Ear Centering for Accurate Synthesis of Near-Field Head-Related Transfer Functions †
Abstract
1. Introduction
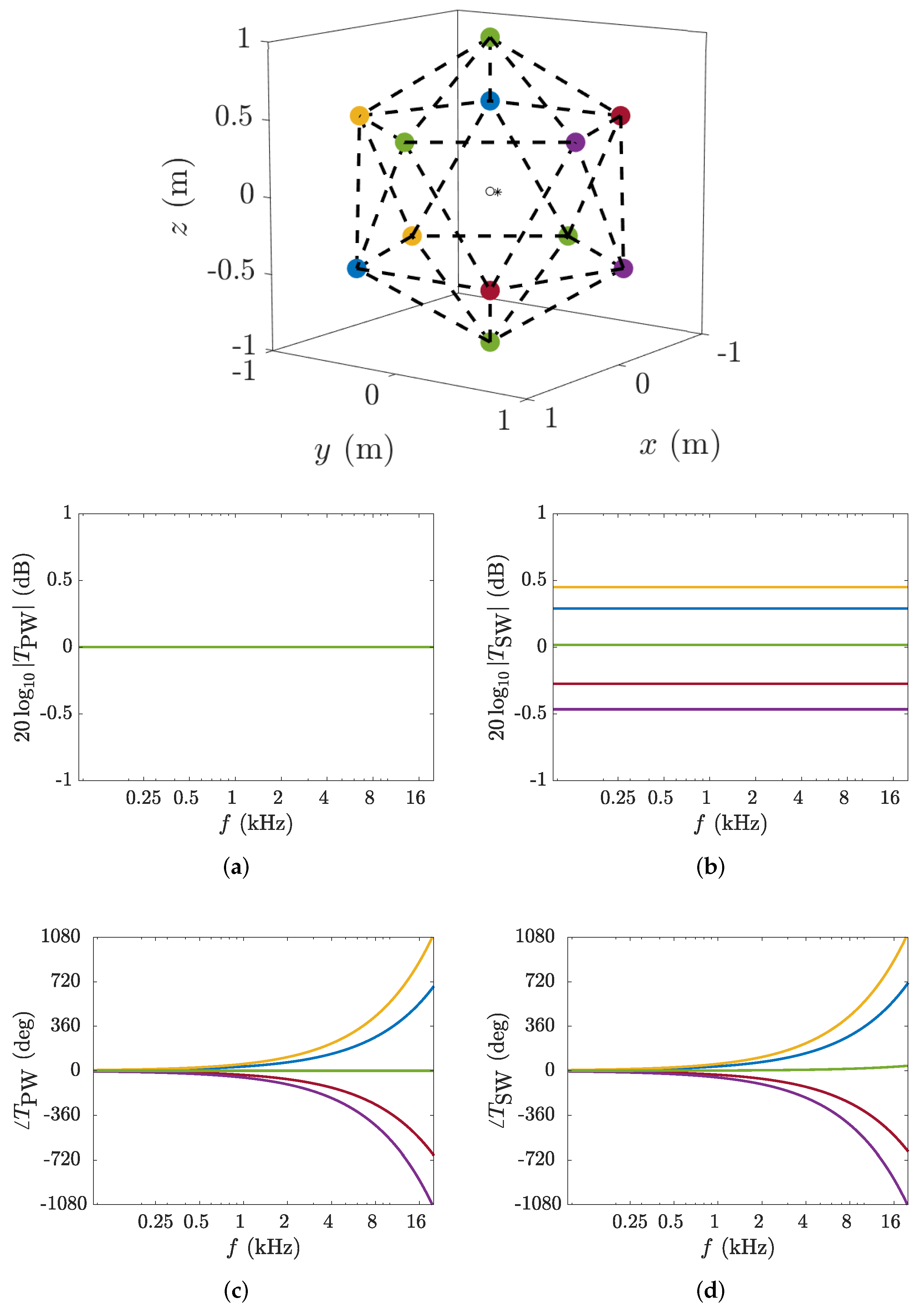
- (a)
- The new SW translation operators translate the reference position and maintain fixed ear positions, whereas the previous translation operators translate the ear positions. The new operators are therefore consistent with the definition of HRTFs.
