Abstract
Background: When performing motion analysis using sensors, the signal often comes with noise and it is necessary to use filters to exclude unwanted frequencies. For this reason, the objective of this work was to carry out a systematic review on the filters used in data recorded from smartphone applications for static and dynamic balance assessment. Methods: A systematic literature review was performed on the PubMed, ScienceDirect, Scopus, Technology Research and Web of Science databases, using the search strategy: smartphone, “mobile technology”, evaluation, “postural stability”, and balance. Results: 427 articles were found (PubMed = 107; ScienceDirect = 67; Scopus = 106; Web of Science = 95; Technology research database = 52). After applying the inclusion criteria and removing duplicates, nine studies were eligible for this review. In these studies, the fourth-order Butterworth low-pass filter was the most applied (N = 6) and the cutoff frequency of 4 Hz (N = 2) was the most frequent. Conclusions: In general, few studies have adequately described the filter used in signal processing. This step, when hidden, negatively affects the reproducibility of studies. Understanding and describing the signal processing is important not only for the correct description of the results but also for the reproducibility of the studies.
1. Introduction
Static and dynamic balance involves complex processes integrated by the central nervous system (CNS) through vestibular, visual, and proprioceptive systems, which coordinate adjustments in order to maintain control of the center of mass (COM) within the base of support during static [] or dynamic balance []. These mechanisms can be affected by changes in the visual, vestibular, or proprioceptive systems [], such as those that occur in the aging process in conditions such as sarcopenia and osteoporosis [], which contribute to a loss of body support. Currently, there is an interest in methods to quantify balance quantitatively in clinical settings. Therefore, microelectromechanical systems (MEMS) of cell phones have been employed. MEMS are miniature sensors, such as accelerometers and gyroscopes, that obtain inertial variation data, allowing the registration of body movement during static balance or motor execution. They are embedded in modern smartphones, allowing users to access registered data using existing applications []. Such applications have been used in papers on balance control [], gait changes detection in people with Parkinson’s disease [], and the assessment of risk of falls in the elderly [].
During the data acquisition, interferences may occur generating signal noise (i.e., the vibration generated by a car when passing near the experiment location, even the subject’s respiratory chest movement, among others). Noises are unwanted signals that interfere with or distort the desired signal, which can generate erroneous readings, making the results uncertain and inaccurate []. Noise will always be present in any data acquisition; however, it is possible to minimize its presence by using some kind of filter to allow for a more consistent data assessment. Therefore, the filters were created to minimize the influence of noise on the recorded data. Andrei Kolmogorov (1903–1987) and Norbert Wiener (1894–1964) created the basis for estimation theories that were later used to develop the theory of data prediction, filtering, and smoothing []. Since then, filters have been used to smooth the presence of noise, making data more reliable by reducing the signal present at unwanted frequencies [].
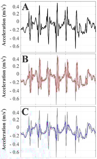
Figure 1 presents the raw and filtered data of a healthy male volunteer performing a timed up-and-go test (i.e., commonly used to assess the risk of falls in the elderly population). The accelerometry data were recorded using a triaxial sensor (MetaMotionCTM, MBIENTLAB-INC) attached to the volunteer’s lumbar region. In this image, the raw data (A), the Butterworth filter (B), and the Kalman filter (C) are displayed.

Figure 1.
Timed up-and-go test inertial recordings: (A) raw data (without filters), (B) data with the Butterworth filtering process, and (C) data with the Kalman filtering process.
These filtering processes are better described in papers using surface electromyography, force platform, and kinematic recordings, and still need to be better described when using mobile devices. Knowing the existing filters and standardizing the signal processing is important because it enables scientific reproducibility. This survey would help researchers and clinicians who are interested in working with the signals from sensors embedded in smartphones, since knowing the signal processing is an important step in obtaining reliable results. The objective of this paper was to perform a systematic review of the filters used in data recorded from smartphone applications for the assessment of static and dynamic balance.
2. Materials and Methods
A systematic search was carried out in the PubMed, ScienceDirect, Scopus, Technology Research and Web of Science databases and collected through other sources such as the references of the selected articles themselves, using the search strategy: smartphone, “mobile technology”, evaluation, “postural stability” and balance. The search strategy was originated through the PICO strategy, in which P = concerns the studied population (general population for balance assessment), I = is about the research interest (balance assessment using APP on mobile devices), C = represents the comparison (use of filters) and O = is the expected outcome (to define the most used filters and the algorithms used in the filters).
