An Experimental Study on the Microstructure Evolution of Soil under Lateral Consolidation Compression
Abstract
:1. Introduction
2. Materials and Methods
2.1. Experimental Materials
2.2. Experimental Plan
2.2.1. Consolidation Compression Experiment
- According to the needs of the experiment, laterally select a ring knife with an area of 30 cm2 to take the horizontal soil samples;
- Install a ring knife with a soil sample in the consolidation instrument (the knife edge should be downward), paste clean and moist filter paper on both ends of the soil sample and put a permeable stone on it. Then, place the pressure guide ring, pressure plate and directional steel ball on the top of the permeable stone in sequence;
- Check whether the connection of each part is flexible, and then pressurize;
- After the beam is in contact with the ball, insert the piston rod and load it at 0.2 MPa;
- At the end of the experiment, remove the weight, raise the pressure plate, remove the consolidation instrument and clean the instrument after taking out the soil sample.
2.2.2. SEM Experiment
- The samples after different consolidation times are reserved and dried. The horizontal section of the sample is selected as the observation surface. When the sample reaches a semi-solid state, the core of the sample is selected, and a soil strip with a length of about 5 cm and a cross-section of about 1 cm × 1 cm is cut out and dried.
- To ensure that the observation section is not disturbed, cut and grind the sample into a microscopic sample of 5 mm × 5 mm × 2 mm, and then use an ear-washing ball to blow off loose soil particles on the observation section.
- Due to the poor conductivity of soft clay, a gold film of 20~50 nm should be sprayed on the surface of the sample as a conductive material before scanning to assure the quality of microscopic images.
3. Results and Discussion
3.1. Qualitative Analysis of Soil Microstructure
3.2. Quantitative Analysis of Soil Microstructure
- Diameter D
- 2.
- Equivalent diameter D′
- 3.
- Planar porosity P
- 4.
- Circularity R0
3.2.1. Equivalent Diameter of Pores
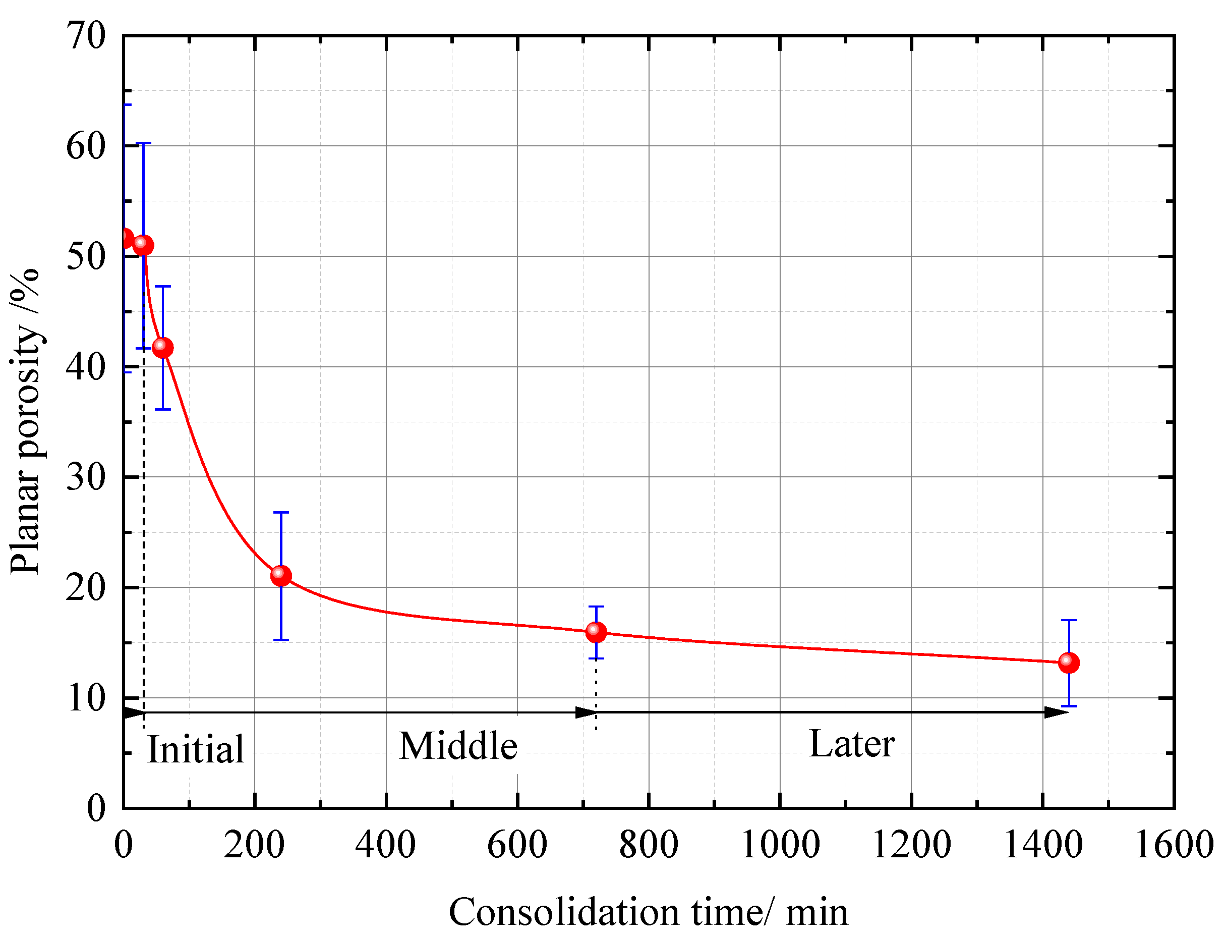
3.2.2. Planar Porosity
3.2.3. Pore Circularity
3.2.4. Distribution of Pores
3.2.5. Directional Frequency of Pores
3.2.6. Fractal Dimension of Pores
4. Conclusions
