Abstract
Based on the latest design requirements proposed by the Beijing On-Line Isotope Separation (BISOL) project, a new -based, 81.25 MHz CW radio frequency quadrupole (RFQ) with external bunching has been designed. This RFQ can accelerate  to 0.5 MeV/u with an output longitudinal-normalized rms emittance of 0.20 keV/u·ns over a length of 5.6 m. The tolerance and error analysis results indicate that this RFQ can handle a wide range of non-ideal beams while maintaining relatively lower longitudinal emittance growth and higher transmission efficiency. To maintain the beam intensity, the RFQ will simultaneously accelerate three kinds of high-charge-state mixed ions (,  and ), the simulation results given by Impact-T show that the RFQ can achieve high transmission of the mixed beam. Compared with the previous -based internal bunching RFQ scheme, this RFQ has a shorter length and smaller output emittance, which is beneficial to the designs of subsequent Medium-energy Beam Transport (MEBT) and Drift Tube Linac (DTL). In electromagnetic design, a four-vane structure with 48 tuners and 16 -mode stabilizers (PSLs) were chosen. The results of the multi-physics analysis show that the maximum temperature rise and the maximum deformation of the cavity are 13.6 K and 40.3 µm, respectively. The results simulated with CST Microwave Studio (CST) and HFSS software were consistent.
  1. Introduction
The BISOL Facility [] is a large-scale scientific facility jointly applied by Peking University and the China Institute of Atomic Energy Science (CIAES). Its goal is to generate high-intensity radioactive neutron-rich nuclear beams for innovative physics research by using a combination of Isotope Separation On-Line (ISOL) and the Projectile Fragmentation (PF) [] method. As shown in Figure 1, the facility is based on an accelerator-driven system and a reactor system relying on the existing China Advanced Research Reactor (CARR) at the CIAES. BISOL consists of two main accelerator systems, the high-current deuterium ion accelerator system and the post-accelerator system. The main components of the post-accelerator include the stable beam ion source (SBIS), charge breeder (CB), Low-energy Beam Transport (LEBT), RFQ, MEBT, a superconducting linear accelerator with Quarter-wavelength Resonator (QWR) and Half-wavelength Resonator (HWR), and High-energy Beam Transport (HEBT).
 
      
    
    Figure 1.
      Layout diagram of BISOL [].
  
The post-accelerator accelerates primary radioactive nuclear beams generated by reactor systems or driver deuterium-ion accelerator systems to hit the target to produce secondary extremely neutron-rich nuclear beams for frontier scientific research in nuclear physics. The acceleration efficiency of the primary radioactive beam can be improved by increasing the charge state. However, increasing the charge state by secondary stripping usually results in a decrease of two orders of magnitude in the beam intensity. In order to recover the beam intensity, the post-accelerator plans to accelerate three kinds of ions with different charge-to-mass ratios simultaneously in the low-energy section and 3–5 kinds of ions with different charge-to-mass ratios simultaneously in the high-energy section.
In order to reduce the output emittance of the RFQ and shorten the vane length, a new design idea is proposed: redesigning the RFQ with a multiple harmonic buncher (MHB) in LEBT and comparing it to the scheme without an MHB proposed in 2018 []. Now, several heavy-ion CW RFQs have been designed, constructed, commissioned and even put into operation internationally. Although good results have been obtained for high-power testing and beam commissioning, such as SSC-LINAC RFQ [], RISP RFQ [], ATLAS RFQ [] and FRIB RFQ [], compared with the pulsed RFQs, long-term stability of the CW RFQs requires low sparking frequency and small deformation of the structure, which is a higher requirement for dynamics and structural design. The BISOL post-accelerator CW RFQ must have a higher shunt impedance to lower energy consumption and a better water-cooling structure to take away the heat lost in the cavity in time to avoid large thermal deformation. In this paper, we will present the new design scheme for the RFQ accelerator.
2. Beam Dynamics Design
2.1. Design Requirements and Beam Dynamics Scheme
The design parameters of the post RFQ are summarized in Table 1.  is taken as the reference particle, the input transverse normalized rms emittance is 0.25 mm·mrad, and the peak beam current is 2.2 emA. According to the Kilpatrick criterion Equation (1) []:
      
        
      
      
      
      
    
        where f is the cavity frequency in MHz and  is the maximum surface electric field value in MV/m. For CW cavities, it is usually required that the maximum surface electric field in the cavity does not exceed 1.8   [] to reduce the risk of cavity sparking. The surface electric field in the cavity should be as low as possible for safety; commissioning experiences from the current running CW RFQ accelerators show that it is safe to keep the peak surface electric field around 1.5 . For example, the SPIRAL2 RFQ is 1.65  [], the SSC-LINAC RFQ is 1.523  [] and the C-ADS RFQ is 1.3  []. For our 81.25 MHz RFQ cavity, the maximum surface electric field in the cavity is 16.7 MV/m, almost 1.58 , which is a pretty conservative design.
 
