonk, S.; Silaghi-Dumitrescu, L.; Majdik, C. Biological Removal of Triphenylmethane Dyes from Aqueous Solution by Lemna Minor. Acta Chim. Slov. 2015, 62, 452–461. [Google Scholar] [CrossRef][Green Version]
- Cleuvers, M.; Ratte, H.T. The Importance of Light Intensity in Algal Tests with Coloured Substances. Water Res. 2002, 36, 2173–2178. [Google Scholar] [CrossRef]
- Yaseen, D.; Scholz, M.; Clausner, C.; Antonacopoulos, A. Assessing the Impact of Dyes Accumulation on the Growth of Lemna Minor L. Using Image Processing Technique. In Proceeding of CSE 2017 Annual PGR Symposium (CSE-PGSym17) 17th March 2017; The University of Salford: Salford, UK, 2017. [Google Scholar]
- Sikorski, Ł.; Adomas, B.; Dobiesz, M.; Baciak, M.; Piotrowicz-Cieślak, A. Morphological and Biochemical Responses of Lemna Minor L. (Common Duckweed) to Ciprofloxacin. Fresenius Environ. Bull. 2014, 23, 363–371. [Google Scholar]
- Pokharia, A.; Singh, S. Toxicological Effect of Textile Dyes and Their Metabolites: A Review Current Trends in Biotechnology and Chemical Research. Curr. Trends Biotechnol. Chem. Res. 2015, 5, 11–17. [Google Scholar]
- Bradel, B.G.; Preil, W.; Jeske, H. Remission of the Free-Branching Pattern of Euphorbia Pulcherrima by Tetracycline Treatment. J. Phytopathol. 2000, 148, 587–590. [Google Scholar] [CrossRef]
- Ishchi, T.; Sibi, G. Azo Dye Degradation by Chlorella Vulgaris: Optimization and Kinetics. Int. J. Biol. Chem. 2019, 14, 1–7. [Google Scholar] [CrossRef]
- Palanisamy, S.; Nachimuthu, P.; Awasthi, M.K.; Ravindran, B.; Chang, S.W.; Palanichamy, M.; Nguyen, D.D. Application of Electrochemical Treatment for the Removal of Triazine Dye Using Aluminium Electrodes. J. Water Supply Res. Technol. Aqua 2020, 69, 345–354. [Google Scholar] [CrossRef]






| Chemical Compound | Structural Formula | Empirical Formula | CAS Number | Molecular Weight [g × mol−1] |
|---|---|---|---|---|
| Acid Violet 90 | ![]() | C20H15N4NaO5S | 6408-29-3 | 446.4 |
| Acid Red 357 | ![]() | C16H12N5NaO7S | 61951-36-8 | 441.4 |
| MS/MS Parameters | |
|---|---|
| Precursor ion (m/z) | 447.5 (AR357) 442.5 (AV90) |
| Product ions (m/z) | - |
| Desolvation gas | nitrogen |
| Desolvation gas temperature (°C) | 350 |
| Desolvation gas flow (L/h) | 300 |
| Cone gas flow (L/h) | 150 |
| Collision gas | argon |
| Source’s temperature (°C) | 120 |
| Electrospray mode | negative |
| Cone voltage (V) | 20 |
| Capillary voltage (kV) | 3.0 |
| Retention time (min) | 0.89 (AV90) 1.10 (AR357) |
| Source of Variation | Ir | Iy | FM | DM | ||||
|---|---|---|---|---|---|---|---|---|
| F-Value | p | F-Value | p | F-Value | p | F-Value | p | |
| Intercept | 63.10554 * | 0.000000 | 82.17460 * | 0.000000 | 442.0006 * | 0.000000 | 781.8951 | 0.000000 |
| Solution type (S) | 25.82239 * | 0.000000 | 19.27117 * | 0.000000 | 37.3908 * | 0.000005 | 1.5545 | 0.259981 |
| Solution | Visible Symptoms |
|---|---|
| OM | ![]() |
| ESS+OM | ![]() |
| AM in ESS+OM | ![]() |
| AMCox in ESS+OM | ![]() |
| AMFe/Cuox in ESS+OM | ![]() |
| Sample | Concentration of Dye (mg dm−3) | Decrease in the Dye Concentration (%) (Total) |
|---|---|---|
| AM in ESS+OM (before incubation) | 23.057 | - |
| AM in ESS+OM (after incubation) | 11.803 | 49 |
| AMCox in ESS+OM (before incubation) | 14.921 | 35 |
| AMCox in ESS+OM (after incubation) | 8.451 | 43 (63) |
| AMFe/Cuox in ESS+OM (before incubation) | 13.653 | 40 |