The eligibility of the papers was first based on the title and abstract. Then, articles that met the following inclusion criteria were included: (1) original articles (not review) (2) that used mobile devices (e.g., tablets, smartphones, among others) for the assessment of static and dynamic balance or posture, and (3) that presented, in the methodology, the specifications of the filter used for signal processing. Articles using sensors that are not embedded in mobile devices and/or without a complete description of data filtering were excluded from this review. The systematic review was carried out in accordance with the Preferred Item Reporting Guidelines for Systematic Reviews and Meta-Analysis (PRISMA) [], described in Figure 2. The search for and eligibility evaluation of the articles were performed independently by two researchers.

Figure 2.
PRISMA flow diagram [].
Data extraction and organization included the author’s name and year, objectives, device used in the study, filters used for data processing, and the main results of the study. The quality assessment of the articles was performed using the Evaluation tool for Cross Sectional Studies (AXIS tool) []. This tool consists of 20 questions distributed among the introduction, methods, results, discussion, and other aspects, which evaluate the richness of bias. This evaluation is subjective and is performed based on the reading of the article. Evaluation of the methodological quality of the studies had a guide character, but was not a criterion for the exclusion of the articles in the review.
3. Results
3.1. Article Selection
Searching the descriptors, a total of 427 articles were identified (PubMed = 107; ScienceDirect = 67; Scopus = 106; Web of Science = 95; Technology Research Database = 52). After applying the inclusion criteria and removing duplicates, nine studies were eligible for this review (Figure 2). These articles are described in Table 1.

Table 1.
Article Descriptions.
Most articles used applications to assess the postural stability (N = 5) of different populations: elderly or older adults [,], people with Parkinson’s disease [,] and young people []. Furthermore, studies assessed fall risks (N = 2) [,] and gait (N = 2) [,]. To verify the utility of applications, the articles compared the data collected from applications with kinematics (N = 3) [,,], the force platform (N = 1) [], and scales and clinical evaluations (N = 4) [,,,].
3.2. Quality Assessment
The evaluation of methodological criteria was performed using the AXIS tool, determining which articles had good methodological quality. The results of this evaluation can be consulted in the Supplementary Material Table S1.
3.3. Operational System and Mobile Device Apps
The most present operating system on mobile devices was IOS from the Apple company (N = 5) [,,,,], followed by the Android operating system (N = 2) [,]. There were studies that did not inform about the type of device or its operating system (N = 2) [,]. Of the total articles, eight used their own developed applications and one did not report application usage.
3.4. Filters
It was observed that the fourth-order Butterworth low-pass filter was reported more frequently (N = 6) [,,,,,], followed by the low-pass filters (without specification) (N = 2) [,] and the Kalman filter (N = 1) [] and the cutoff frequency adopted varied from 1.25 Hz to 20 Hz. The most reported frequency was 4 Hz (N = 2) [,], then 20 Hz (N = 1) [], 1.25 Hz (N = 1) [], 10 Hz (N = 1) [], 0.25 Hz (N = 1) [] and not reported (N = 4) [,,,]. In general, signal processing occurred after data collection (N = 8), through analysis software [,,,,,] or cloud [,]. Only one study had signal processing in the application [].
4. Discussion
The correct choice of the filter type and the frequency adopted is also important for better signal processing. The results in this review showed that the fourth-order Butterworth low-pass filter with a cutoff frequency of 4 Hz was the most used feature employed in the studies.
4.1. Operational System
Most of the studies used the IOS system, owned by Apple. Basically, the operating system of a mobile device is the platform responsible for performing the interaction between the device and the subject. Hence, the device’s operating system directly interferes in the choice of the application. Concerning the applications used in the studies, five of the nine articles used self-created applications in this development environment [,,,,], performing their validation for their specific purposes. This demonstrates a growing interest in the field of technological development for health. There is a range of applications available on shopping websites for operating systems with several functionalities focused on the health area. In this expansion scenario, studies are important to validate the use of these applications.