       
    
    Table 1.
    Main dynamic design parameters.
  
RFQ’s dynamic design adopted PARMTEQ software [,], in which the linac is generated cell-by-cell in an iterative procedure. In order to simplify the RF design and tuning process for RFQ, the inter-vane voltage and average aperture remain constant. The  beam is accelerated from 3 keV/u to 500 keV/u with a vane length of 5.604 m. The simulated transmission efficiency reached 95.6%. The output longitudinal normalized rms emittance is only 0.20 keV/u·ns, indicating that a good beam quality is realized. The Kilpatrick coefficient is 1.58. The beam transmission envelope along the RFQ is shown in Figure 2. Beam losses in the transverse direction are mainly at the end of the gentle buncher section, and in the longitudinal direction are at the beginning of the accelerating section.
 
      
    
    Figure 2.
      Beam transmission envelope of PARMTEQ.
  
To verify the design results, TraceWin [] and Impact-T [] were also used to simulate the particle transport separately. The comparison of the simulation results of the three software is shown in Table 2. There are some differences in the beam emittance and transmission efficiency, mainly because of the differences in the criteria for particle loss and the methods of calculating space charge force.
 
       
    
    Table 2.
    Simulation results of the three software.
  
2.2. Tolerance Analysis
The effects of the input beam mismatch on transmission have been carried out to evaluate the tolerance of the RFQ, including Twiss parameters, beam transverse offset and tilt, beam current, and normalized emittance. Figure 3 shows the influence of input Twiss parameters on transmission efficiency, the input Twiss parameters of the matching beam are  = 0.76,  = 2.58 cm/rad. In a wide range, the RFQ transmission efficiency is greater than 95%.
 
      
    
    Figure 3.
      Beam transmission envelope of PAEMTEQ.
  
Figure 4 shows the influence of the input offset and tilt, beam current, and input-normalized rms emittance of RFQ on transmission efficiency. When the beam current is less than 2.5 emA, and the input-normalized rms emittance is less than 0.42 mm·mrad, the transmission efficiency of RFQ is greater than 95%. In order to reduce the beam losses caused by the beam collimation error at the entrance, the beam transverse offset and tilt error should be within ±1 mm and ±25 mrad, respectively.
 
      
    
    Figure 4.
      Transmission efficiency of the RFQ versus (a) Beam offset, (b) Beam tilt, (c) Beam current (), and (d) Input Nor. RMS emittance.
  
2.3. Errors Study
An RFQ has various errors, including alignment errors and installation errors induced by the machine, inter-vane voltage errors, and dipole components caused by the field tuning. The electrode length of the RFQ is 5.7 m, the RFQ needs to be divided into five segments during the machining. It is necessary to study the effect of the alignment error (X and Y-directions) between each segment of the RFQ on the transmission efficiency. Figure 5a shows the comparison of the electrodes’ envelope with no error and with a deviation of 100 µm. Toutatis software [] can be used to simulate the influence of alignment error on beam transmission, and the simulation results are shown in Figure 5b. When the alignment error is 100 µm, the transmission efficiency of RFQ is still greater than 95%.
 
      
    
    Figure 5.
      Vane alignment error. (a) Electrodes’ envelope, (b) Simulation results.
  