- The microstructures of the soil sample before consolidation comprised debris, aggregated particles and irregular flake-like aggregates, with large pores between particles and no directional arrangement. After consolidation, the microstructure became a closed-type flake structure, and an obvious agglomeration phenomenon occurred. The connection mode of edge–edge and edge–surface between structural units shifted to the connection mode dominated by surface–surface. In addition, the soil mass was laterally compressed, and the structure tended to be stable.
- During the consolidation compression process, the large pore structure was more likely to be compressed and damaged. The particles were cohesive, compressed and recombining with each other, resulting in a decrease in the equivalent pore diameter and plane porosity, a decrease in the area of small pores and an increase in the compactness of the soil. Furthermore, the fact that circularity was approaching unity indicated that, after consolidation, the degree of the homogeneity of the soil grew, and the soil exhibited obvious directionality. When the soil particles moved continuously under the action of consolidation compression to adjust the microstructure, the fractal dimension increased. The soil then progressively evolved to a new equilibrium condition, where the fractal dimension began to decrease and approach stability.
- The changes in soil microstructure during the lateral compression experiment simulating the effects of pile driving and soil squeezing were divided into three stages. Special emphasis should be paid to the large change in micro-properties of soil that was subjected to lateral compression pressure at the middle stage. In addition, lateral displacement was prevalent, and the influence of soil extrusion was significant. At the later stages, the pore water pressure was considerably dissipated, and then the structural adjustment of the soil advanced to a somewhat stable stage. Within this period, the effect of soil squeezing induced by adjacent construction would be significantly lessened. Controlling the speed of pile driving, the sequence of pile driving and the time interval between neighboring pile driving are all recommended as efficient methods to reduce the effect of pile driving and soil squeezing.