4.2. Use of Filters
There is a lack of this description in mobile device studies, and perhaps that is why its use depends on the researcher’s choice. In this review, the filters used in the studies were Butterworth and Kalman. The Butterworth filter is a type of electronic filter developed to have a flat frequency magnitude response, as far as possible mathematically, in a defined passband. The Butterworth filter has five frequency orders and its use varies according to the desired response frequency []. The effect of noise suppression and signal distortion produced by the Butterworth filter can be investigated and controlled regardless of whether it is a linear operator []. The Kalman filter can be used to integrate two sources of information in a fusion of sensors and obtain the best estimate of unknown variables. This is what happens, for example, in the Inertial Measurement Unit (IMU), which is used in recordings with mobile devices through MEMS. In these measurements, two sensors (accelerometer and gyroscope) are fused to estimate an object’s motion, speed and orientation throughout accelerations and angular data. The conventional Kalman filter is linear with Gaussian noise and could present problems in modeling nonlinear functions or linear functions with non-Gaussian noise []. To improve the applicability of the Kalman filter, scientists have created variants of the calculations, and it is recommended that the modeling of IMU error sources must be performed separately. Through the studies reviewed, the choice of filters used and the choice of the cutoff frequency are not standardized in the literature, since studies with similar objectives have chosen different frequencies and filters. However, while reading the articles, we identified that in studies focused on static balance analyses or specific movements, the cutoff frequencies were lower. On the other hand, in studies about gait or dynamic balance, in which several movements are occurring at the same time, the cutoff frequencies were higher. This may be related to the fact that in dynamic activities the sensor suffers more from noise interference. Therefore, describing the signal filtering system is important for replicating the experiment and standardizing data processing for balance analysis, using mobile devices.
The studies in this review do not properly describe signal processing, but the majority stated that the data had a good correlation and validation with the gold standard equipment, such as force platform and kinematics. Even so, when authors do not describe the filtering process, the results can be questioned, and the work methodology becomes fragile, interfering with its replication. The literature shows that the impossibility of reproducing some studies has reached high values in the scientific community, and this demonstrates that the published results are less reliable than has been claimed []. Many causes contribute to this phenomenon, and we highlight the analysis and reporting of data. Data analysis and reporting needs to be written in clear detail to achieve the principle of scientific reproducibility.
4.3. Authors’ Suggestions for the Replicability of Articles
The authors believe that to strengthen the reproducibility of studies that use signals collected through mobile devices, it is necessary to report some items in the study methodology. Such items are filter name, cutoff frequencies, sample rate of the record, and whether the signal processing will be performed in an external way or within the application.
4.4. Limitations and Future Directions
One possible limitation of this study is that it only considered MEMS/IMU on mobile devices, and we did not address this technology present in wearable sensors such as smartwatches and commercial IMUs. In this sense, it is worth mentioning that the MEMS/IMU signal can suffer interference from several factors, as discussed earlier. With that in mind, when considering other technologies and comparing with mobile devices, the weight of the device and the sampling rate, as well as the device positioning, may differ from one device to another and so the signal may change. Therefore, carrying out a study comparing the differences between devices and verifying how this interferes with the signal would be interesting to enrich the discussions on the subject. In addition, based on the results found here, we believe that carrying out studies that compare signals using different filters and different cutoff frequencies can be the first step towards a standardization of the analysis of signals collected through sensors.
5. Conclusions
The fourth-order Butterworth low-pass filter was the most used filter in the studies present in this review. However, the use of filters to process data recorded using a mobile device still needs further study, and apparently no filter is yet considered the best to be used. Understanding and describing signal processing is important not only for the correct description of the results but also for the reproducibility of the studies.
Supplementary Materials
The following supporting information can be downloaded at: https://www.mdpi.com/article/10.3390/app12136579/s1, Table S1: Appraisal tool for Cross-Sectional Studies (AXIS).
Author Contributions
Conceptualization, K.S. and A.C.e.S.; methodology, K.S.; writing—original draft preparation, K.S., B.C., A.B. and A.C.; writing—review and editing, G.S., J.G. and A.C.e.S. All authors have read and agreed to the published version of the manuscript.
