Abstract
Nonlinear vibration control of the twelve-poles electro-magnetic suspension system was tackled in this study, using a novel control strategy. The introduced control algorithm was a combination of three controllers: the proportional-derivative controller, the integral resonant controller , and the positive position feedback controller. According to the presented control algorithm, the mathematical model of the controlled twelve-poles rotor was established as a nonlinear four-degree-of-freedom dynamical system coupled to two first-order filters. Then, the derived nonlinear dynamical system was analyzed using perturbation analysis to extract the averaging equations of motion. Based on the extracted averaging equations of motion, the efficiency of different control strategies (i.e., ) for mitigating the rotor’s undesired vibrations and improving its catastrophic bifurcation was investigated. The acquired analytical results demonstrated that both the and controllers can force the rotor to respond as a linear system; however, the controlled system may exhibit the maximum oscillation amplitude at the perfect resonance condition. In addition, the obtained results demonstrated that the controller can eliminate the rotor nonlinear oscillation at the perfect resonance, but the system may suffer from high oscillation amplitudes when the resonance condition is lost. Moreover, we report that the combined control algorithm () has all the advantages of the individual control algorithms (i.e., ), while avoiding their drawbacks. Finally, the numerical simulations showed that the controller can eliminate the twelve-poles system vibrations regardless of both the excitation force magnitude and the resonant conditions at a short transient time.
1. Introduction
Vibration analysis and control of the electro-magnetic suspension system are among the most important research topics for scientists and engineers worldwide. The importance of this suspension system is due to its many industrial applications, including its use in rotor dynamics and in the automobile industries. The rotor electro-magnetic suspension system is a special type of active bearing that is used to support the rotating shafts without any physical contact with the stator parts of the system. The working principle of rotor electro-magnetic suspension is the application of controllable electro-magnetic attractive forces to support the rotating shafts in their hovering positions via compensating for the external loads that are exerted on these shafts. The operation of the rotating shafts without physical contact with the stators gives this suspension system many preferable features when compared with conventional bearings systems, such as less maintenance, no need for lubrication between the rotors and stators, a clean working environment, high operational speed, high reliability, and high durability. Accordingly, many research articles have investigated the dynamical characteristics of different configurations of the rotor electro-magnetic suspension system.
Different control algorithms have been proposed to enhance the vibratory characteristics and eliminate the undesired nonlinear bifurcation behaviors of this suspension system. Ji et al. [1] studied the nonlinear dynamics and motion bifurcations of a rotor electro-magnetic suspension system consisting of a four-poles configuration. They established the mathematical model that governs the rotor lateral vibrations as a two-degree-of-freedom nonlinear dynamical system. Then, they investigated the derived equations of motion using the multiple-time scales perturbation method. Based on their analysis, they reported that the rotor system may lose its stability either via saddle-node or Hopf bifurcations.
Saeed et al [2] investigated the vibratory characteristics of a rotor supported by a six-poles electro-magnetic suspension system. They introduced two control strategies utilizing the -control algorithm. The first control technique was established based on the Cartesian displacements and velocities of the rotor in the horizontal and vertical directions, while the second control technique was designed according to the radial oscillations of the rotor in the direction of the six poles. Based on their analysis, they reported that the rotor system may lose its stability and exhibit unbounded oscillation in the case of the radial control technique at a specific value of the proportional gain. In addition, they showed that the system may perform either a quasi-periodic or chaotic response in the case of the Cartesian control strategy at a strong excitation force.
Ji and Hansen [3,4] studied the nonlinear dynamics of a rotor supported by an eight-poles electro-magnetic suspension system. They applied the Cartesian PD-control strategy to improve the vibratory characteristics of that system at both primary [3] and super-harmonic resonance conditions [4]. They reported that the eight-poles system has bi-stable and tri-stable solutions. In addition, they showed that the system may be exposed to a multi-jump when the rotor angular speed crosses its first critical speed.
El-Shourbagy et al. [5] introduced a nonlinear PD-control algorithm to enhance the nonlinear lateral vibrations of a rotor supported by an eight-poles electro-magnetic suspension system. Saeed et al. [6] explored numerically the motion bifurcations of a rotor system supported by the eight poles when the rub-impact force between the rotor and stator occurs. They illustrated that the rotor may execute either full annular rub mode or rub-impact motion, depending on both the impact stiffness and the dynamic friction coefficients. In addition, Zhang et al. [7,8,9,10,11,12] introduced detailed investigations of the eight-poles electro-magnetic suspension system with variable stiffness coefficients. The nonlinear dynamical behaviors of the twelve-poles electro-magnetic suspension system were investigated utilizing the -control algorithm for the first time by El-Shourbagy et al. [13]. They reported that proportional control gain can play an important role in reshaping the system dynamics. In addition, they demonstrated that the twelve-poles system may lose its stability at a strong excitation force. Saeed et al. [14] explored the dynamical characteristics of the sixteen-poles system with constant stiffness coefficients utilizing the conventional -control algorithm. Zhang et al. [15,16,17,18] introduced extensive investigations for the sixteen-poles rotor system with time-varying stiffness coefficients. Due to the controllability and flexibility of the rotor electro-magnetic suspension system, it was used as an active actuator to control the dynamical behaviors of some rotating machines [19,20,21,22,23].
The positive position feedback () control algorithm has been applied extensively to eliminate the resonant vibrations of many dynamical systems [24,25,26,27,28]. Saeed et al. [28] utilized the -control strategy with a controller to mitigate the undesired vibrations of the eight-poles rotor system for the first time. They concluded that the controller can eliminate the system’s lateral vibration at the perfect resonance condition. However, the main drawback of this control strategy was that the controller may add excessive vibratory motion to the rotor system if the tuning condition was lost. In addition, the integral resonance controller () was one of the feasible control methods that was applied to mitigate the undesired vibrations and eliminate the nonlinear bifurcations of different dynamical systems [29,30,31,32,33,34,35,36]. Recently, Saeed et al. [36] introduced the -control algorithm for the first time to mitigate the unwanted vibrations of the eight-poles rotor system. They reported that the controller can reduce the system’s vibrations and suppress the corresponding catastrophic bifurcations. However, the main drawback of this control method was that the -controller could not eliminate the rotor vibrations at a resonance condition close to zero.
In the present work, a new control strategy is introduced to eliminate the nonlinear lateral vibrations of the twelve-poles rotor system. The proposed controller is a combination of the three control algorithms: and . Accordingly, the whole-system mathematical model is derived as a four-degree-of-freedom dynamical system that is coupled to two first-order differential equations. Then, the system dynamical model is analyzed, and the corresponding slow-flow modulation equations are extracted. Based on the obtained slow-flow modulation equation, the performance of the suggested control technique is explored. The obtained analytical results showed that the , and controllers can mitigate the nonlinear oscillation of the system and force the rotor to respond as a linear system. but the main drawback of these types of controllers (i.e., , and ) is that the controlled system may perform the maximum oscillation amplitude at the resonant condition. In addition, we found that the coupling of the controller to the system can eliminate the rotor’s undesired oscillation at the perfect resonance, but the system may suffer from high oscillation amplitudes if the resonance condition is lost. Moreover, the acquired analytical and numerical investigations demonstrated that the controller has all the advantages of the individual control algorithms (i.e., and ), while avoiding their drawbacks.
2. Equations of Motion
The studied rotor system is assumed to be a rigid body with a two-degree-of-freedom system that has mass and eccentricity and rotates with angular velocity , as shown in Figure 1. In addition, this rotor system is supported in its nominal position via the restoring forces and that are generated by twelve electro-magnetic poles. Therefore, the system equations of motion can be expressed as follows [37,38]:
where and represent the resultant restoring forces of the twelve poles in both the and directions, respectively. In this study, the attractive forces () are designed so that each adjacent pair of the poles generates a push-pull attractive force. Therefore, () can be expressed according to the electro-magnetic theory, as follows [38]:
where is constant, is constant current defined as a bias current, () is the control currents that will be defined later according to the purposed control algorithm, is the nominal air-gap size between the rotor and the twelve poles, and is the radial deviation of the rotor away from the geometric center in the direction of the pole.
Figure 1.
(a) twelve-poles rotor system at its nominal position, (b) twelve-poles rotor system with small displacements and in the horizontal and vertical directions, respectively.