- (b)
- The open question on whether PW and SW translation operators are equivalent when encoding HRTF datasets in the far field is addressed in this paper. The results are presented as a novel content in Section 4.
- (c)
- The use of complex-valued SFT basis functions in this paper generalizes previous formulations based on real-valued SFT basis functions. This generalization allows for more precise analyses in terms of magnitude and phase.
- (d)
- The review structured in Table 1 is new.
- (e)
- This paper generalizes the theory, whereas the conference paper was oriented to implementing a particular case.
2. Ear Centering for Near-Field HRTF Synthesis
3. Evaluation with Calculated HRTF Datasets
3.1. Conditions
3.2. Error Metric
3.3. Results
4. Effectiveness of SW Ear Centering in the Encoding Stage of HRTF Synthesis
- Blue and yellow dots: ,
- Green dots: ,
- Purple and red dots: .
5. Conclusions
Author Contributions
Funding
Institutional Review Board Statement
Informed Consent Statement
Data Availability Statement
Acknowledgments
Conflicts of Interest
References
- Algazi, V.; Duda, R. Headphone-based spatial sound. IEEE Signal Process. Mag. 2011, 28, 33–42. [Google Scholar] [CrossRef]
- Salvador, C.D.; Sakamoto, S.; Treviño, J.; Suzuki, Y. Design theory for binaural synthesis: Combining microphone array recordings and head-related transfer function datasets. Acoust. Sci. Technol. 2017, 38, 51–62. [Google Scholar] [CrossRef]
- Zhang, W.; Samarasinghe, P.N.; Chen, H.; Abhayapala, T.D. Surround by sound: A review of spatial audio recording and reproduction. Appl. Sci. 2017, 7, 532. [Google Scholar] [CrossRef]
- Schörkhuber, C.; Zaunschirm, M.; Holdrich, R. Binaural rendering of ambisonic signals via magnitude least squares. In Proceedings of the DAGA German Annual Conference on Acoustics, Munich, Germany, 19–22 March 2018; Volume 44, pp. 339–342. [Google Scholar]
- Blauert, J. Spatial Hearing: The Psychophysics of Human Sound Localization; Revised Edition; MIT Press: Cambridge, MA, USA; London, UK,, 1997. [Google Scholar]
- Prepeliţă, S.T.; Bolaños, J.G.; Pulkki, V.; Savioja, L.; Mehra, R. Numerical simulations of near-field head-related transfer functions: Magnitude verification and validation with laser spark sources. J. Acoust. Soc. Am. 2020, 148, 153–166. [Google Scholar] [CrossRef]
- Arend, J.M.; Liesefeld, H.R.; Pörschmann, C. On the influence of non-individual binaural cues and the impact of level normalization on auditory distance estimation of nearby sound sources. Acta Acust. United Acust. 2021, 5, 10. [Google Scholar] [CrossRef]
- Armstrong, C. Improvements in the Measurement and Optimisation of Head Related Transfer Functions for Binaural Ambisonics. Ph.D. Thesis, University of York, York, UK, 2019. [Google Scholar]
- Brungart, D.S. Near-Field Virtual Audio Displays. Presence Teleop. Virt. Environ. 2002, 11, 93–106. [Google Scholar] [CrossRef]
- Sakamoto, S.; Monasterolo, F.; Salvador, C.D.; Cui, Z.; Suzuki, Y. Effects of target speech distance on auditory spatial attention in noisy environments. In Proceedings of the ICA 2019 and EAA Euroregio, Aachen, Germany, 9–13 September 2019; pp. 2177–2181. [Google Scholar]
- Duraiswami, R.; Zotkin, D.N.; Gumerov, N.A. Interpolation and range extrapolation of HRTFs. Proc. IEEE ICASSP 2004, 4, 45–48. [Google Scholar] [CrossRef]