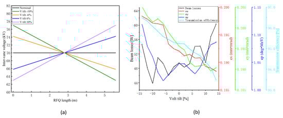
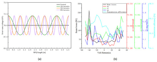
There are two types of inter-vane voltage errors in our study. The first one is the tilt of the voltage, as shown in Figure 6a. A negative tilt means a higher value of voltage than the design value at the beginning of RFQ. As shown in Figure 6b, there is no significant reduction in the transmission efficiency at +5% voltage tilt; a positive tilt will increase the beam losses because focusing on strength is not enough, so the transmission efficiency will gradually decrease with the increase in positive voltage tilt percentage, but the power of the beam loss is related to the number of lost particles and its energy at the time of loss, so it is not simply a gradual increase in the process. The second perturbation is the residual voltage error, as shown in Figure 7a, the magnitude of which is generated by introducing higher order harmonics, as shown in Equation (2)
        
      
        
      
      
      
      
    
        where n is the harmonic number (n is an integer),  is the nominal inter-vane voltage, and V is the amplitude of residual voltage error, which is set to 3% . L_rfq is the RFQ length. Figure 7b shows that the different voltage harmonics have no obvious influence on beam transmission efficiency.
 
      
    
    Figure 6.
      Inner-vane voltage tilt error. (a) Inner-vane voltage tilt, (b) Simulation results.
  
 
      
    
    Figure 7.
      Inner-vane voltage harmonics error. (a) Inner-vane voltage harmonics, (b) Simulation results.
  
The asymmetry of the four quadrants of the RFQ will result in dipole field components. Figure 8 shows the influence of the dipole components on the beam transmission efficiency, which should be controlled to be less than 9% in order to avoid a significant increase in beam loss.
 
      
    
    Figure 8.
      Effect of dipole field components on transmission efficiency.
  
2.4. Three Kinds of High-Charge-State Ions Simultaneous Acceleration
The FRIB project has already realized the simultaneous transport of ions in multiple charge states [], as a similar scientific facility, BISOL is expected to transport three kinds of mixed heavy ions simultaneously. Before simulating, the possibility of simultaneous transport is analyzed. According to Equation (3), the energy gain per nucleon of the synchronous particle in an RFQ accelerating cell is []:
      
        
      
      
      
      
    
In order to accelerate particles with different charge-mass ratios, Equation (4) must be satisfied:
      
        
      
      
      
      
    i and j represent particles with different charge states. When the mass number of the two particles is equal, then:
      
        
      
      
      
      
    
When  approaches 1,  will approach , indicating that the higher the charge state is, the closer the synchronous phase of the nearby charge state particles is, the easier it is to be simultaneously accelerated in an RFQ accelerating cell. Impact-T is used to simulate the simultaneous acceleration of the three high-charge-state ions. Some research has shown that the high-charge-state mixed ions and the single-high-charge-state ion have similar beam parameters [,]. Therefore, we assume that the beams with different charge states have the same input parameters. The output phase distributions are shown in Figure 9; the main parameters are listed in Table 3.
 
      
    
    Figure 9.
      Output phase distribution of the high-charge-state mixed beam. (a) Distribution in X-X direction, (b) Distribution in Y-Y direction, (c) Distribution in Phase-dW/W direction.
  
 
       
    
    Table 3.
    Simulation result of three high-charge-state mixed ions.
  
For the same inter-vane voltage, the energy gain of the low-charge state particles will be lower than that of the higher-charged state particles in each acceleration cell, which will lead to a trailing in the longitudinal phase space. This scheme requires  as the reference particle; the transmission efficiency will be lower than the single transmission efficiency of  when the mixed ions contain  and the output longitudinal emittance increases when high-charge state ions containing  are accelerated simultaneously.
The RFQ buncher sections usually dominate the length of the accelerator. Usually, significantly less than half the length of an RFQ is devoted to accelerating the beam at a full longitudinal gradient. In addition, the introduction of an unbunched beam to the RFQ entrance requires an adiabatic transverse matching section that transforms the time-independent envelope into a time-varying envelope []. It has been proven that the longitudinal output emittance of an RFQ can be improved by replacing the adiabatic buncher with external discrete bunchers. The transmission of the RFQ is almost equal to that of a conventional RFQ with adiabatic bunching, and the RFQ length is reduced []. Figure 10 shows the phase distributions of the beam arriving at the RFQ entrance in the LEBT section without an MHB (internal bunching scheme) and with an MHB (external bunching scheme), respectively. In an external bunching scheme, there is a three-harmonic buncher with a fundamental frequency of 20.3125 MHz or 40.625 MHz. The design work for voltage and power was completed in 2020, and the details are given in Ref. [].
 
      
    
    Figure 10.
      Input distribution of two schemes: ((a) the internal bunching scheme, (b) the external bunching scheme []).
  