Based on the system’s geometry as shown in Figure 1, for the small temporal Cartesian displacements and of the rotor in both the and directions, one can express the radial displacements of the rotor system as follows:
where is the angle between every two consecutive poles (i.e., ). In this work, the control currents were designed so that the control forces and depend on the horizontal displacement , while the forces and depend on the vertical displacement . Accordingly, the control currents () are selected as follows:
where is the control current that is responsible for eliminating the nonlinear oscillations of the rotor system in the direction, while is the control current that is responsible for eliminating the nonlinear oscillations of the rotor system in the direction. Accordingly, to eliminate the undesired vibrations of the system, an advanced control strategy was introduced. The suggested control method is a combination of three control algorithms: the controller, the controller, and the controller. Therefore, the control laws (i.e., control currents and ) are designed as follows:
where and are the control gains of the controller, and denote the control gains of the controller, and and represent the control gains of the controller. Accordingly, and are the components of the control currents ( and ) due to the controller in the and directions, respectively, and are the components of the control currents due to the controller in the and directions, respectively, while and denote the control current components due to the controller in the and directions, respectively. The equations of motion that describe the oscillatory behaviors of the controllers are provided as follows [24,25,26,27,28]:
where and denote the damping coefficients of the controllers, and represent the controller’s natural frequencies, and and are the feedback signals gains. In addition, the dynamical behaviors of the controllers are governed by first-order differential equations that are provided as follows [29,30,31,32,33,34,35,36]:
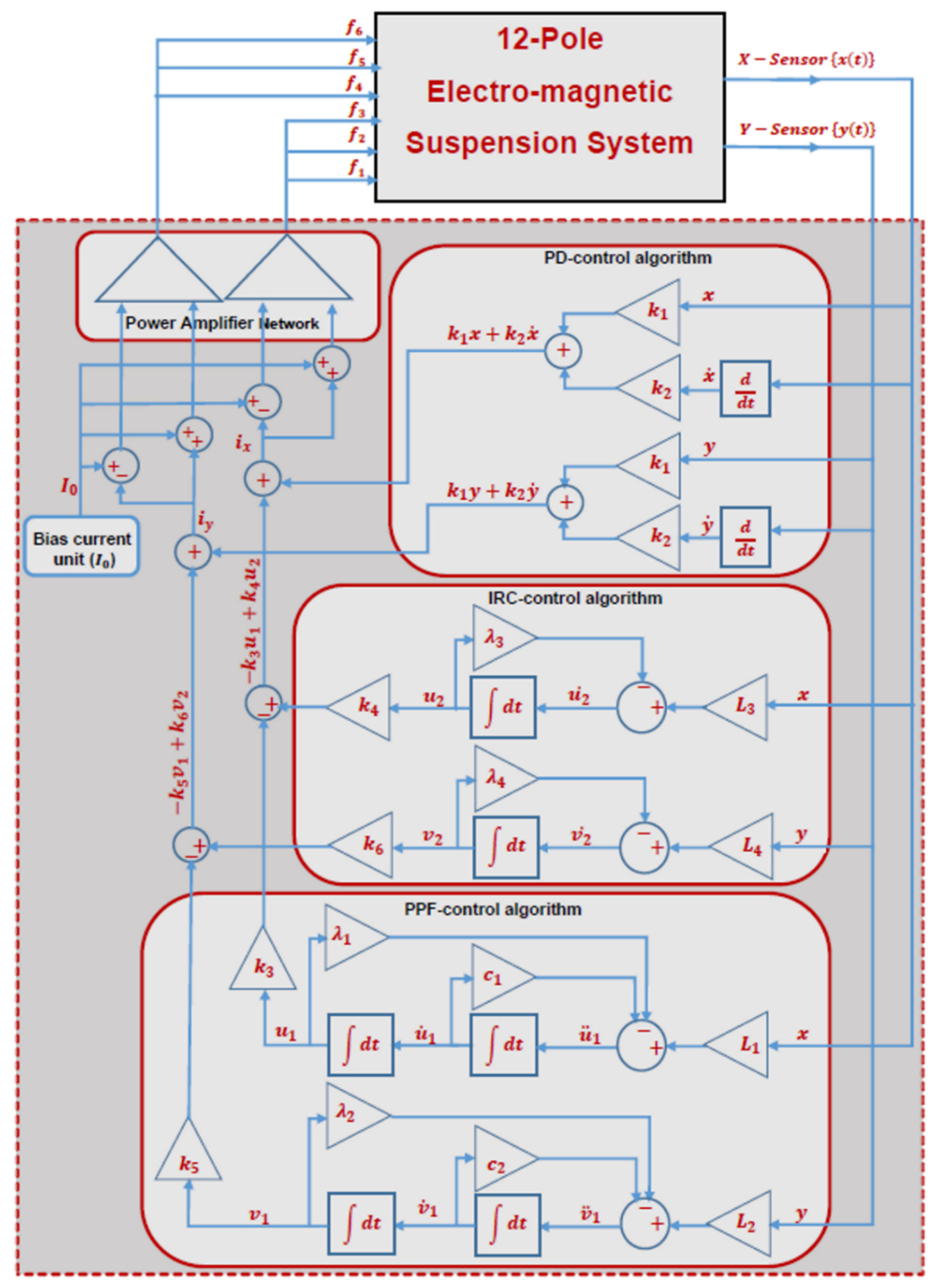
where and denote the internal feedback gain of the controller, and and represent the feedback signals gains. The interconnection between the twelve-poles system and the proposed control algorithm (i.e., the PD + IRC + PPF controllers) is illustrated schematically in Figure 2, where the temporal Cartesian oscillations (i.e., and ) of the rotor in both the and directions can be measured using two position sensors that may be fixed on the poles-housing in the and directions, as shown in Figure 1a. Then, the measured signals, and are fed into a digital computer on which the control algorithm (i.e., the PD + IRC + PPF controller) is implemented. According to the programmed algorithm, the controller computes the control currents and , as shown in Figure 2. Finally, the computed control currents are applied to a power amplifiers network to energize the twelve-poles electrical coils in order to generate the electro-magnetic forces (), which in turn try to mitigate the lateral oscillations, and , of the rotor system.
Figure 2.
The engineering implementation of the combined control algorithm (i.e., controller).
Now, to investigate the performance of the proposed closed-loop system, the whole-system model should be obtained and then analyzed to report the optimum working conditions of this system. Therefore, by substituting Equations (4) to (6) into Equation (3), we have the following:
Based on the system geometry, as shown in Figure 1, the resultant attractive forces and in the and directions due to the forces can be expressed as follows:
To simplify the rational form of the attractive forces , Equations (11) to (16) were expanded, using the Maclaurin series, up to the third order approximation, as provided in Appendix A. Now, substituting the expanded Equations (A1) to (A6) that are provided in Appendix A into Equations (17) and (18), then inserting the resulting equations into Equations (1) and (2) and introducing the dimensionless parameters: , , , , , , , , , , , , , , , , , , , , , , , , , , , , , , , , , , , , one can obtain the following dimensionless equations of motion that govern the nonlinear dynamics of the proposed closed-loop system:
Equations (19) and (20) represent the dimensionless equations of motion of the controlled twelve-poles system, while Equations (21) and (22) are the dimensionless equations of motion of the controller. In addition, Equations (23) and (24) are the dimensionless equations of motion of the controller. Accordingly, the suggested closed-loop system is governed by six-coupled nonlinear ordinary differential equations, four of which are of the second order and the other two of which are of the first order, where the coefficients of the above six equations are provided in Appendix B.
3. Analytical Investigations
Many analytical methods have been introduced in the literature to investigate both the linear and nonlinear vibration problems [39,40,41]. Accordingly, to explore the efficiency of the introduced closed-loop system, we sought an approximate solution for the system equations of motions (i.e., Equations (19) to (24)) within this section, in the form of a first-order perturbation series as follows [39,40]:
where , , and is the perturbation parameter that was used as a bookkeeping coefficient during this analysis [40]. According to the introduced two-time scales (i.e., ), the ordinary derivatives and should be re-written as follows:
In addition, to perform the perturbation analysis using as a bookkeeping coefficient, the parameters of Equations (19) to (24) should be re-scaled as follows:
Then, by substituting Equations (25) to (32) into Equations (19) to (24), we have :
:
The steady-state periodic solutions of Equations (33) to (36), (41), and (42) can be written as follows:
where , , , , . and are unknown that will be defined later. and are the complex conjugate forms of and , respectively. Inserting Equations (43) to (48) into Equations (37) to (40), we have the following:
where in Equations (49) to (52) denote the complex conjugate term. To obtain the periodic solutions of Equations (49) to (52), the resonance conditions should be eliminated. Therefore, let , and represent the closeness of the rotor angular speed () and the controller natural frequencies ( and ) to the rotor system natural frequency (), as follows:
Inserting Equation (53) into Equations (49) to (52), one can extract the following solvability conditions:
To obtain the autonomous dynamical system that describes the oscillatory behaviors of the considered closed-loop system, let us express the unknown functions and in the polar form as follows:
According to Equation (58), we have the following:
Substituting Equations (58) and (59) into Equations (54) to (57) and separating the real and imaginary part yields the following:
where , and . By inserting Equations (43) to (48) and (58) into Equations (25) to (30), one can extract an approximate solution for the closed-loop system given by Equations (19) to (24), as follows:
It is clear from Equations (68) to (71) that and are the steady-state oscillation amplitudes of the twelve-poles rotor system, while and represent the phase angles of the controlled rotor. In addition, and represent the oscillation amplitudes of the PPF controllers and are the corresponding phase angles. In addition, Equations (72) and (73) show that the dynamical characteristics of the IRC controller depend on the dynamics of the rotor system (i.e., depends on and depends on . Moreover, the derived nonlinear autonomous system that is provided by Equations (60) to (67) governs the evolution of the oscillation amplitudes () and the corresponding phase angles () of the closed-loop system as a function of the different system parameters (i.e., ). Accordingly, the dynamical characteristics of the closed-loop system can be explored by investigating the nonlinear dynamical system provided by Equations (60) to (67). Therefore, one can explore the steady-state dynamics of the closed-loop system by inserting into Equations (60) to (67), which results in the following nonlinear algebraic system:
Solving Equation (74), utilizing as a bifurcation parameter at the different values of the system and control parameters (), we can explore the efficiency of the introduced control technique (i.e., controller). In addition, to investigate the stability of the solution of Equation (74), one can check the eigenvalues of the Jacobian matrix of the dynamical system given by Equations (60) to (67), which can be obtained via letting () be the solution of Equation (74) and () be a small deviation about this solution. Therefore, one can write
Inserting Equation (75) into Equations (60) to (67) and expanding for the small deviations (), retaining the linear terms only, one can derive the following linearized dynamical system:
where () are provided in Appendix C. Accordingly, the stability of the dynamical system provided by Equations (60) to (67) has been studied by examining the eigenvalues of the linearized system provided by Equation (76) (see [42]), where the stable solution was illustrated as a solid-line, while the unstable solution was plotted as a dotted-line, as shown in the different bifurcation diagrams in Section 4.