- Pollow, M.; Nguyen, K.V.; Warusfel, O.; Carpentier, T.; Müller-Trapet, M.; Vorländer, M.; Noisternig, M. Calculation of head-related transfer functions for arbitrary field points using spherical harmonics. Acta Acust. United Acust. 2012, 98, 72–82. [Google Scholar] [CrossRef]
- Salvador, C.D.; Sakamoto, S.; Treviño, J.; Suzuki, Y. Distance-varying filters to synthesize head-related transfer functions in the horizontal plane from circular boundary values. Acoust. Sci. Technol. 2017, 38, 1–13. [Google Scholar] [CrossRef][Green Version]
- Gumerov, N.A.; Duraiswami, R. Fast Multipole Methods for the Helmholtz Equation in Three Dimensions; Elsevier Series in Electromagnetism; Elsevier: Rockville, MD, USA, 2004. [Google Scholar]
- Ben Hagai, I.; Pollow, M.; Vorländer, M.; Rafaely, B. Acoustic centering of sources measured by surrounding spherical microphone arrays. J. Acoust. Soc. Am. 2011, 130, 2003–2015. [Google Scholar] [CrossRef]
- Shabtai, N.R.; Vorländer, M. Acoustic centering of sources with high-order radiation patterns. J. Acoust. Soc. Am. 2015, 137, 1947–1961. [Google Scholar] [CrossRef]
- Wang, Y.; Chen, K. Translations of spherical harmonics expansion coefficients for a sound field using plane wave expansions. J. Acoust. Soc. Am. 2018, 143, 3474–3478. [Google Scholar] [CrossRef] [PubMed]
- Kentgens, M.; Jax, P. Translation of a higher-order ambisonics sound scene by space warping. In Proceedings of the Audio Engineering Society Conference: 2020 AES International Conference on Audio for Virtual and Augmented Reality. Audio Engineering Society, Virtual, 17–19 August 2020. [Google Scholar]
- Richter, J.G.; Pollow, M.; Wefers, F.; Fels, J. Spherical harmonics based HRTF datasets: Implementation and evaluation for real-time auralization. Acta Acust. United Acust. 2014, 100, 667–675. [Google Scholar] [CrossRef]
- Zaunschirm, M.; Schörkhuber, C.; Höldrich, R. Binaural rendering of ambisonic signals by head-related impulse response time alignment and a diffuseness constraint. J. Acoust. Soc. Am. 2018, 143, 3616–3627. [Google Scholar] [CrossRef] [PubMed]
- Ben-Hur, Z.; Alon, D.L.; Mehra, R.; Rafaely, B. Efficient representation and sparse sampling of head-related transfer functions using phase-correction based on ear alignment. IEEE Trans. Audio Speech Lang. Process. 2019, 27, 2249–2262. [Google Scholar] [CrossRef]
- Pörschmann, C.; Arend, J.M.; Brinkmann, F. Directional Equalization of Sparse Head-Related Transfer Function Sets for Spatial Upsampling. IEEE/ACM Trans. Audio Speech Lang. Process. 2019, 27, 1060–1071, Correction in 2020, 28, 2194–2194. [Google Scholar] [CrossRef]
- Arend, J.M.; Brinkmann, F.; Pörschmann, C. Assessing spherical harmonics interpolation of time-aligned head-related transfer functions. J. Audio Eng. Soc. 2021, 69, 104–117. [Google Scholar] [CrossRef]
- Urviola, A.; Sakamoto, S.; Salvador, C.D. Ear centering for near-distance head-related transfer functions. In Proceedings of the International Conference—Immersive and 3D Audio (I3DA): From Architecture to Automotive, Bologna, Italy, 8–10 September 2021; IEEE: Bologna, Italy, 2021. [Google Scholar] [CrossRef]
- Olver, F.W.J.; Daalhuis, A.B.O.; Lozier, D.W.; Schneider, H.S. (Eds.) NIST Digital Library of Mathematical Functions, 1.1.0 ed.; 2020. Available online: http://dlmf.nist.gov/ (accessed on 4 August 2022).
- Rehmann, U. Encyclopedia of Mathematics; 2020. Available online: https://encyclopediaofmath.org/ (accessed on 4 August 2022).