The detailed simulation parameters given by the two schemes are listed in Table 4. Compared with the internal bunching scheme, the external bunching scheme can shorten the RFQ length by about 1 m at the same output beam energy, are reduce the cavity power consumption while reducing the beam output emittance, which will simplify the subsequent MEBT matching and DTL design. When the mixed ions are accelerated simultaneously, the beam quality obtained by the new scheme is better than the original one.
 
       
    
    Table 4.
    Main parameters of two design schemes.
  
3. Electromagnetic Design
3.1. RFQ Field Tuning
CST [] was used for the electromagnetic design of the RFQ. We first studied the computational convergence of the mesh. The tetrahedron was chosen because the simulation time for the tetrahedron was significantly shorter than that of the hexahedron.
The 4-vane type RFQs have been used for CW operation at 80 MHz successfully [] and have shown good reliability in the CW condition []. Field tuning is achieved mainly by means of constructing the undercuts at both ends of the electrodes and placing tuners into RFQ []. The goal of field tuning is to obtain the correct frequency and to flatten the electric field along the cavity.
For the CW-mode RFQ, as shown in Figure 11, when the  is too large, hot spots tend to form at the root of the undercut, and it is difficult to sufficiently cool the pole head, which will lead to excessive deformation. The unflattens between RFQ electrodes are slightly different at different off-axis positions, the closer the off-axis position, the more the electric field is affected by the electrode modulation. After optimization, the unflattens of the RFQ electric field are less than 1.0%, which has no bad effect on the beam transport in dynamic simulation. The undercut parameters are shown in Table 5.
 
      
    
    Figure 11.
      Schematic of undercut.
  
 
       
    
    Table 5.
    Parameters of undercuts.
  
There are 48 tuners with an outer diameter of 100 mm, with 12 tuners per quadrant, as shown in Figure 12. The nominal and maximum penetration depth of each tuner is 30 mm and 60 mm, which can achieve a frequency tuning from 80.705 MHz to 81.724 MHz. Frequency changes with the insertion depth are shown in Figure 13. The frequency sensitivity per tuner is about 0.32 kHz/mm.
 
      
    
    Figure 12.
      Full-length model.
  
 
      
    
    Figure 13.
      Analysis of tuners.
  
3.2. Mode Separation
The common methods to increase the mode separation are the -mode stabilizer (PSL) [] and the dipole stabilizer (DSR) []. PSL is easy to cool at high power, and its ability to increase the mode separation is much larger than that of DSR, which is more beneficial to the stabilization of long RFQs. Therefore, the PSL is selected in this RFQ, as shown in Figure 12. The closer the stabilizer bar is to the central axis, the larger the mode separation is, but the more difficult it is for the water-cooling tube to get close to the electrode head, which will increase the maximum temperature rise and maximum deformation. In addition, increasing the number of stabilizer bars can increase the mode separation and reduce the power consumption and power density of a single stabilizer bar, but too many stabilizer bars will also increase the difficulty of machining. Considering the above reasons, we choose 16 PSLs with 10 mm diameters, which are 120 mm away from the center axis. Finally, the PSLs increase the mode separation from −1.44 MHz to +7.146 MHz.
3.3. Rfq Full-Length Model Simulation
Table 6 shows the final RF simulation results of full-length RFQ, including electrode modulation, undercuts, PSLs, and tuners. CST and HFSS software are used to verify each other. The simulation results show that the cavity power consumption of the RFQ is 54 kW. The specific shunt impedance is about 511 k·m at a conductivity of  S/m, the final mode separation is almost 6.5 MHz, and the Q value is about 17,000.
 
       
    
    Table 6.
    Simulations of the full-length model with vane modulation.
  
Table 7 shows the RF power consumption distribution of different parts of the RFQ. The results can be used for the design of water-cooling solutions. The electrode part consumes the most power, and the maximum surface power density of the RFQ is 12.7 W/cm.
 
       
    
    Table 7.
    Power consumption distribution.
  
Table 8 lists the main parameters of the BISOL and the international CW RFQs for heavy-ions acceleration []. It can be seen that the 4-vane type has a higher Q value and less power consumption compared to the 4-rod type. For the 4-vane type, FIRB RFQ adopted the variable voltage design, which can shorten the RFQ length, but its Kp is larger than that of BISOL RFQ while maintaining the voltage constant. The design parameters of BISOL RFQ and LEAF RFQ are closest, with the former having a slightly larger Kp value and shorter length than the latter.
 