4. Steady-State Oscillation and Bifurcation Analysis
Based on both the derived mathematical model of the closed-loop system provided by Equations (19) to (24) and the nonlinear algebraic Equation (74), one can investigate the efficiency of the proposed control technique (i.e., controller) in improving the oscillatory characteristics and eliminating the catastrophic bifurcation behaviors of the studied twelve-pole system. As Equation (74) governs the steady-state vibration amplitudes () and the corresponding phase angles (i.e., ), we can investigate the steady-state oscillatory behaviors of both the rotor system and the connected controller via solving Equation (74) numerically using the Newton–Raphson predictor–corrector algorithm (see [43]), utilizing as the bifurcation parameter, where the stable solution is plotted as a solid-line and the unstable solution is shown as a dotted-line. In addition, to validate the accuracy of the derived analytical solution (i.e., Equation (74)), as well as to investigate the full system response (i.e., steady-state and transient response) of the closed-loop system, one can simulate the system’s temporal equations of motion (i.e., Equations (19) to (24)) numerically using the Rung–Kutta method of fourth order. Accordingly, the following values of the parameters have been used to simulate the system dynamics [29,36]: , , , , , , , , , , , , where the other system parameters , , , , , are defined below Equation (24). Before proceeding further, let us go back first to the normalized equations of motion (Equations (19) to (24)), where the rotor normalized temporal displacements in the and directions are defined such that and , where is the nominal air-gap size between the rotor and the poles-housing and , are the actual temporal displacement of the rotor in the and directions, respectively. Accordingly, for safe working conditions for the rotor system without the occurrence of rub and/or impact forces between the rotor and the pole housing, and should be smaller than the air-gap size (i.e., and ). Therefore, for the safe operation of the rotor system without rub and/or impact between the rotor and the stator, and should be smaller than unity, which implies that and must be lower than unity (i.e., ). In addition, the parameter is defined in Equation (53) such that . Accordingly, is used in the whole article as a bifurcation control parameter to describe the rotor dynamics when the system angular speed () is close to or equal to the rotor’s natural frequency ().
4.1. System Dynamics in the Case of -Control Algorithm
The parameters and denote the normalized proportional gain and derivative gain of the -control algorithm, respectively. In addition, the parameters and are the normalized control gains the -control algorithm that is connected to the rotor system, while and represent the normalized control gains of the -control algorithm (see Equations (6), (19) and (20)). Moreover, the parameters and are the normalized feedback gains of the -control algorithm, while , denote the feedback gains of the -control algorithm (see Equations (7)–(10) and (21)–(24)). Accordingly, one can investigate the influence of the controller only on the rotor dynamics via setting ().
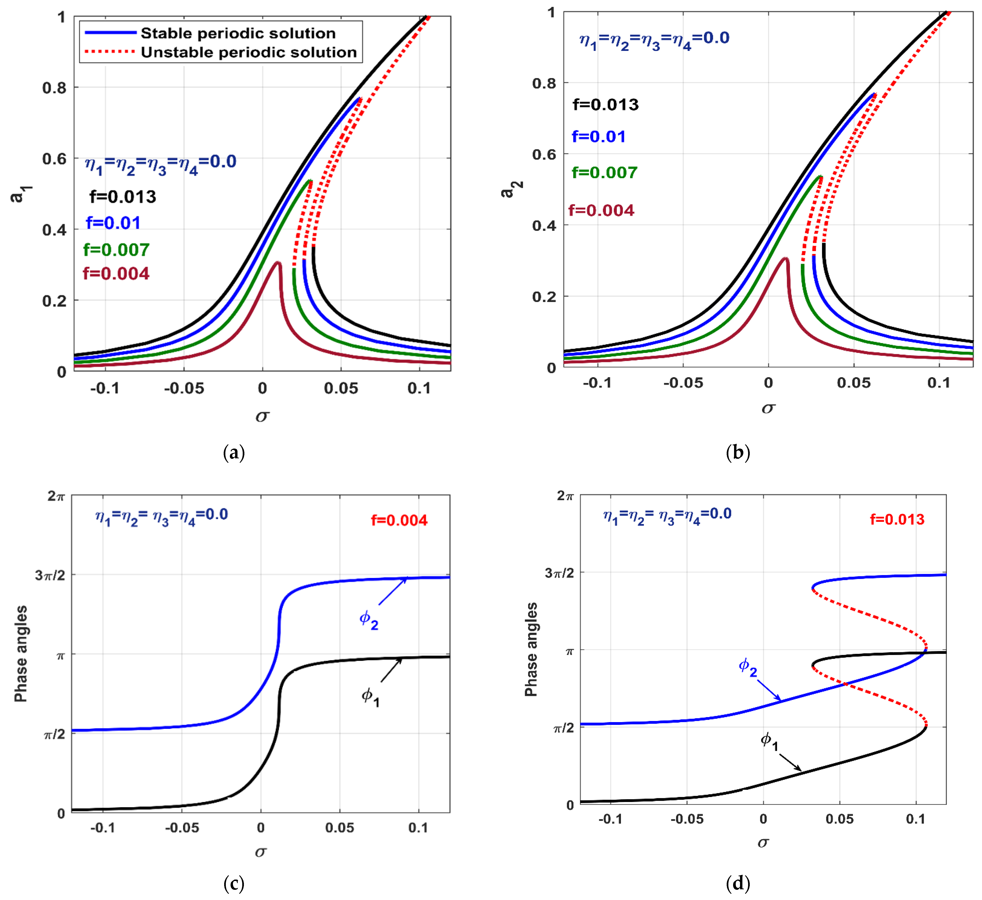
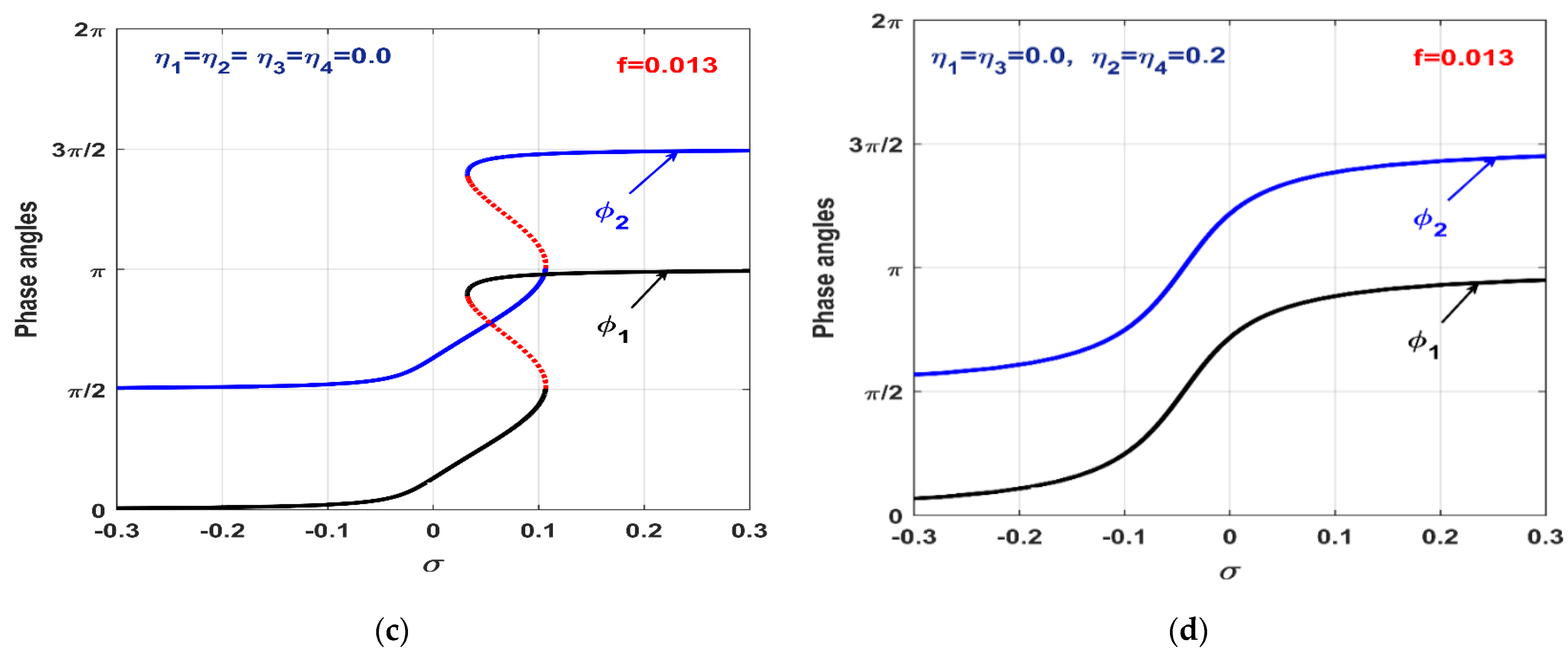
This section is dedicated to investigating the rotor dynamics in the case of the -control algorithm only, at different levels of the excitation force , as shown in Figure 3. The figure was obtained by solving the nonlinear system provided by Equation (74) when at and . Figure 3a,b shows the rotor steady-state vibration amplitudes in both the and directions at four different values of the excitation force , while Figure 3c shows the evolution of the phase angles and versus when . In addition, Figure 3d illustrates the phase angles and at . It is clear from Figure 3a,b that the vibration amplitudes ( and ) of the twelve-poles system is a monotonic increasing function of the excitation force, where the rotor system may be subjected to rub and/or impact force between the rotating disk and the pole-housing if (i.e., the rotor may exhibit vibration amplitudes and/or if ). Accordingly, one can conclude that the considered system can work properly without a catastrophic rub and/or impact between the rotor and stator, as long as the excitation force is smaller than when only the -control algorithm is applied. In addition, Figure 3c,d depicts that the phase angle is always greater than , which means that the rotor system performs a forward whirling motion only (according to Equations (68) and (69)) along the axis, regardless of the excitation force magnitude. By examining Figure 3, one can note that the rotor system has symmetric oscillation amplitudes in both the and directions (i.e., ) and the phase difference is always , which demonstrates that the rotor system performs a circular forward whirling motion along the axis, regardless of the excitation force magnitude.