Author Contributions
Funding
Data Availability Statement
Acknowledgments
Conflicts of Interest
References
- Cooke, R.W.; Price, G.; Tarr, K. Jacked piles in London Clay: A study of load transfer and settlement under working conditions. Geotechnique 1979, 29, 113–147. [Google Scholar] [CrossRef]
- Gong, X.N.; Li, X.H. Several mechanical problems in compacting effects of static piling in soft clay ground. Eng. Mech. 2000, 17, 7–12. [Google Scholar]
- Hagerty, D.J.; Peck, R.B. Heave and lateral movements due to pile driving. J. Soil Mech. Found. Div. 1971, 97, 1513–1532. [Google Scholar] [CrossRef]
- Huang, J.H.; Liang, N.; Chen, C.H. Ground response during pile driving. J. Geotech. Geoenviron. Eng. 2001, 127, 939–949. [Google Scholar]
- Doherty, P.; Gavin, K. Shaft capacity of open-ended piles in clay. J. Geotech. Geoenviron. Eng. 2011, 137, 1090–1102. [Google Scholar] [CrossRef] [Green Version]
- Kim, D.; Bica, A.V.; Salgado, R.; Prezzi, M.; Lee, W. Load testing of a closed-ended pipe pile driven in multilayered soil. J. Geotech. Geoenviron. Eng. 2009, 135, 463–473. [Google Scholar] [CrossRef]
- Sagaseta, C.; Whittle, A.J. Prediction of ground movements due to pile driving in clay. J. Geotech. Geoenviron. Eng. 2001, 127, 55–66. [Google Scholar] [CrossRef]
- Luo, Z.Y.; Xia, J.Z.; Gong, X.N.; Zhu, X.R. Comparative study of dynamic simulation for compacting displacement of jacked pile and in situ test. Chin. J. Rock Mech. Eng. 2008, 27, 1709–1715. [Google Scholar]
- Luo, Z.Y.; Tao, Y.; Gong, X.N.; Zou, B.P. Soil compacting displacements for two jacked piles considering shielding effects. Acta Geotech. 2020, 15, 2367–2377. [Google Scholar] [CrossRef]
- Kou, H.L.; Chu, J.; Guo, W.; Zhang, M.Y. Field study of residual forces developed in pre-stressed high-strength concrete (PHC) pipe piles. Can. Geotech. J. 2016, 53, 696–707. [Google Scholar] [CrossRef]
- Carter, J.P.; Booker, J.R.; Yeung, S.K. Cavity expansion in cohesive frictional soils. Geotechnique 1986, 36, 349–358. [Google Scholar] [CrossRef]
- Cao, L.F.; Teh, C.I.; Chang, M.F. Undrained cavity expansion in modified Cam clay I: Theoretical analysis. Geotechnique 2001, 51, 323–334. [Google Scholar] [CrossRef]
- Li, L.; Li, J.; Sun, D.; Gong, W.B. A feasible approach to predicting time-dependent bearing performance of jacked piles from CPTu measurements. Acta Geotech. 2020, 15, 1935–1952. [Google Scholar] [CrossRef]
- Luo, Z.Y.; Zhu, X.R.; Gong, X.N. Expansion of spherical cavity of strain-softening materials with different elastic moduli of tension and compression. J. Zhejiang Univ.-Sci. A 2007, 8, 1380–1387. [Google Scholar] [CrossRef]
- Chow, Y.K.; Teh, C.I. A theoretical study of pile heave. Geotechnique 1990, 40, 1–14. [Google Scholar] [CrossRef]
- Sagaseta, C.; Whittle, A.J.; Santagata, M. Deformation analysis of shallow penetration in clay. Int. J. Numer. Anal. Methods Geomech. 1997, 21, 687–719. [Google Scholar] [CrossRef]
- Yang, S.; Liu, J.; Garg, A.; Zhang, M.Y. Analytical solution for estimating bearing capacity of a closed soil plug: Verification using an on-site static pile test. J. Mar. Sci. Eng. 2020, 8, 490. [Google Scholar] [CrossRef]
- Hird, C.C.; Ni, Q.; Guymer, I. Physical modelling of deformations around piling augers in clay. Geotechnique 2011, 61, 993–999. [Google Scholar] [CrossRef]
- Liu, W.W. Axisymmetric Centrifuge Modelling of Deep Penetration in Sand. Ph.D. Thesis, University of Nottingham, Nottingham, UK, 2010. [Google Scholar]
- Xing, H.F.; Zhao, H.W.; Ye, G.B.; Xu, C. Effect of driving long pre-stressed high-strength concrete pipe piles in alluvium and its mechanical behavior. Bull. Eng. Geol. Environ. 2012, 71, 771–781. [Google Scholar] [CrossRef]