       
    
    Table 8.
    Main parameters of International CW heavy-ion RFQs.
  
3.4. Errors Analysis
During machining and assembly, some errors are introduced into the RFQ structure. To simplify the simulation, we considered the main causes, including the vane deviation and skew, as shown in Figure 14.
 
      
    
    Figure 14.
      Vane deviation (a) and skew (b) errors.
  
Table 9 summarizes the frequency shift and dipole field components of the RFQ caused by structural errors, where the unit of kHz/(um) indicates that the frequency shift is proportional to the square of the vane skew (H), and the unit of kHz/um indicates that the frequency shift is proportional to the vane deviation (R), respectively. The dipole field components caused by structural errors are shown in Figure 15.
 
       
    
    Table 9.
    Dipole component and frequency shift due to structurl errors.
  
 
      
    
    Figure 15.
      Dipole field components caused by structural errors. (a) Dipole field component caused by vane offset dH, (b) Dipole field component caused by vane offset dR.
  
4. Multiple-Physical Analysis
Multi-physics analysis is a coupled electromagnetic, thermal, and mechanical analysis of the structure using CST []. The power-loss distribution of the RFQ cavity is first simulated. Secondly, the temperature map can be achieved by importing the power loss to the steady-state thermal analysis. Thirdly, the structural stresses and deformations of the RFQ cavity are calculated by applying the thermal result. Finally, the resonant frequency shift can be calculated according to the structural deformations. In the multi-physics analysis, the power consumption of the cavity was set to 68 kW, considering a power redundancy of 20% []. The waterways of the RFQ cavity were designed as shown in Figure 16, with three channels on each electrode and two channels on each cavity wall. In addition, each PSL is provided with a water channel with an 8 mm diameter for cooling. In the simulation, the water temperature and ambient temperature are set to 20 C. The heat transfer coefficient h can be obtained by the Dittus–Boelter correlation []:
      
        
      
      
      
      
    
      where  W/mK is the water heat conductivity coefficient, and D is the diameter of the cooling channel.  is the Nusselt number, which is defined as:
      
        
      
      
      
      
    
      
        
      
      
      
      
    
      
        
      
      
      
      
    
      where v is the water’s velocity,  = 0.001 Ns/m is the viscosity of water,  = 4.2 kJ/kg is the heat capacity of water,  = 998 kg/m is the density of water, and  and  are the Reynolds number and the Prandtl number, respectively. Assuming that the velocity of water is 2.3 m/s, according to the Dittus–Boelter correlation, the heat transfer coefficient in the PSLs and cavity are calculated to be 9682 and 9259 W/mK.
 
      
    
    Figure 16.
      Diagram of the cooling channel.
  
The temperature distribution of the cavity is shown in Figure 17a. The maximum temperature rise in the cavity is 13.6 C and is located at the output undercut of the cavity. The maximum deformation occurs at the same location with a size of 40.3 µm. As shown in Figure 17c, the maximum thermal stress is 14.3 MPa, which is lower than the yield strength of oxygen-free copper (60 to 70 Mpa) []. Finally, the frequency shift caused by the deformation is −22.8 kHz.
 
      
    
    Figure 17.
      Simulation results of Multi-physics. (a) The temperature distribution of the cavity, (b) The deformation distribution of the cavity, (c) The thermal stress distribution of the cavity.
  