Figure 3.
Vibration amplitudes and phase angles of the twelve-poles rotor in the case of the PD-control algorithm only: (a,b) vibration amplitudes () when and , (c) phase angles () when , (d) phase angles () when .
4.2. System Dynamics in the Case of the -Control Algorithm
The rotor dynamics at four different magnitudes of the excitation force were investigated when both the - and -control algorithms were applied simultaneously. Figure 4a–c shows the steady-state vibration amplitudes of both the rotor system ( and ) and the -control algorithm ( and ) when , , , and at the four excitation force amplitudes and . In addition, Figure 4e,f illustrates the evolution of the rotor phase angles and at and , respectively. By comparing Figure 3a,b with Figure 4a,b, one can deduce that the integration of the PPF-control algorithm to the twelve-poles rotor has suppressed the system’s vibrations at the perfect resonance condition (i.e., it has suppressed the system’s vibrations at ). However, two undesired resonant peaks appeared on both sides of . In addition, Figure 4a,b demonstrates that the rotor system may work safely without rub and/or impact between the rotor and the poles-housing, as long as the excitation force (i.e., and as long as ). Moreover, Figure 4e,f shows that the phase difference () of the rotor lateral oscillations in the and directions is always constant, so that , which implies that the system exhibits only a forward circular whirling motion, regardless of both the angular speed and the excitation force magnitude. Generally, Figure 4 shows that the integration of the -control algorithm to the system with the -controller suppressed the rotor’s undesired vibrations at the perfect resonance condition (i.e., when , ), regardless of the excitation force amplitude; however, the system may suffer from high oscillation, especially if . Accordingly, the -control algorithm acts as a notch filter that eliminates the system’s vibrations at a specific frequency band.

Figure 4.
Vibration amplitudes of the twelve-poles rotor and the controller in the case of the -control algorithm when and : (a,b) vibration amplitudes () of the rotor, (c,d) vibration amplitudes () of the controller, (e) phase angles () when , and (f) phase angles () when .
4.3. System Dynamics in the Case of the -Control Algorithm
The oscillatory behaviors of the system were explored when the -control algorithm was coupled to the rotor system with the controller, while the controller was turned off. Accordingly, Figure 5 shows the motion bifurcation of the rotor system when , , , and at four different magnitudes of the excitation force (i.e., and ). It is clear from Figure 5a,b that the -control algorithm forced the twelve-poles system to respond like the linear system, even at the strong excitation forces. Moreover, Figure 5c,d demonstrates that the system can perform only a circular forward whirling motion along the axis, regardless of the excitation force magnitude, where and , are symmetric on the interval . By examining Figure 5, we can deduce that the system can rotate safely without rub and/or impact force between the rotor and the stator, even at the strong excitation forces (i.e., ), compared with the case of the -control algorithm only, as shown in Figure 3. Therefore, coupling the -control algorithm to the system increased the rotor linear damping coefficients, which ultimately decreased the lateral vibrations even at the large excitation forces. However, the IRC controller could not eliminate the system vibrations close to zero at the resonance condition (i.e., at ), as in the case of the PPF-control technique, but the maximum vibration occurred at . Therefore, utilizing the - and -control techniques as a one-control algorithm, along with the PD controller, may have the advantages of both the and controllers, as illustrated in the next subsection.
Figure 5.
Vibration amplitudes of the twelve-poles rotor in the case of the -control algorithm when and : (a,b) vibration amplitudes () of the rotor, (c) phase angles () when , and (d) phase angles when .
4.4. System Dynamics in the Case of -Control Algorithm
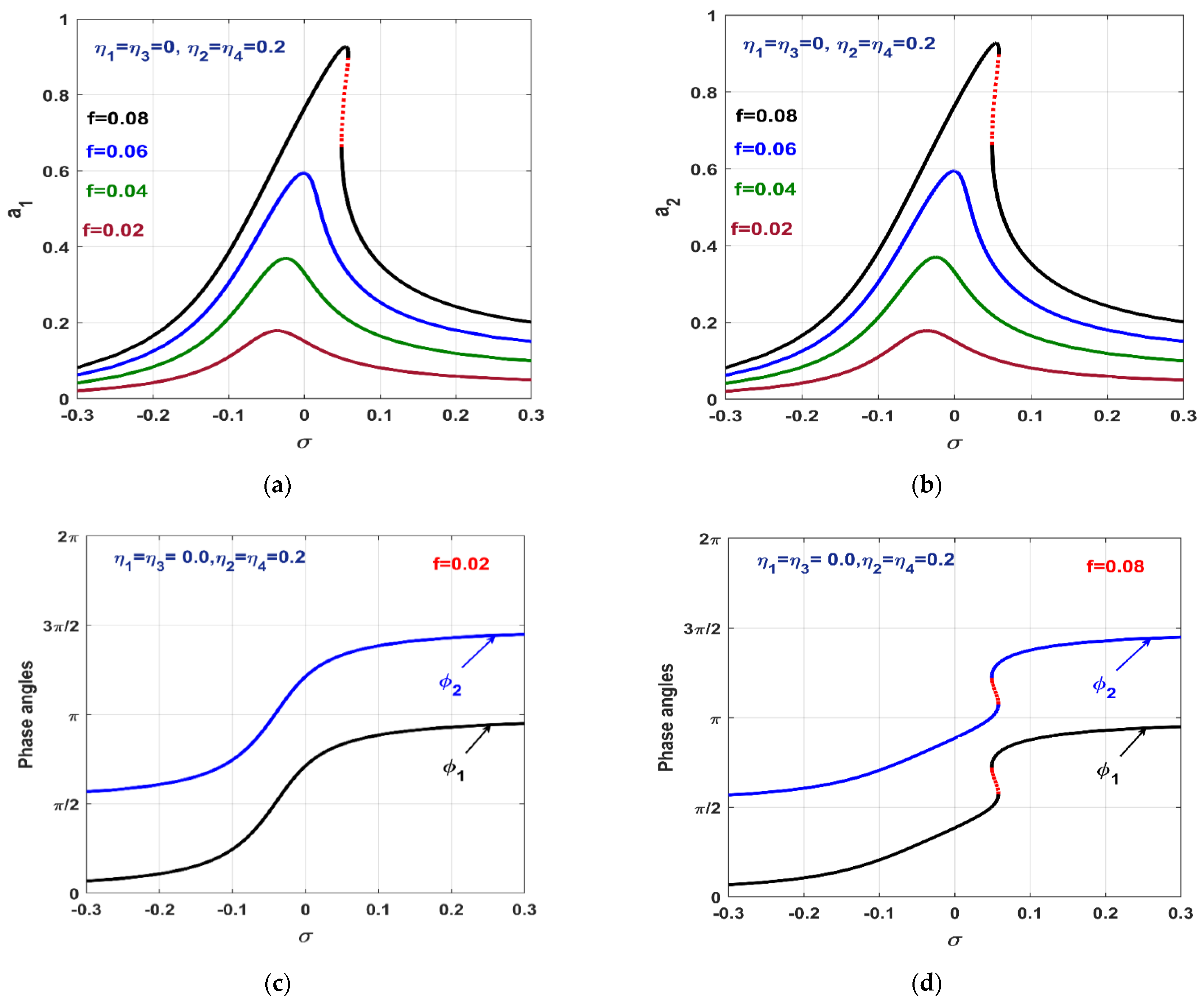
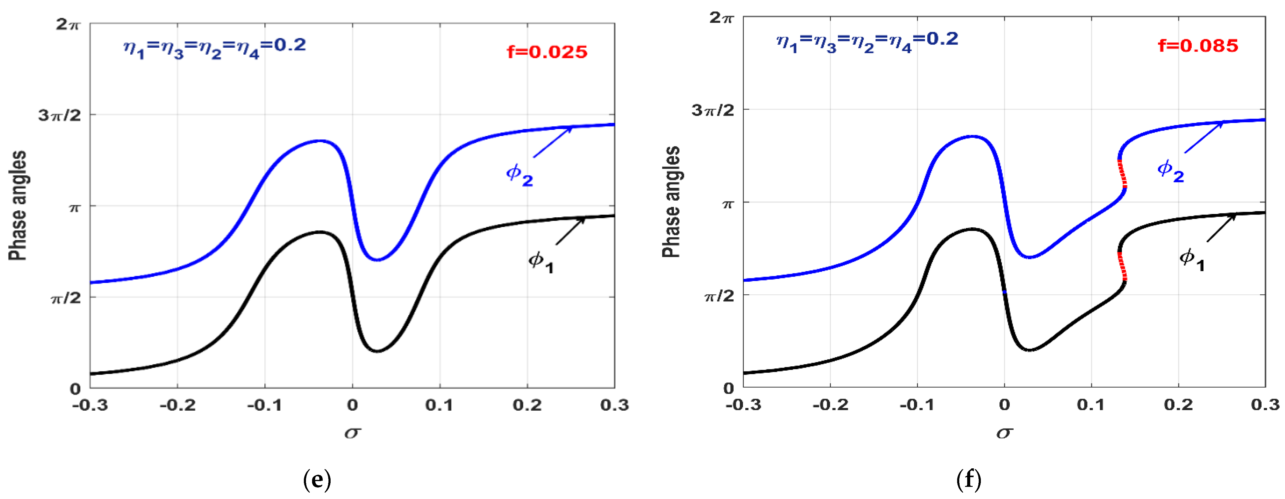
The dynamical behaviors of the considered twelve-poles rotor system were explored when the three control algorithms (i.e., -control algorithms) were activated simultaneously. Figure 6 shows the nonlinear dynamics of the controlled rotor system when , , when the extinction force and . Figure 6a,b illustrates the evolution of the system’s lateral vibrations (, ) against , while Figure 6c,d shows the vibration amplitudes of the PPF controller against the detuning parameter . In addition, Figure 6e,f illustrates the phase difference of the rotor’s lateral vibrations in both the and directions when and , respectively. It is clear from Figure 6a,b that the vibration amplitudes (, ) of the twelve-poles system was close to zero, regardless of the excitation force magnitude, as long as , due to the effect of the -control algorithm. In addition, the resonant peaks that appeared on both sides of (as in Figure 4a,b) were mitigated, due to the effect of the -control algorithm. Moreover, Figure 6a,b shows that the rotor system worked properly without impact occurrence between the rotor and stator, as long as . It was also clear from Figure 6e,f that the controlled rotor system performed a circular forward whirling motion, as long as , where the phase difference was . Based on Figure 3 to Figure 6, one can conclude that the integration of the , , and -control algorithms to act as a single controller can provide for the safe operation of the considered rotor system with small oscillation amplitudes at the resonant conditions (i.e., when ), even if the excitation force is strong.