Funding
This work was supported by research grants from the Coordenação de Aperfeiçoamento de Pessoal de Nível Superior—Brazil (CAPES), finance code 001, Brazilian funding agencies CNPQ-IC UFPA, PAPQ-PROPESP-UFPA, Amazon Paraense Foundation of Studies (FAPESPA, No. 2019/589349), and the Research Funding and the National Council of Research Development (CNPq/Brazil, No. 431748/2016-0). G.S. was a CNPq Productivity Fellow (No. 310845/2018-1). The funders had no role in the study design.
Institutional Review Board Statement
Not applicable.
Informed Consent Statement
Not applicable.
Conflicts of Interest
The authors declare no conflict of interest.
References
- Soares, M.A.; Sacchelli, T. Effects of physical therapy on balance of elderly people. Rev. Neurosci. 2008, 16, 97–100. [Google Scholar]
- Massion, J. Movement, posture and equilibrium: Interaction and coordination. Prog. Neurobiol. 1992, 38, 35–56. [Google Scholar] [CrossRef]
- Lee, J.S.; Lee, H.G. Effects of Sling Exercise Therapy on Trunk Muscle Activation and Balance in Chronic Hemiplegic Patients. J. Phys. Ther. Sci. 2014, 26, 655–659. [Google Scholar] [CrossRef] [PubMed] [Green Version]
- Scott, B.D.; Seibel, M.; Cumming, M.R.; Naganathan, M.V.; Blyth, M.F.; Le Couteur, F.D.G.; Handelsman, M.D.J.; Waite, M.L.M.; Hirani, M.V. Does Combined Osteopenia/Osteoporosis and Sarcopenia Confer Greater Risk of Falls and Fracture Than Either Condition Alone in Older Men? The Concord Health and Ageing in Men Project. J. Gerontol. Ser. A 2018, 74, 827–834. [Google Scholar] [CrossRef]
- Del Rosario, M.B.; Redmond, S.J.; Lovell, N.H. Tracking the Evolution of Smartphone Sensing for Monitoring Human Movement. Sensors 2015, 15, 18901–18933. [Google Scholar] [CrossRef] [Green Version]
- Moral-Munoz, J.A.; Esteban-Moreno, B.; Herrera-Viedma, E.; Cobo, M.J.; Pérez, I.J. Smartphone Applications to Perform Body Balance Assessment: A Standardized Review. J. Med. Syst. 2018, 42, 119. [Google Scholar] [CrossRef]
- Wen, J.; Yang, X.; Xu, S.; Liu, Y.; Tang, Z.; Qiu, X.; Xie, N.; Sun, Y. Walking Ability Assessment System for Parkinson’s Patients Based on Inertial Sensor. Zhongguo yi liao qi xie za zhi = Chin. J. Med. Instrum. 2017, 41, 415–418. [Google Scholar]
- Sama, A.; Perez-Lopez, C.; Romagosa, J.; Rodriguez-Martin, D.; Catala, A.; Cabestany, J.; Perez-Martinez, D.A.; Rodriguez-Molinero, A. Dyskinesia and motor state detection in Parkinson’s Disease patients with a single movement sensor. In Proceedings of the 2012 Annual International Conference of the IEEE Engineering in Medicine and Biology Society, San Diego, CA, USA, 28 August–1 September 2012; pp. 1194–1197. [Google Scholar] [CrossRef]
- Motchenbacher, C.D.; Connelly, J.A.; Motchenbacher, C.D. Low-Noise Electronic System Design; Wiley: New York, NY, USA, 1993. [Google Scholar]
- Afshari, H.; Gadsden, S.; Habibi, S. Gaussian filters for parameter and state estimation: A general review of theory and recent trends. Signal Process. 2017, 135, 218–238. [Google Scholar] [CrossRef]
- Li, Y.; Liberal, I.; Engheta, N. Dispersion synthesis with multi-ordered metatronic filters. Opt. Express 2017, 25, 1937. [Google Scholar] [CrossRef] [Green Version]
- Moher, D.; Liberati, A.; Tetzlaff, J.; Altman, D.G.; PRISMA Group. Preferred reporting items for systematic reviews and meta-analyses: The PRISMA statement. PLoS Med. 2009, 6, e1000097. [Google Scholar] [CrossRef] [Green Version]