5. Conclusions
In this paper, a CW RFQ with the external bunching for the BISOL post-accelerator system is designed according to the new requirements. The RFQ can accelerate a 2.2 emA  beam to 0.5 MeV/u over a length of 5.6 m. The simulation results given by Impact-T show that the RFQ can achieve high transmission transport of 3–5 kinds of ions with different charge-to-mass ratios simultaneously. In addition, multi-charge-state beam transport is also achieved in the high-energy section. The simulation details are shown in Ref []. Compared to the previous -based internal bunching RFQ scheme, the RFQ has a shorter length and smaller output emittance, which is beneficial to the subsequent designs of MEBT and DTL. The results of the multi-physics analysis show that the maximum temperature rise and the maximum deformation of the cavity are only 13.6 K and 40.3 µm, respectively. The results of dynamics and structural design show that the CW RFQ with an MHB in LEBT is a robust scheme, which fully meets the requirements of the BISOL post accelerator system.
Author Contributions
M.H.: Conceptualization, Methodology, Software, Writing—original draft. Y.L.: Conceptualization, Resources, Writing—review and editing, Project administration. Z.W.: Supervision, Writing—review and editing. Z.P.: Conceptualization, Resources, Review and editing, Project administration. S.L.: Methodology, Software, Writing. T.W.: Supervision. Y.X.: Supervision. All authors have read and agreed to the published version of the manuscript.
Funding
This research received no external funding.
Acknowledgments
This work was supported by Peking University and the China Institute of Atomic Energy Science. I would like to thank all my co-authors for their efforts and help.
Conflicts of Interest
The authors declare that they have no known competing financial interests or personal relationships that could have appeared to influence the work reported in this paper.
References
- Cui, B.; Gao, Y.; Ge, Y.; Guo, Z.; Li, Z.; Liu, W.; Peng, S.; Peng, Z.; Wang, Z.; Yan, S.; et al. The Beijing ISOL initial conceptual design report. Nucl. Instrum. Methods Phys. Res. Sect. Beam Interact. Mater. Atoms 2013, 317, 257–262. [Google Scholar] [CrossRef]
- Kamigaito, O. World-wide efforts on rare isotope and radioactive ion beams. In Proceedings of the IPAC2010, Kyoto, Japan, 23–28 May 2010; Volume 10. [Google Scholar]
- Gan, P.; Li, H.; Wang, Z.; Zhu, K.; Fu, Q.; Tan, Q.; Peng, Z.; Lu, Y. CW RFQ design and investigation for multi-charge-state acceleration of radioactive beams from BISOL. J. Instrum. 2018, 13, T08002. [Google Scholar] [CrossRef]
- Gerhard, P.; Barth, W.; Dahl, L.; Hartmann, W.; Schreiber, G.; Vinzenz, W.; Vormann, H. Experience with a 4-Rod CW Radio Frequency Quadrupole. In Proceedings of the LINAC2012, Tel-Aviv, Israel, 9–14 September 2012; pp. 825–827. [Google Scholar]
- Jeon, D.O.; Kim, H.J.; RAON Institute for Basic Science. Status of the RAON heavy ion accelerator project. In Proceedings of the LINAC2014, Geneva, Switzerland, 31 August–5 September 2014; p. 775. [Google Scholar]
- Ostroumov, P.; Mustapha, B.; Barcikowski, A.; Dickerson, C.; Kolomiets, A.; Kondrashev, S.; Luo, Y.; Paskvan, D.; Perry, A.; Schrage, D.; et al. Development and beam test of a continuous wave radio frequency quadrupole accelerator. Phys. Rev. Spec.-Top.-Accel. Beams 2012, 15, 110101. [Google Scholar] [CrossRef] [Green Version]
- Ren, H.; Pozdeyev, E.; Morris, D.; Zhao, S.; Morrison, P.; Walker, R.; Bultman, N.; Konrad, M.; Rao, X.; Brandon, J.; et al. Commissioning of the FRIB RFQ; IOP Publishing: Bristol, UK, 2018; Volume 1067, p. 052010. [Google Scholar]