- Lei, H.Y.; Li, X.; Lu, P.Y.; Huo, H.F. Field test and numerical simulation of squeezing effect of pipe pile. Rock Soil Mechs 2012, 33, 1006–1012. [Google Scholar]
- Mabsout, M.E.; Reese, L.C.; Tassoulas, J.L. Study of pile driving by finite-element method. J. Geotech. Eng. 1995, 121, 535–543. [Google Scholar] [CrossRef]
- Osinov, V.A. Application of a high-cycle accumulation model to the analysis of soil liquefaction around a vibrating pile toe. Acta Geotech. 2013, 8, 675–684. [Google Scholar] [CrossRef]
- Liu, J.; Duan, N.; Cui, L.; Zhu, N. DEM investigation of installation responses of jacked open-ended piles. Acta Geotech. 2019, 14, 1805–1819. [Google Scholar] [CrossRef]
- Shao, Y.; Wang, S.; Guan, Y. Numerical simulation of soil squeezing effects of a jacked pipe pile in soft foundation soil and in foundation soil with an underlying gravel layer. Geotech. Geol. Eng. 2016, 34, 493–499. [Google Scholar] [CrossRef]
- Yi, J.T.; Lee, F.H.; Goh, S.H.; Zhang, X.Y.; Wu, J.F. Eulerian finite element analysis of excess pore pressure generated by spudcan installation into soft clay. Comput. Geotech. 2012, 42, 157–170. [Google Scholar] [CrossRef]
- Yi, J.T.; Goh, S.H.; Lee, F.H.; Randolphm, F. A numerical study of cone penetration in fine-grained soils allowing for consolidation effects. Géotechnique 2012, 62, 707–719. [Google Scholar] [CrossRef]
- Koolen, A.J. Deformation and compaction of elemental soil volumes and effects on mechanical soil properties. Soil Tillage Res. 1987, 10, 5–19. [Google Scholar] [CrossRef]
- Zhang, J.X.; Zhao, J.J.; Niu, L. Analysis of soil microstructure components for squeezing effect by pile-driving. J. Eng. Geol. 2011, 19, 231–237. [Google Scholar]
- Li, F.R.; Sun, H.C.; Wang, Z.Y. Mechanism Analysis and Experimental Study of Soil-Compacting by Silent Piling. Appl. Mech. Mater. 2012, 170, 457–460. [Google Scholar] [CrossRef]
- Xu, J.; Shen, Y.; Sun, Y. Cyclic Mobilisation of Soil–Structure Interface in the Framework of Fractional Plasticity. Fractal Fract. 2022, 6, 76. [Google Scholar] [CrossRef]
- Sun, Y.F.; Gao, Y.F.; Zhu, Q. Fractional order plasticity modelling of state-dependent behaviour of granular soils without using plastic potential. Int. J. Plast. 2018, 102, 53–69. [Google Scholar] [CrossRef]
- Sun, Y.F.; Sumelka, W.; Gao, Y.F.; Nimbalkar, S. Phenomenological fractional stress–dilatancy model for granular soil and soil-structure interface under monotonic and cyclic loads. Acta Geotech. 2021, 16, 3115–3132. [Google Scholar] [CrossRef]
- Sun, Y.F.; Sumelka, W. Multiaxial stress-fractional plasticity model for anisotropically overconsolidated clay. Int. J. Mech. Sci. 2021, 205, 106598. [Google Scholar] [CrossRef]
- Ding, Z.; Zhang, M.Y.; Wei, X.J.; Hong, Q.H.; Zheng, Y.; Yu, X.F. Study on pore pressure and microstructure of frozen and thawed soft soil under subway cyclic loading. Chin. J. Rock Mech. Eng. 2016, 35, 2328–2336. [Google Scholar]
- Zhang, M.Y. Experimental Study on Dynamic Characteristics and Microstructure of Freeze-Thaw Soft Soil under Subway Cyclic Loading. Ph.D. Thesis, Zhejiang University, Hangzhou, China, 2016. [Google Scholar]
- Dai, C.X.; Zhang, Q.F.; He, S.H.; Zhang, A.; Shan, H.F.; Xia, T.D. Variation in micro-pores during dynamic consolidation and compression of soft marine soil. J. Mar. Sci. Eng. 2021, 9, 750. [Google Scholar] [CrossRef]
- Mouret, M.; Ringot, E.; Bascoul, A. Image analysis: A tool for the characterisation of hydration of cement in concrete–metrological aspects of magnification on measurement. Cem. Concr. Compos. 2001, 23, 201–206. [Google Scholar] [CrossRef]