Figure 6.
Vibration amplitudes of the twelve-poles rotor in the case of the -control algorithm when and : (a,b) vibration amplitudes () of the rotor, (c,d) vibration amplitudes () of the controller, (e) phase angles () when , and (f) phase angles () when .
4.5. Sensitivity Analysis of the -Control Algorithm
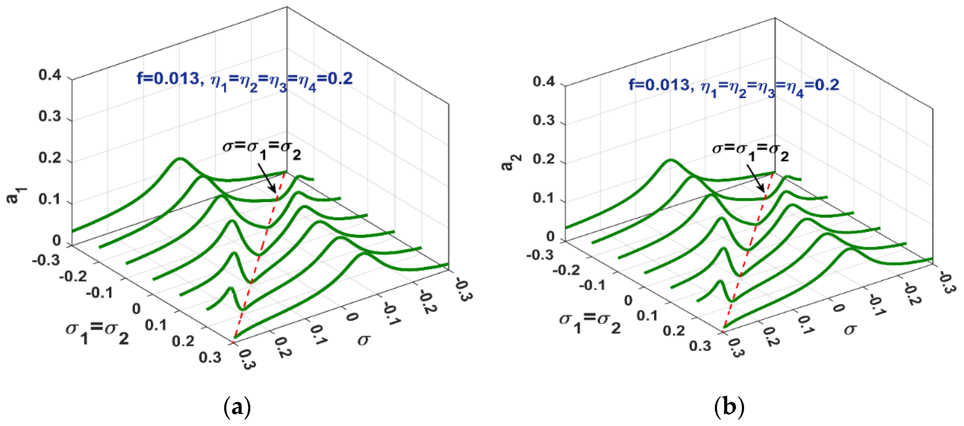
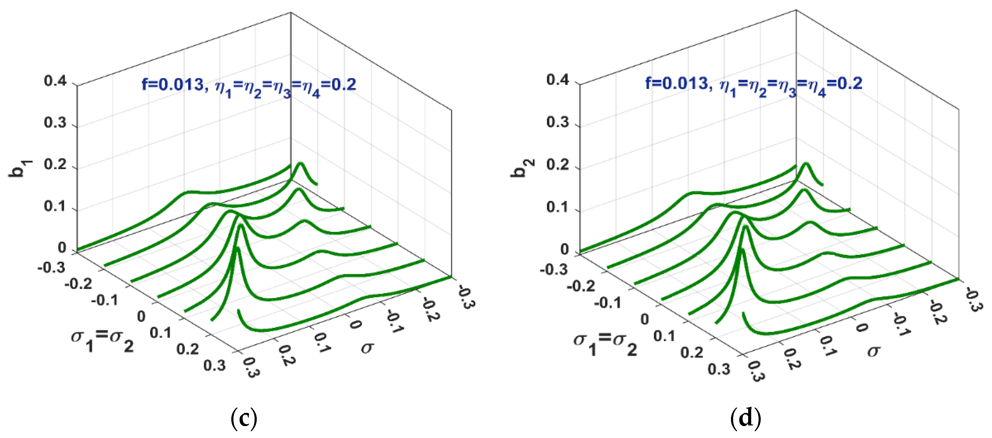
As the combined control algorithm (i.e., ) has many advantages over the individual three control techniques, this subsection explores the sensitivity of this control method to the variation of different control gains. The effect of increasing the proportional gain () on the vibration suppression efficiency of the control algorithm is illustrated in Figure 7. The figure shows that the increase in increases the oscillation amplitudes (, ) of the twelve-poles system and degrades the control algorithm’s efficiency. Therefore, the gain should be kept at the small possible value to guarantee the high performance of the proposed control technique. Based on the system parameters provided below Equation (24), the natural frequency of the rotor system is defined as . Therefore, the minimum value of should be selected in a way that guarantees that . On the other hand, the effect of the -control gains (i.e., and ) on the whole-system dynamics is depicted in Figure 8. The figure demonstrates that the increase of and (i.e., ) enhanced the controller performance in eliminating the rotor oscillations at the perfect resonance condition (i.e., when ), as well as widening the frequency band at which the system could work properly with small vibration amplitudes. In addition, Figure 9 demonstrates that the increase in the -control gains (i.e., ) decreased the resonant peaks that appeared on both sides of , and improved the controller efficiency in suppressing the twelve-poles rotor vibrations along the axis (i.e., the controller was able to eliminate the rotor oscillations at any angular speed , ). Finally, the best tuning conditions between natural frequencies of both the rotor system () and the suggested control technique ( and ) are shown in Figure 10, where the rotor vibration amplitudes ( and ) are plotted in 3D space against the variables and . By examining Figure 10a,b, we deduced that the smallest oscillation amplitudes of the rotor system (i.e., ) occurred along the dashed line that had the equation . Therefore, the best working condition of the introduced control algorithm occurred if . Accordingly, one can conclude from Equation (53) that the optimum tuning conditions (i.e., ) occurred when adjusting the controller’s natural frequencies ( and ) had the same value of rotor angular speed (). Accordingly, the combined control algorithm eliminated the rotor vibrations close to zero, regardless of the excitation force amplitude and its angular speed, if the control gains and the tuning condition were applied, as discussed above.
Figure 7.
Vibration amplitudes of the twelve-poles rotor in the case of the -control algorithm at when and : (a,b) vibration amplitudes () of the rotor, and (c,d) vibration amplitudes () of the controller.
Figure 8.
Vibration amplitudes of the twelve-poles rotor in the case of the -control algorithm at when and : (a,b) vibration amplitudes () of the rotor, and (c,d) vibration amplitudes () of the controller.
Figure 9.
Vibration amplitudes of the twelve-poles rotor in the case of the -control algorithm at when and : (a,b) vibration amplitudes () of the rotor, and (c,d) vibration amplitudes () of the controller.

Figure 10.
Vibration amplitudes of the twelve-poles s rotor in the case of the -control algorithm at and : (a,b) vibration amplitudes () of the rotor, and (c,d) vibration amplitudes () of the controller.
5. Numerical Simulations and Comparative Study
Numerical validations for all of the obtained results in Section 4 were validated numerically via solving the temporal equations of the closed-loop system (i.e., Equations (19) to (24)), using the Rung–Kutta method. In addition, the performances of the different control algorithms in eliminating the twelve-poles system vibrations were compared. It is worth mentioning that the small circles illustrated in Figure 11 represents the steady-state numerical solution of Equations (19) to (24). This numerical solution was obtained via solving Equations (19) to (24) numerically, using the ODE MATLAB solver for a long time-period until reaching the steady-state response at the different values of (notice that ). Then, the maximum temporal vibration amplitudes at steady-state were captured as the steady-state vibration amplitudes (i.e., , , , ).