- Kilpatrick, W. Criterion for vacuum sparking designed to include both rf and dc. Rev. Sci. Instrum. 1957, 28, 824–826. [Google Scholar] [CrossRef] [Green Version]
- Vossberg, M.; Schempp, A.; Zhang, C.; Dahl, L.; Barth, W. The new GSI HLI-RFQ for cw-operation. In Proceedings of the Linear Accelerator Conference, Tsukuba, Japan, 12–17 September 2010. [Google Scholar]
- Ferdinand, R.; Bertrand, P.; Di Giacomo, M.; Franberg, H.; Kamalou, O.; Lagniel, J.; Normand, G.; Savalle, A.; Varenne, F.; Uriot, D.; et al. Status of SPIRAL2 and RFQ beam commissioning. In Proceedings of the LINAC 2016, East Lansing, MI, USA, 25–30 September 2016; Volume 16, pp. 668–672. [Google Scholar]
- Liu, G.; Lu, Y.; He, Y.; Wang, Z.; Xiao, C.; Gao, S.; Yang, Y.; Zhu, K.; Yan, X.; Chen, J.; et al. Design of a CW high charge state heavy ion RFQ for SSC-LINAC. Nucl. Instrum. Methods Phys. Res. Sect. Accel. Spectrometers Detect. Assoc. Equip. 2013, 701, 186–193. [Google Scholar] [CrossRef]
- Li, C.; Zhang, Z.L.; Qi, X.; Xu, X.B.; He, Y.; Yang, L. Beam dynamics study of RFQ for CADS with a 3D space-charge-effect. Chin. Phys. C 2014, 38, 037005. [Google Scholar] [CrossRef]
- Schempp, A. Design of Compact RFQs. In Proceedings of the International Linear Accelerator Conference, Geneva, Switzerland, 26–30 August 1996. [Google Scholar]
- Crandall, K.; Stokes, R.; Wangler, T. RF quadrupole beam dynamics design studies. In Proceedings of the LINAC79, BNL, Montauk, NY, USA, 10–14 September 1979; Volume 51134, p. 205. [Google Scholar]
- Uriot, N.P.D. TraceWin. 2021. Available online: https://irfu.cea.fr/dacm/logiciels/codesdacm/tracewin/tracewin.pdf (accessed on 24 July 2022).
- Ji, Q. IMPACT-T: A 3D Parallel Particle Tracking Code in Time Domain. 2021. Available online: https://amac.lbl.gov/~jiqiang/IMPACT-T/index.html (accessed on 24 July 2022).
- Duperrier, R. TOUTATIS: A radio frequency quadrupole code. Phys. Rev. Spec.-Top.-Accel. Beams 2000, 3, 124201. [Google Scholar] [CrossRef] [Green Version]
- Ostroumov, P. FRIB Accelerator Science and Technology Challenges. 2021. Available online: https://meetings.triumf.ca/event/238/contributions/2954/attachments/2351/2667/Ostroumov-FRIB%20accelerator%20science%20and%20technology%20challenges.pdf (accessed on 24 July 2022).
- Ostroumov, P.; Pardo, R.; Zinkann, G.; Shepard, K.; Nolen, J. Simultaneous acceleration of multiply charged ions through a superconducting linac. Phys. Rev. Lett. 2001, 86, 2798. [Google Scholar] [CrossRef] [PubMed] [Green Version]
- Ostroumov, P.; Kondrashev, S.; Mustapha, B.; Scott, R.; Vinogradov, N. Analysis and recombination of multiple-charge-state beams from an electron cyclotron resonance ion source. Phys. Rev. Spec.-Top.-Accel. Beams 2009, 12, 010101. [Google Scholar] [CrossRef]
- Ostroumov, P.; Shepard, K. Multiple-charge beam dynamics in an ion linac. Phys. Rev. Spec.-Top.-Accel. Beams 2000, 3, 030101. [Google Scholar] [CrossRef] [Green Version]
- Staples, J. Reducing RFQ output emittance by external bunching. Part. Accel. 1989, 47, 191–199. [Google Scholar]
- Yang, Y.; Zhai, Y.; Tian, R.; Jin, X.; Wang, X.; Jing, L.; Xu, X.; Zhai, Y.; Tang, Y.; Zhang, B.; et al. Longitudinal emittance measurement for an external-bunching-based heavy-ion RFQ. Nucl. Instrum. Methods Phys. Res. Sect. A Accel. Spectrometers Detect. Assoc. Equip. 2022, 1029, 166457. [Google Scholar] [CrossRef]
- Chen, M.; Peng, Z.; Quan, S.; Zhu, F.; Liu, K.; Liu, Y.; Ouyang, D. Design study of multi-charge low energy beams transport for BISOL post accelerator. Nucl. Instrum. Methods Phys. Res. Sect. A Accel. Spectrometers Detect. Assoc. Equip. 2020, 981, 164453. [Google Scholar] [CrossRef]
- Systèmes, D. CST STUDIO SUITE. 2022. Available online: http://www.cst.com (accessed on 24 July 2022).