- Scrivener, K.L.; Patel, H.H.; Pratt, P.L.; Parrott, L.J. Analysis of phases in cement paste using backscattered electron images, methanol adsorption and thermogravimetric analysis. MRS Online Proc. Libr. 1986, 85, 67–76. [Google Scholar] [CrossRef]
- Zhou, C.; Yu, L.; Huang, Z.; Liu, Z.; Zhang, L.H. Analysis of microstructure and spatially dependent permeability of soft soil during consolidation deformation. Soils Found. 2021, 61, 708–733. [Google Scholar] [CrossRef]
- Zheng, Y.M.; Sun, H.; Hou, M.X.; Ge, X.R. Microstructure evolution of soft clay under consolidation loading. Eng. Geol. 2021, 293, 106284. [Google Scholar] [CrossRef]
- Zhou, J.; Deng, Y.L.; Cao, Y.; Yan, J.J. Experimental study of microstructure of Hangzhou saturated soft soil during consolidation process. J. Cent. South Univ. 2014, 45, 1998–2005. [Google Scholar]
- Di, S.T.; Jia, C.; Ding, P.P.; Zhu, X. Microstructural Variation of Clay during Land Subsidence and the Correlation between Macroscopic and Microscopic Parameters. Materials 2022, 15, 1817. [Google Scholar] [CrossRef]
- Zhang, X.W.; Kong, L.W.; Guo, A.G.; Tuo, Y.F. Experiment study of pore distribution of strong structural clay under different consolidation pressures. Rock Soil Mech. 2014, 35, 2794–2800. [Google Scholar]
- He, S.H.; Ding, Z.; Hu, H.B.; Gao, M. Effect of Grain Size on Microscopic Pore Structure and Fractal Characteristics of Carbonate-Based Sand and Silicate-Based Sand. Fractal Fract. 2021, 5, 152. [Google Scholar] [CrossRef]
- Ding, Z.; Kong, B.W.; Wei, X.J.; Zhang, W.Y.; Xu, B.L.; Zhao, F.J. Laboratory testing to research the micro-structure and dynamic characteristics of frozen–thawed marine soft soil. J. Mar. Sci. Eng. 2019, 7, 85. [Google Scholar] [CrossRef] [Green Version]














| Density ρ/(g/cm3) | Moisture Content ω/% | Specific Gravity Gs | Plastic Limit Wp | Liquid Limit WL | Plasticity Index Ip |
|---|---|---|---|---|---|
| 1.81~1.83 | 42.9~47.5 | 2.75 | 33.4 | 51.6 | 18.2 |
| Group | A | B | C | D | E | F |
|---|---|---|---|---|---|---|
| Consolidation pressure/MPa | 0 | 0.2 | 0.2 | 0.2 | 0.2 | 0.2 |
| Consolidation time/min | 0 | 30 | 60 | 240 | 720 | 1440 |
Publisher’s Note: MDPI stays neutral with regard to jurisdictional claims in published maps and institutional affiliations. |
© 2022 by the authors. Licensee MDPI, Basel, Switzerland. This article is an open access article distributed under the terms and conditions of the Creative Commons Attribution (CC BY) license (https://creativecommons.org/licenses/by/4.0/).
Share and Cite
Zhang, X.; Ding, Z.; He, S.-H.; Zhang, G.-D.; Sun, M.-M.; Xia, T.-D. An Experimental Study on the Microstructure Evolution of Soil under Lateral Consolidation Compression. Appl. Sci. 2022, 12, 8331. https://doi.org/10.3390/app12168331
Zhang X, Ding Z, He S-H, Zhang G-D, Sun M-M, Xia T-D. An Experimental Study on the Microstructure Evolution of Soil under Lateral Consolidation Compression. Applied Sciences. 2022; 12(16):8331. https://doi.org/10.3390/app12168331
Chicago/Turabian StyleZhang, Xiao, Zhi Ding, Shao-Heng He, Gui-Di Zhang, Miao-Miao Sun, and Tang-Dai Xia. 2022. "An Experimental Study on the Microstructure Evolution of Soil under Lateral Consolidation Compression" Applied Sciences 12, no. 16: 8331. https://doi.org/10.3390/app12168331
APA StyleZhang, X., Ding, Z., He, S.-H., Zhang, G.-D., Sun, M.-M., & Xia, T.-D. (2022). An Experimental Study on the Microstructure Evolution of Soil under Lateral Consolidation Compression. Applied Sciences, 12(16), 8331. https://doi.org/10.3390/app12168331