- Salvador, C.D.; Sakamoto, S.; Treviño, J.; Suzuki, Y. Boundary matching filters for spherical microphone and loudspeaker arrays. IEEE/ACM Trans. Audio Speech Lang. Process. 2018, 26, 461–474. [Google Scholar] [CrossRef]
- Rui, Y.; Yu, G.; Xie, B.; Liu, Y. Calculation of individualized near-field head-related transfer function database using boundary element method. In Proceedings of the 134th Convention of Audio Engineering Society, Rome, Italy, 4–7 May 2013. [Google Scholar]
- Salvador, C.D.; Sakamoto, S.; Treviño, J.; Suzuki, Y. Dataset of near-distance head-related transfer functions calculated using the boundary element method. In Proceedings of the Audio Engineering Society International Conference on Spatial Reproduction—Aesthetics and Science, Tokyo, Japan, 7–9 August 2018; Audio Engineering Society: Tokyo, Japan, 2018. [Google Scholar]
- Algazi, V.R.; Duda, R.O.; Duraiswami, R.; Gumerov, N.A.; Tang, Z. Approximating the head-related transfer function using simple geometric models of the head and torso. J. Acoust. Soc. Am. 2002, 112, 2053–2064. [Google Scholar] [CrossRef]
- Salvador, C.D.; Sakamoto, S.; Treviño, J.; Suzuki, Y. Validity of distance-varying filters for individual HRTFs on the horizontal plane. In Proceedings of the Spring Meeting Acoustic Society of Japan, Kawasaki, Japan, 15–17 March 2017; Acoustical Society of Japan: Kawasaki, Japan, 2017. [Google Scholar]
- Rasumow, E.; Blau, M.; Hansen, M.; van de Par, S.; Doclo, S.; Mellert, V.; Püschel, D. Smoothing individual head-related transfer functions in the frequency and spatial domains. J. Acoust. Soc. Am. 2014, 135, 2012–2025. [Google Scholar] [CrossRef]






| Reference | Distance | Translation Point | Domain | Translation Model |
|---|---|---|---|---|
| Richter et al., 2014 [19] | Yes | Optimized point around the ear | SFT domain | Ratio of hankel functions |
| Zaunschirm et al., 2018 [20] | No | y-axis with 8.5 cm radius | Unit sphere | Plane-wave |
| Ben-Hur et al., 2019 [21] | No | y-axis with 8.75 cm radius | Unit sphere | Plane-wave |
| Porschmann et al., 2019 [22] | No | y-axis with 9.19 cm radius | Unit sphere | Plane-wave with rigid sphere |
| Arend et al., 2021 [23] | No | y-axis with 9.19 cm radius | Unit sphere | Plane-wave with rigid sphere |
| Urviola et al., 2021 [24] | Yes | Ear position | Unit sphere | Spherical-wave |
Publisher’s Note: MDPI stays neutral with regard to jurisdictional claims in published maps and institutional affiliations. |
© 2022 by the authors. Licensee MDPI, Basel, Switzerland. This article is an open access article distributed under the terms and conditions of the Creative Commons Attribution (CC BY) license (https://creativecommons.org/licenses/by/4.0/).
Share and Cite
Urviola, A.; Sakamoto, S.; Salvador, C.D. Ear Centering for Accurate Synthesis of Near-Field Head-Related Transfer Functions. Appl. Sci. 2022, 12, 8290. https://doi.org/10.3390/app12168290
Urviola A, Sakamoto S, Salvador CD. Ear Centering for Accurate Synthesis of Near-Field Head-Related Transfer Functions. Applied Sciences. 2022; 12(16):8290. https://doi.org/10.3390/app12168290
Chicago/Turabian StyleUrviola, Ayrton, Shuichi Sakamoto, and César D. Salvador. 2022. "Ear Centering for Accurate Synthesis of Near-Field Head-Related Transfer Functions" Applied Sciences 12, no. 16: 8290. https://doi.org/10.3390/app12168290
APA StyleUrviola, A., Sakamoto, S., & Salvador, C. D. (2022). Ear Centering for Accurate Synthesis of Near-Field Head-Related Transfer Functions. Applied Sciences, 12(16), 8290. https://doi.org/10.3390/app12168290