Figure 11.
Vibration amplitudes and phase angles of the twelve-poles rotor in the case of both the -control only and the -control algorithms, when : (a,b) vibration amplitudes () of the rotor, and (c,d) vibration amplitudes () of the -controller, (e) phase angles () when , and (f) phase angles () when .
Figure 11 compares the rotor dynamics in the case of both the - and the -control algorithms, when the excitation force . The excellent correspondence between the numerical solutions (i.e., small circles) obtained by solving Equations (19)–(22) and the analytical solutions (i.e., solid and dotted lines) obtained by solving the algebraic system provided by Equation (74) is clear. In addition, the figure demonstrates that the coupling of the -control algorithm with the PD controller eliminated the strong vibration amplitudes of the rotor at the resonance condition (i.e., when ); however, two resonant peaks appeared on both sides of . Accordingly, we concluded that the -control algorithm had high efficiency in eliminating the rotor’s undesired vibrations at the perfect resonance case (i.e., when or, in other words, when the angular speed was equal to the system’s natural frequency , ). However, if the resonant condition was lost (i.e., ), the controller may pump excessive vibratory energy to the rotor system, rather than suppress it (see, for example, Figure 11a,b at ).
The instantaneous oscillations of the controlled twelve-poles system in the case of both the - and the -control algorithms are simulated in Figure 12, according to Figure 11, at , , and . The figure was obtained by solving Equations (19) to (22) numerically on the time interval and turning off the -control algorithm (i.e., with setting ); then, at the instant , the -control algorithm was turned on via setting along the period . Figure 12a,b illustrates the instantaneous oscillations of the twelve-poles system in the case of both the -control algorithm on the time interval and the -control algorithm on the time interval , while Figure 12c shows the rotor whirling orbit before and after turning on the PPF-control algorithm. Figure 12d compares the vibration amplitude of the rotor system in the case of both the and -control algorithms. In addition, Figure 12e,f illustrates the temporal oscillations of the controller. It is clear from the figure that the high instantaneous oscillations of the rotor system (i.e., and ) in the case of the controller only were suppressed close to zero when the -control algorithm was activated at the time instant , where the rotor vibration energy was channeled to controller.

Figure 12.
Time response of the rotor system according to Figure 11 when (i.e., when ) in the case of the -control algorithm and the -control algorithm: (a,b) the temporal oscillations and of the rotor system, (c) the rotor whirling orbits, (d) the rotor frequency spectrum, and (e,f) the temporal oscillations and of the PPF controller.
Figure 13 illustrates the instantaneous oscillatory behaviors of the twelve-poles system in the case of both the PD-control algorithm only and the -control algorithm, according to Figure 11, when (i.e., when the perfect resonance condition is lost, ). Therefore, Figure 13 is a repetition of Figure 12, but . It is clear from Figure 13a,b that the twelve-poles system exhibited small vibration amplitudes on the time interval as long as the controller only was activated. However, the figures demonstrate that the activation of the controller along with controller on the time interval increased the rotor lateral vibration rather than suppressing it, which agrees with Figure 11 at .

Figure 13.
Time response of the rotor system according to Figure 11 when (i.e., when ) in the case of the -control algorithm and the -control algorithm: (a,b) the temporal oscillations and of the rotor system, (c) the rotor whirling orbits, (d) the rotor frequency spectrum, and (e,f) the temporal oscillations and of the PPF controller.
The steady-state oscillatory motion of the rotor system in the case of both the -control algorithm only and the -control algorithm is compared in Figure 14, when . It is clear from the figure that the high oscillation amplitudes that occurred at the resonance case (i.e., when ) in the case of the PD-control algorithm only was mitigated to small lateral oscillations when the combined -control algorithm was activated. However, while the -control algorithm can mitigate the rotor vibrations along the axis, it cannot eliminate the rotor vibration close to zero at the resonant condition, as in the case of the -control algorithm.

Figure 14.
Vibration amplitudes and phase-angles of the twelve-poles rotor in the case of both the -control only and the -control algorithm when : (a,b) vibration amplitudes () of the rotor, (c) phase angles () when , and (d) phase angles () when .
Numerical simulations for the instantaneous lateral vibrations of the rotor system (i.e., and ) and the IRC-control algorithm (i.e., and ) are illustrated in Figure 15 and Figure 16, according to Figure 14 when and , respectively. The two figures were obtained via solving Equations (19), (20), (23), and (24) using ODE45 MATLAB solver on the time interval and deactivating the -control algorithm (i.e., when ), while at the controller was turned on by setting , on the interval . One can note from Figure 15 that the strong instantaneous vibrations of the system (i.e., and ) in the case of the -control technique at was reduced to small values (but not close to zero) when the -control algorithm was turned on at and the rotor vibration energy was partially transferred to the controller. On the other hand, Figure 16 shows that the -control algorithm also reduced the rotor vibrations to a small value when rather than pumping more excess energy to the system, as in the case of the -control technique (see Figure 13).

Figure 15.
Time response of the rotor system according to Figure 14 when (i.e., when ) in the case of the -control algorithm and the -control algorithm: (a,b) the temporal oscillations and of the rotor system, (c) the rotor whirling orbits, (d) the rotor frequency spectrum, and (e,f) the temporal oscillations and of the controller.

Figure 16.
Time response of the rotor system according to Figure 14 when (i.e., when ) in the case of the -control algorithm and the -control algorithm: (a,b) the temporal oscillations and of the rotor system, (c) the rotor whirling orbits, (d) the rotor frequency spectrum, (e,f) the temporal oscillations , and of the controller.
Finally, the rotor dynamics in the case of both the - and the -control algorithms are compared in Figure 17, when . It is clear from the figure that the high oscillation amplitudes of the rotor system in the vicinity of in the case of the -control algorithm only have been eliminated close to zero, when the -control algorithm is considered. In addition, the resonant peaks that appeared in Figure 11 (i.e., in the case of -control) were also suppressed, as shown in Figure 17. In other words, the -control algorithm had all the advantages of the individual control algorithms and , while avoiding their drawbacks.
Figure 17.
Vibration amplitudes and phase angles of the twelve-poles rotor in the case of both the -control algorithm only and the -control algorithm when : (a,b) vibration amplitudes () of the rotor, and (c,d) vibration amplitudes () of the controller, (e) phase angles () when , and (f) phase angles () when .
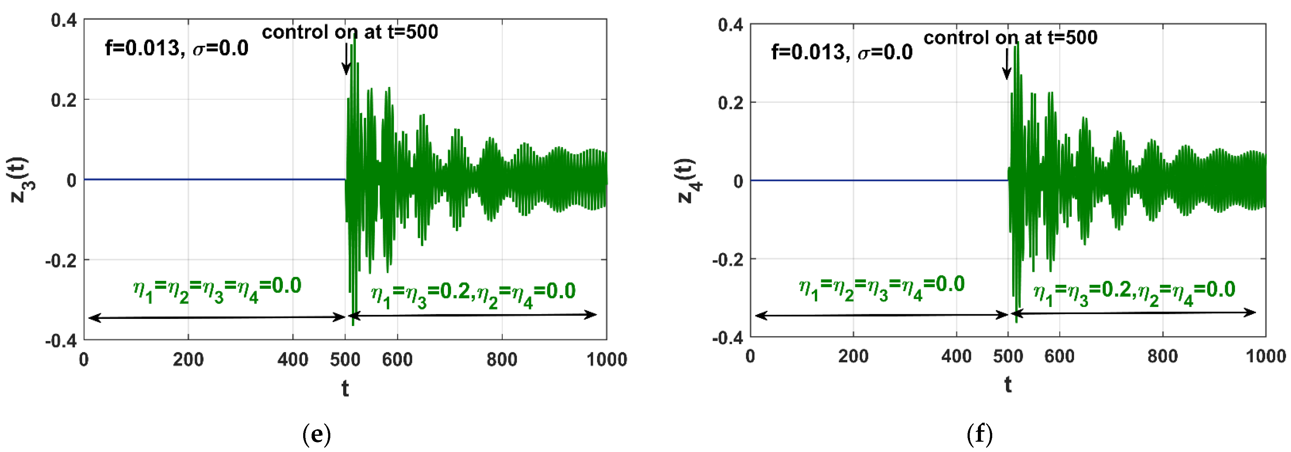
Figure 18 and Figure 19 compare the instantaneous oscillations of the rotor system in the care of both the - and the -control algorithms, according to Figure 17, when at and , respectively. Figure 18 was obtained by solving Equations (19) to (24) numerically, using the ODE45 solver along the time interval and activating the controller only (i.e., , , and ); then, at the time instant , the -control algorithm was turned on, along with the controller, via setting on the time interval . Figure 19 is a repetition of Figure 18, but when rather than . By examining Figure 18a–c, one can notice that the high oscillation amplitudes of the twelve-poles system were eliminated close to zero at a very small transient time as soon as the controller was turned on. In addition, Figure 19 demonstrates that the -control algorithm did not add excessive energy to the rotor system when the resonant condition was lost (i.e., when ).

Figure 18.