- Downes, M.J.; Brennan, M.L.; Williams, H.C.; Dean, R.S. Development of a Critical Appraisal Tool to Assess the Quality of Cross-Sectional Studies (AXIS). BMJ Open 2016, 6, e011458. [Google Scholar] [CrossRef] [PubMed] [Green Version]
- Ozinga, S.J.; Alberts, J.L. Quantification of postural stability in older adults using mobile technology. Exp. Brain Res. 2014, 232, 3861–3872. [Google Scholar] [CrossRef] [PubMed]
- Hsieh, K.L.; Roach, K.L.; Wajda, D.A.; Sosnoff, J.J. Smartphone technology can measure postural stability and discriminate fall risk in older adults. Gait Posture 2019, 67, 160–165. [Google Scholar] [CrossRef] [PubMed]
- Ozinga, S.J.; Koop, M.M.; Linder, S.M.; Machado, A.G.; Dey, T.; Alberts, J.L. Three-dimensional evaluation of postural stability in Parkinson’s disease with mobile technology. NeuroRehabilitation 2017, 41, 211–218. [Google Scholar] [CrossRef]
- Ozinga, S.J.; Machado, A.G.; Koop, M.M.; Rosenfeldt, A.B.; Alberts, J.L. Objective assessment of postural stability in Parkinson’s disease using mobile technology. Mov. Disord. 2015, 30, 1214–1221. [Google Scholar] [CrossRef]
- Alberts, J.L.; Hirsch, J.R.; Koop, M.M.; Schindler, D.D.; Kana, D.E.; Linder, S.M.; Campbell, S.; Thota, A.K. Using Accelerometer and Gyroscopic Measures to Quantify Postural Stability. J. Athl. Train. 2015, 50, 578–588. [Google Scholar] [CrossRef] [Green Version]
- Wai, A.A.P.; Duc, P.D.; Syin, C.; Haihong, Z. iBEST: Intelligent balance assessment and stability training system using smartphone. Annu. Int. Conf. IEEE Eng. Med. Biol. Soc. 2014, 2014, 3683–3686. [Google Scholar] [CrossRef]
- Yamada, M.; Aoyama, T.; Mori, S.; Nishiguchi, S.; Okamoto, K.; Ito, T.; Muto, S.; Ishihara, T.; Yoshitomi, H.; Ito, H. Objective assessment of abnormal gait in patients with rheumatoid arthritis using a smartphone. Rheumatol. Int. 2012, 32, 3869–3874. [Google Scholar] [CrossRef]
- Koop, M.M.; Ozinga, S.J.; Rosenfeldt, A.B.; Alberts, J.L. Quantifying turning behavior and gait in Parkinson’s disease using mobile technology. IBRO Rep. 2018, 5, 10–16. [Google Scholar] [CrossRef]
- Pan, D.; Dhall, R.; Lieberman, A.; Petitti, D.B. A Mobile Cloud-Based Parkinson’s Disease Assessment System for Home-Based Monitoring. JMIR mHealth uHealth 2015, 3, e29. [Google Scholar] [CrossRef]
- Selesnick, I.; Burrus, C. Generalized digital Butterworth filter design. IEEE Trans. Signal Process. 1998, 46, 1688–1694. [Google Scholar] [CrossRef] [Green Version]
- He, A.; Zeng, X.; Xu, Y.; Noda, I.; Ozaki, Y.; Wu, J. Investigation on the Behavior of Noise in Asynchronous Spectra in Generalized Two-Dimensional (2D) Correlation Spectroscopy and Application of Butterworth Filter in the Improvement of Signal-to-Noise Ratio of 2D Asynchronous Spectra. J. Phys. Chem. A 2017, 121, 7524–7533. [Google Scholar] [CrossRef] [PubMed]
- Hosseinyalamdary, S. Deep Kalman Filter: Simultaneous Multi-Sensor Integration and Modelling; A GNSS/IMU Case Study. Sensors 2018, 18, 1316. [Google Scholar] [CrossRef] [Green Version]
- Begley, C.G.; Ioannidis, J.P. Reproducibility in Science. Circ. Res. 2015, 116, 116–126. [Google Scholar] [CrossRef] [PubMed] [Green Version]
Publisher’s Note: MDPI stays neutral with regard to jurisdictional claims in published maps and institutional affiliations. |
© 2022 by the authors. Licensee MDPI, Basel, Switzerland. This article is an open access article distributed under the terms and conditions of the Creative Commons Attribution (CC BY) license (https://creativecommons.org/licenses/by/4.0/).