- Cornelius, W. CW operation of the FMIT RFQ accelerator. IEEE Trans. Nucl. Sci. 1985, 32, 3139–3143. [Google Scholar] [CrossRef] [Green Version]
- Schneider, J.D. A Review of High Beam Current RFQ Accelerators and Funnels. In Proceedings of the 1998 European Particle Accelerator Conference, Stockholm, Sweden, 22–26 June 1998. [Google Scholar]
- Brown, H.; Clifford, T.; Giordano, S.; Khiari, F.; McKenzie-Wilson, R.; Puglisi, M.; Warner, P. Design, Fabrication, and Testing of the BNL Radio Frequency Quadrupole Accelerator; Technical Report; Brookhaven National Lab: Upton, NY, USA, 1984. [Google Scholar]
- Andreev, V.; Parisi, G. Field Stabilization and End-Cell Tuning in a 4-vane RFQ. In Proceedings of the EPAC, London, UK, 27 June–1 July 1994; Volume 94, pp. 1300–1302. [Google Scholar]
- Young, L. Segmented resonantly coupled radio-frequency quadrupole (RFQ). In Proceedings of the International Conference on Particle Accelerators, Washington, DC, USA, 17–20 May 1993; pp. 3136–3138. [Google Scholar]
- Schempp, A. Overview of Recent RFQ Projects; LINAC: Victoria, BC, Canada, 2008; p. 41. [Google Scholar]
- Schmidt, J.; Maus, J.; Mueller, N.; Schempp, A.; Kester, O.; Haeuser, J. Tuning of the 4-Rod RFQ for MSU. In Proceedings of the IPAC2010, MOPD035, Kyoto, Japan, 23–28 May 2010. [Google Scholar]
- Leitner, D.; Benatti, C.; Krause, S.W.; Morris, D.; Nash, S.; Ottarson, J.; Perdikakis, G.; Portillo, M.; Rencsok, R.; Ropponen, T. Commissioning Results of the Rea RFQ at MSU. In Proceedings of the IPAC2011, San Sebastian, Spain, 4–9 September 2011; pp. 1912–1914. [Google Scholar]
- Bultman, N.K.; Pozdeyev, E.; Morgan, G.; Zhao, Q.; Yamazaki, Y.; Young, L.M.; Stovall, J. Design of the FRIB RFQ. In Proceedings of the IPAC 2015, Richmond, VA, USA, 3–8 May 2015. [Google Scholar]
- Ferdinand, R.; Bernaudin, P.E.; Bertrand, P.; Di Giacomo, M.; Ghribi, A.; Franberg, H.; Kamalou, O. Commissioning of SPIRAL2 CW RFQ and linac. In Proceedings of the Proceedings of the 8th International Particle Accelerator Conference (IPAC2017), Copenhagen, Denmark, 14–19 May 2017. [Google Scholar]
- Lu, L.; He, T.; Yang, L.; He, Y.; Zhao, H.; Xing, C.; Zhai, Y.; Shi, L.; Sun, L.; Li, J.; et al. Design and Beam Commissioning of the Leaf-Rfq; IOP Publishing: Bristol, UK, 2020; Volume 1401, p. 012013. [Google Scholar]
- Orduz, A.; Bontoiu, C.; Berjillos, A.; Dueñas, J.; Martel, I.; Garbayo, A.; AVS, E. Thermal and Structural Analysis of the 72.75 MHZ LINCE RFQ. In Proceedings of the IPAC 2015 6th International Particle Accelerator Conference, Richmond, VA, USA, 3–8 May 2015. [Google Scholar]
- Romanov, G.; Hoff, M.; Li, D.; Staples, J.; Virostek, S. Project X RFQ EM Design. In Proceedings of the IPAC2012, New Orleans, LA, USA, 20–25 May 2012. [Google Scholar]
- YANG Shi-Ming, T.W.Q. Heat Transfer, 4th ed.; Higher Education Press: Beijing, China, 2006. [Google Scholar]
- Perry, R.H. Engineering Manual, 3rd ed.; Mcgraw-Hill Book Company Press: New York, NY, USA, 1976. [Google Scholar]
- Chen, M.; Zhu, F.; Quan, S.; Hao, J.; Cheng, W.; Chen, S.; Cheng, A. Multi-Physcis Design Studies of A Superconducting Quarter-Wave Resonator at Peking University. In Proceedings of the 29th Linear Accelerator Conference (LINAC’18), Beijing, China, 16–21 September 2018; JACOW Publishing: Geneva, Switzerland, 2019; pp. 863–865. [Google Scholar]
| Publisher’s Note: MDPI stays neutral with regard to jurisdictional claims in published maps and institutional affiliations. | 
© 2022 by the authors. Licensee MDPI, Basel, Switzerland. This article is an open access article distributed under the terms and conditions of the Creative Commons Attribution (CC BY) license (https://creativecommons.org/licenses/by/4.0/).