Time response of the rotor system according to Figure 17 when (i.e., when ) in the case of the -control algorithm and the -control algorithm: (a,b) the temporal oscillations and of the rotor system, (c) the rotor whirling orbits, (d) the rotor frequency spectrum, (e,f) the temporal oscillations and of the controller, and (g,h) the temporal oscillations and of the controller.

Figure 19.
Time response of the rotor system according to Figure 17 when (i.e., when ) when the -control algorithm and the -control algorithm are applied: (a,b) the temporal oscillations and of the rotor system, (c) the rotor whirling orbits, (d) the rotor frequency spectrum, (e,f) the temporal oscillations and of the controller, and (g,h) the temporal oscillations and of the controller.
6. Conclusions
In this article, three different control techniques were introduced to eliminate the undesired vibrations of the twelve-poles electro-magnetic suspension system. The introduced control algorithms were the , , and controllers and their different combinations (i.e., ). Relying on the classical mechanics’ principle, the dynamical model that governs the controlled twelve-poles rotor was established as a nonlinear four-degree-of-freedom system that is coupled to two first-order filters. Then, an approximate analytical solution for the controlled system mathematical model was obtained using the asymptotic analysis. Based on the derived analytical solution, the efficiency of the different control algorithms in suppressing the undesired vibrations and improving the bifurcation characteristics of the considered twelve-poles system was explored. In addition, numerical simulations were performed to confirm the accuracy of the obtained analytical investigations, as well as to explore the transient oscillatory behaviors of the rotor system with the different control strategies. Based on our analysis and the discussions above, we reached the following conclusions:
- The rotor system responds as a linear dynamical system with small vibration amplitudes in the case of the PD-control algorithm, as long as the excitation force .
- When only the -control algorithm is activated, the twelve-poles rotor behaves like a hardening duffing oscillator, and the nonlinearities dominate its response when the rotor is exposed to a considerable excitation force amplitude (i.e., ) at the resonance condition. In addition, the electro-magnetic suspension system may suffer from rub and/or impact force between the rotor and the stator if in the case of -control algorithm.
- Integrating the -control algorithm with -controller can eliminate the rotor’s undesired vibrations at the resonance condition (i.e., when ) to negligible oscillation amplitudes, regardless of the excitation force magnitude, but two undesired resonant peaks appear on both sides of that may result in high vibrations for the rotor system if the resonant condition is lost (i.e., if ).
- The -control algorithm can mitigate the undesired vibrations and eliminate the nonlinear bifurcation behaviors of the twelve-poles system. However, the main drawback of this controller is that the rotor may perform high oscillation amplitude at the perfect resonance (i.e., when ).
- Utilizing the three control algorithms (i.e., ) as one control strategy eliminated the high oscillation amplitudes of the rotor system close to zero at the perfect resonance conditions. In addition, the resonant peaks that appeared in the case of controller were also suppressed close to zero.
- The -control algorithm has all the advantages of the individual control algorithms, and , while avoiding their drawbacks.
- Although both the and -control algorithms can eliminate the nonlinear vibrations of the twelve-poles system at the perfect resonance condition, the has the advantage of having the short transient time in suppressing this undesired motion.
- Tuning the natural frequencies ( and ) of the -control algorithm to be close to or equal to the rotor angular speed () guarantees the elimination of the system’s lateral vibrations, regardless of the excitation force magnitude.
Author Contributions
Conceptualization, N.A.S., J.A. and K.A.G.; data curation, N.A.S.; formal analysis, S.M.E.-S. and J.A.; funding acquisition, J.A. and K.A.G.; investigation, N.A.S., S.M.E.-S., J.A. and K.A.G.; methodology, N.A.S., S.M.E.-S. and J.A.; project administration, M.K., K.R.R., J.A. and K.A.G.; resources, N.A.S., M.K. and J.A.; software, N.A.S., S.M.E.-S. and J.A.; supervision, N.A.S., M.K., K.R.R., J.A. and K.A.G.; validation, N.A.S., S.M.E.-S. and J.A.; visualization, N.A.S., S.M.E.-S. and J.A.; writing—original draft, N.A.S., S.M.E.-S. and J.A.; writing—review and editing, N.A.S., J.A. and K.A.G. All authors have read and agreed to the published version of the manuscript.
Funding
This research was funded by the Researchers Supporting Project, Taif University, Taif, Saudi Arabia, under grant number TURSP-2020/16. This work was also supported by the National Science Centre, Poland, under grant number OPUS 14 No. 2017/27/B/ST8/01330.
Institutional Review Board Statement
Not applicable.
Informed Consent Statement
Not applicable.
Data Availability Statement
Not applicable.
Acknowledgments
The authors thank to Taif University Researchers for Supporting Project number (TURSP-2020/16), Taif, Saudi Arabia.
Conflicts of Interest
The authors declared no potential conflict of interest with respect to the research, authorship, and/or publication of this article.
Abbreviations
| Normalized displacement, velocity, and acceleration of the twelve-poles system in the direction. | |
| Normalized displacement, velocity, and acceleration of the twelve-poles system in the direction. | |
| Normalized displacement, velocity, and acceleration of the -control algorithm that connected to the twelve-poles system in the direction. | |
| Normalized displacement, velocity, and acceleration of the -control algorithm that connected to the twelve-poles system in the direction. | |
| Normalized displacement, and velocity of the -control algorithm that connected to the twelve-poles system in the direction. | |
| Normalized displacement, and velocity of the -control algorithm that connected to the twelve-poles system in the direction. | |
| Normalized damping parameter of the twelve-poles rotor system. | |
| Normalized damping parameters of the -control algorithms. | |
| The normalized natural frequency of the twelve-poles rotor system. | |
| Normalized natural frequencies of the -control algorithms. | |
| Normalized Internal-loop feedback gains of the -control algorithms. | |
| The normalized angular speed of the twelve-poles rotor system. | |
| Normalized excitation force of the twelve-poles rotor system. | |
| Normalized proportional and derivative control gains of the -control algorithm, respectively. | |
| Normalized control gains of the -control algorithms. | |
| Normalized control gains of the -control algorithms. | |
| Normalized feedback gains of the -control algorithms. | |
| Normalized feedback gains of the -control algorithms. | |
| Normalized nonlinear coupling coefficients due to the -control algorithm. | |
| Normalized nonlinear coupling coefficients due to both the and control algorithms in the direction. | |
| Normalized nonlinear coupling coefficients due to both the and control algorithms in the direction. | |
| Normalized vibration amplitudes of the twelve-poles rotor system in the and directions, respectively. | |
| Phase angles of the twelve-poles rotor system in the and directions, respectively. | |
| Normalized vibration amplitudes of the -control algorithms in the and directions, respectively. | |
| Phase angles of the -control algorithms in the and directions, respectively. | |
| Difference between the angular speed () and the normalized natural frequency (: . |
Appendix A
Expanding Equations (11) to (16), using the Maclaurin series up to the third-order approximation, yields the following:
Appendix B
Appendix C
References
- Ji, J.C.; Yu, L.; Leung, A.Y.T. Bifurcation behavior of a rotor supported by active magnetic bearings. J. Sound Vib. 2000, 235, 133–151. [Google Scholar] [CrossRef]
- Saeed, N.A.; Awwad, E.M.; El-Meligy, M.A.; Nasr, E.S.A. Radial Versus Cartesian Control Strategies to Stabilize the Non-linear Whirling Motion of the Six-Pole Rotor-AMBs. IEEE Access 2020, 8, 138859–138883. [Google Scholar] [CrossRef]
- Ji, J.C.; Hansen, C.H. Non-linear oscillations of a rotor in active magnetic bearings. J. Sound Vib. 2001, 240, 599–612. [Google Scholar] [CrossRef]
- Ji, J.C.; Leung, A.Y.T. Non-linear oscillations of a rotor-magnetic bearing system under superharmonic resonance conditions. Int. J. Non-Linear Mech. 2003, 38, 829–835. [Google Scholar] [CrossRef]