| AMFe/Cuox in ESS+OM (after incubation) | 7.466 | 45 (68) |
| Sample | Peak Area | |
|---|---|---|
| AV90 | AR357 | |
| AM in ESS+OM (before incubation) | 614,605 | 116,270 |
| AM in ESS+OM (after incubation) | 55,637 | 1918 |
| AMCox in ESS+OM (before incubation) | 58,070 | 2205 |
| AMCox in ESS+OM (after incubation) | 12,269 | 93 |
| AMFe/Cuox in ESS+OM (before incubation) | 47,203 | 1516 |
| AMFe/Cuox in ESS+OM (after incubation) | 10,112 | 120 |
| Method of Azo Dyes Removal | Type of Process | Total Removal % | Exposure Time | Use of External Power Supply | Current Density (mA cm−2) | Use of Toxic Chemicals | Ref. |
|---|---|---|---|---|---|---|---|
| AM in ESS+OM | Biological | 48% | 7 days | No | - | No | This work |
| AMCox in ESS+OM | Combination of chemical and biological methods | 63% | 1 h + 7 days (Electrochemical + biological techniques) | Yes | 0.29 | No | This work |
| AMFe/Cuox in ESS+OM | Combination of physico-chemical and biological methods | 68% | 1 h + 7 days (Electrochemical + biological techniques) | No | 0.29 | No | This work |
| L. minor | Biological | 98% | 14 days | No | - | No | [50] |
| Novel yeast consortium | Biological | 6–16% | 1 h | No | - | Heavy metals | [36] |
| Electrochemical degradation with BDD-anode | Physico-chemical | ca. 40% | 1 h | Yes | 30.00 | No | [23] |
| L. minor | Biological | ca. 39% | 7 days | No | - | No | [47] |
| Tank with Chlorella vulgaris microalgae | Biological | ca. 18% | 2 days | No | - | No | [56] |
| Electrochemical treatment with Aluminum anodes | Physico-chemical | 87% | 1 h | Yes | - | Yes (Cl2 formation) | [57] |
| Electrochemical treatment with Sb-doped SnO2 ceramic electrodes | Physico-chemical | ca. 50% | 1 h | Yes | 15.00 | No | [19] |
Publisher’s Note: MDPI stays neutral with regard to jurisdictional claims in published maps and institutional affiliations. |
© 2022 by the authors. Licensee MDPI, Basel, Switzerland. This article is an open access article distributed under the terms and conditions of the Creative Commons Attribution (CC BY) license (https://creativecommons.org/licenses/by/4.0/).
Share and Cite
Bęś, A.; Sikorski, Ł.; Mikołajczyk, T.; Kuczyński, M.; Łuba, M.; Pierożyński, B.; Jasiecka-Mikołajczyk, A. Electrodegradation of Acid Mixture Dye through the Employment Electrooxidation and Lemnoideae in Na2SO4 Synthetic Wastewater. Appl. Sci. 2022, 12, 8672. https://doi.org/10.3390/app12178672
Bęś A, Sikorski Ł, Mikołajczyk T, Kuczyński M, Łuba M, Pierożyński B, Jasiecka-Mikołajczyk A. Electrodegradation of Acid Mixture Dye through the Employment Electrooxidation and Lemnoideae in Na2SO4 Synthetic Wastewater. Applied Sciences. 2022; 12(17):8672. https://doi.org/10.3390/app12178672
Chicago/Turabian StyleBęś, Agnieszka, Łukasz Sikorski, Tomasz Mikołajczyk, Mateusz Kuczyński, Mateusz Łuba, Bogusław Pierożyński, and Agnieszka Jasiecka-Mikołajczyk. 2022. "Electrodegradation of Acid Mixture Dye through the Employment Electrooxidation and Lemnoideae in Na2SO4 Synthetic Wastewater" Applied Sciences 12, no. 17: 8672. https://doi.org/10.3390/app12178672
APA StyleBęś, A., Sikorski, Ł., Mikołajczyk, T., Kuczyński, M., Łuba, M., Pierożyński, B., & Jasiecka-Mikołajczyk, A. (2022). Electrodegradation of Acid Mixture Dye through the Employment Electrooxidation and Lemnoideae in Na2SO4 Synthetic Wastewater. Applied Sciences, 12(17), 8672. https://doi.org/10.3390/app12178672