- El-Shourbagy, S.M.; Saeed, N.A.; Kamel, M.; Raslan, K.R.; Abouel Nasr, E.; Awrejcewicz, J. On the Performance of a Non-linear Position-Velocity Controller to Stabilize Rotor-Active Magnetic-Bearings System. Symmetry 2021, 13, 2069. [Google Scholar] [CrossRef]
- Saeed, N.A.; Mahrous, E.; Abouel Nasr, E.; Awrejcewicz, J. Non-linear dynamics and motion bifurcations of the rotor active magnetic bearings system with a new control scheme and rub-impact force. Symmetry 2021, 13, 1502. [Google Scholar] [CrossRef]
- Zhang, W.; Zhan, X.P. Periodic and chaotic motions of a rotor-active magnetic bearing with quadratic and cubic terms and time-varying stiffness. Nonlinear Dyn. 2005, 41, 331–359. [Google Scholar] [CrossRef]
- Zhang, W.; Yao, M.H.; Zhan, X.P. Multi-pulse chaotic motions of a rotor-active magnetic bearing system with time-varying stiffness. Chaos Solitons Fractals 2006, 27, 175–186. [Google Scholar] [CrossRef]
- Zhang, W.; Zu, J.W.; Wang, F.X. Global bifurcations and chaos for a rotor-active magnetic bearing system with time-varying stiffness. Chaos Solitons Fractals 2008, 35, 586–608. [Google Scholar] [CrossRef]
- Zhang, W.; Zu, J.W. Transient and steady non-linear responses for a rotor-active magnetic bearings system with time-varying stiffness. Chaos Solitons Fractals 2008, 38, 1152–1167. [Google Scholar] [CrossRef]
- Li, J.; Tian, Y.; Zhang, W.; Miao, S.F. Bifurcation of multiple limit cycles for a rotor-active magnetic bearings system with time-varying stiffness. Int. J. Bifurc. Chaos 2008, 18, 755–778. [Google Scholar] [CrossRef]
- Li, J.; Tian, Y.; Zhang, W. Investigation of relation between singular points and number of limit cycles for a rotor–AMBs system. Chaos Solitons Fractals 2009, 39, 1627–1640. [Google Scholar] [CrossRef]
- El-Shourbagy, S.M.; Saeed, N.A.; Kamel, M.; Raslan, K.R.; Aboudaif, M.K.; Awrejcewicz, J. Control Performance, Stability Conditions, and Bifurcation Analysis of the Twelve-pole Active Magnetic Bearings System. Appl. Sci. 2021, 11, 10839. [Google Scholar] [CrossRef]
- Saeed, N.A.; Kandil, A. Two different control strategies for 16-pole rotor active magnetic bearings system with constant stiffness coefficients. Appl. Math. Model. 2021, 92, 1–22. [Google Scholar] [CrossRef]
- Wu, R.; Zhang, W.; Yao, M.H. Analysis of non-linear dynamics of a rotor-active magnetic bearing system with 16-pole legs. In Proceedings of the International Design Engineering Technical Conferences and Computers and Information in Engineering Conference, Cleveland, OH, USA, 6–9 August 2017. [Google Scholar] [CrossRef]
- Wu, R.Q.; Zhang, W.; Yao, M.H. Non-linear dynamics near resonances of a rotor-active magnetic bearings system with 16-pole legs and time varying stiffness. Mech. Syst. Signal Process. 2018, 100, 113–134. [Google Scholar] [CrossRef]
- Zhang, W.; Wu, R.Q.; Siriguleng, B. Non-linear Vibrations of a Rotor-Active Magnetic Bearing System with 16-Pole Legs and Two Degrees of Freedom. Shock. Vib. 2020, 2020, 5282904. [Google Scholar]
- Ma, W.S.; Zhang, W.; Zhang, Y.F. Stability and multi-pulse jumping chaotic vibrations of a rotor-active magnetic bearing system with 16-pole legs under mechanical-electric-electro-magnetic excitations. Eur. J. Mech. A/Solids 2021, 85, 104120. [Google Scholar] [CrossRef]
- Ishida, Y.; Inoue, T. Vibration suppression of non-linear rotor systems using a dynamic damper. J. Vib. Control. 2007, 13, 1127–1143. [Google Scholar] [CrossRef]
- Saeed, N.A.; Awwad, E.M.; El-Meligy, M.A.; Nasr, E.S.A. Sensitivity analysis and vibration control of asymmetric non-linear rotating shaft system utilizing 4-pole AMBs as an actuator. Eur. J. Mech. A/Solids 2021, 86, 104145. [Google Scholar] [CrossRef]
- Saeed, N.A.; Eissa, M. Bifurcation analysis of a transversely cracked non-linear Jeffcott rotor system at different resonance cases. Int. J. Acoust. Vib. 2019, 24, 284–302. [Google Scholar] [CrossRef]
- Saeed, N.A.; Awwad, E.M.; El-Meligy, M.A.; Nasr, E.S.A. Analysis of the rub-impact forces between a controlled non-linear rotating shaft system and the electromagnet pole legs. Appl. Math. Model. 2021, 93, 792–810. [Google Scholar] [CrossRef]
- Srinivas, R.S.; Tiwari, R.; Kannababu, C. Application of active magnetic bearings in flexible rotordynamic systems—A state-of-the-art review. Mech. Syst. Signal Processing 2018, 106, 537–572. [Google Scholar] [CrossRef]
- Shan, J.; Liu, H.; Sun, D. Slewing and vibration control of a single-link flexible manipulator by positive position feedback (PPF). Mechatronics 2005, 15, 487–503. [Google Scholar] [CrossRef]
- Ahmed, B.; Pota, H.R. Dynamic compensation for control of a rotary wing UAV using positive position feedback. J. Intell. Robot. Syst. 2011, 61, 43–56. [Google Scholar] [CrossRef]
- Warminski, J.; Bochenski, M.; Jarzyna, W.; Filipek, P.; Augustyinak, M. Active suppression of non-linear composite beam vibrations by selected control algorithms. Commun. Nonlinear Sci. Numer. Simul. 2011, 16, 2237–2248. [Google Scholar] [CrossRef]
- Omidi, E.; Mahmoodi, S.N. Non-linear vibration suppression of flexible structures using non-linear modified positive position feedback approach. Nonlinear Dyn. 2015, 79, 835–849. [Google Scholar] [CrossRef]
- Saeed, N.A.; Kandil, A. Lateral vibration control and stabilization of the quasiperiodic oscillations for rotor-active magnetic bearings system. Nonlinear Dyn. 2019, 98, 1191–1218. [Google Scholar] [CrossRef]
- Diaz, I.M.; Pereira, E.; Reynolds, P. Integral resonant control scheme for cancelling human-induced vibrations in light-weight pedestrian structures. Struct. Control Health Monit 2012, 19, 55–69. [Google Scholar] [CrossRef]
- Al-Mamun, A.; Keikha, E.; Bhatia, C.S.; Lee, T.H. Integral resonant control for suppression of resonance in piezoelectric micro-actuator used in precision servomechanism. Mechatronics 2013, 23, 1–9. [Google Scholar] [CrossRef]
- Omidi, E.; Mahmoodi, S.N. Non-linear integral resonant controller for vibration reduction in non-linear systems. Acta Mech. Sin 2016, 32, 925–934. [Google Scholar] [CrossRef]
- MacLean, J.D.J.; Sumeet, S.A. A modified linear integral resonant controller for suppressing jump phenomenon and hysteresis in micro-cantilever beam structures. J. Sound Vib. 2020, 480, 115365. [Google Scholar] [CrossRef]
- Omidi, E.; Mahmoodi, S.N. Sensitivity analysis of the Non-linear Integral Positive Position Feedback and Integral Resonant controllers on vibration suppression of non-linear oscillatory systems. Commun. Nonlinear Sci. Numer. Simul. 2015, 22, 149–166. [Google Scholar] [CrossRef]
- Saeed, N.A.; El-Shourbagy, S.M.; Kamel, M.; Raslan, K.R.; Aboudaif, M.K. Nonlinear Dynamics and Static Bifurcations Control of the 12-Pole Magnetic Bearings System Utilizing the Integral Resonant Control strategy. J. Low Freq. Noise Vib. Act. Control 2022. [Google Scholar] [CrossRef]
- Saeed, N.A.; Moatimid, G.M.; Elsabaa, F.M.; Ellabban, Y.Y.; Elagan, S.K.; Mohamed, M.S. Time-Delayed Non-linear Integral Resonant Controller to Eliminate the Non-linear Oscillations of a Parametrically Excited System. IEEE Access 2021, 9, 74836–74854. [Google Scholar] [CrossRef]
- Saeed, N.A.; Mohamed, M.S.; Elagan, S.K.; Awrejcewicz, J. Integral Resonant Controller to Suppress the Non-linear Oscillations of a Two-Degree-of-Freedom Rotor Active Magnetic Bearing System. Processes 2022, 10, 271. [Google Scholar] [CrossRef]
- Ishida, Y.; Yamamoto, T. Linear and Non-Linear Rotordynamics: A Modern Treatment with Applications, 2nd ed.; Wiley-VCH Verlag GmbH & Co. KGaA: New York, NY, USA, 2012. [Google Scholar]
- Schweitzer, G.; Maslen, E.H. Magnetic Bearings: Theory, Design, and Application to Rotating Machinery; Springer: Berlin/Heidelberg, Germany, 2009. [Google Scholar]
- Nayfeh, A.H.; Mook, D.T. Non-Linear Oscillations; Wiley: New York, NY, USA, 1995. [Google Scholar]
- Nayfeh, A.H. Resolving Controversies in the Application of the Method of Multiple Scales and the Generalized Method of Averaging. Nonlinear Dyn. 2005, 40, 61–102. [Google Scholar] [CrossRef]
- Vlase, S.; Năstac, C.; Marin, M.; Mihălcică, M. A method for the study of the vibration of mechanical bars systems with symmetries. Acta Tech. Napoc. 2017, 60, 539–544. [Google Scholar]
- Slotine, J.-J.E.; Li, W. Applied Non-Linear Control; Prentice Hall: Englewood Cliffs, NJ, USA, 1991. [Google Scholar]
- Yang, W.Y.; Cao, W.; Chung, T.; Morris, J. Applied Numerical Methods Using Matlab; John Wiley & Sons, Inc.: Hoboken, NJ, USA, 2005. [Google Scholar]
Publisher’s Note: MDPI stays neutral with regard to jurisdictional claims in published maps and institutional affiliations. |
© 2022 by the authors. Licensee MDPI, Basel, Switzerland. This article is an open access article distributed under the terms and conditions of the Creative Commons Attribution (CC BY) license (https://creativecommons.org/licenses/by/4.0/).





























