An Underdetermined Convolutional Blind Separation Algorithm for Time–Frequency Overlapped Wireless Communication Signals with Unknown Source Number
Abstract
:1. Introduction
1.1. Research Background and Motivation
1.2. Literature Review
1.3. Contribution and Paper Organization
- A source number estimation method based on the KDE algorithm followed by detecting the peak points of the distribution is proposed, which can effectively estimate the number of sources before the signal separation.
- We design a contribution degree function based on the cosine distance, by which the contribution degree of the source signal to the mixed signal can be obtained. The contribution degree clearly reflects the mixing degree of the source signal at each frequency point, and it is of significant importance to improve the separation accuracy.
- The TF soft mask matrix is constructed based on the contribution degree function. Compared with the traditional binary mask, the TF soft mask can improve the separation accuracy for TF overlapped signals.
- The proposed blind source separation method for TF overlapped communication signal extends the application of the SCA algorithm, which reduces the requirement of signal sparsity for the classical SCA blind source separation algorithm.
2. Problem Statement
3. UBSS Algorithm Based on TF Soft Mask
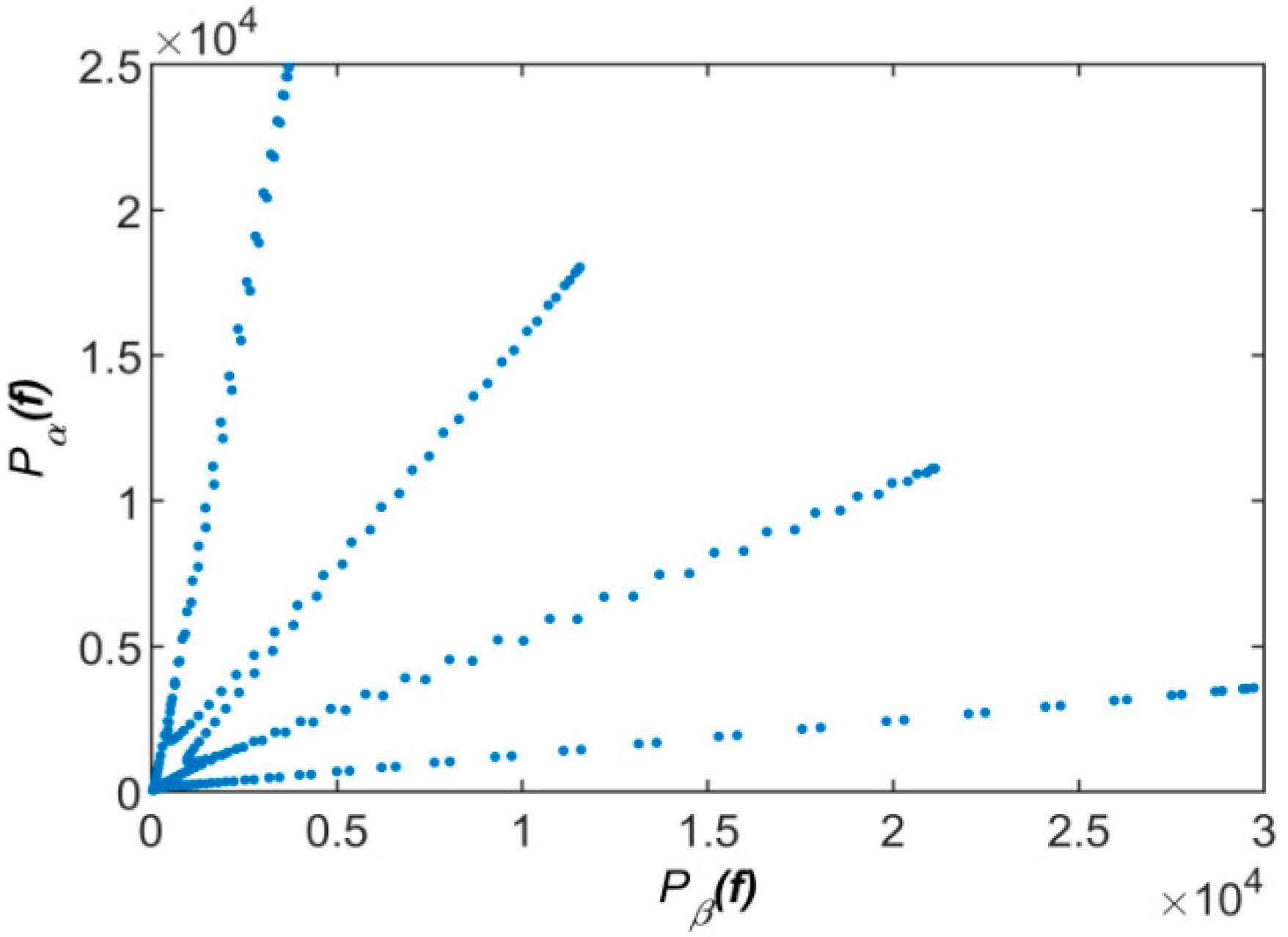
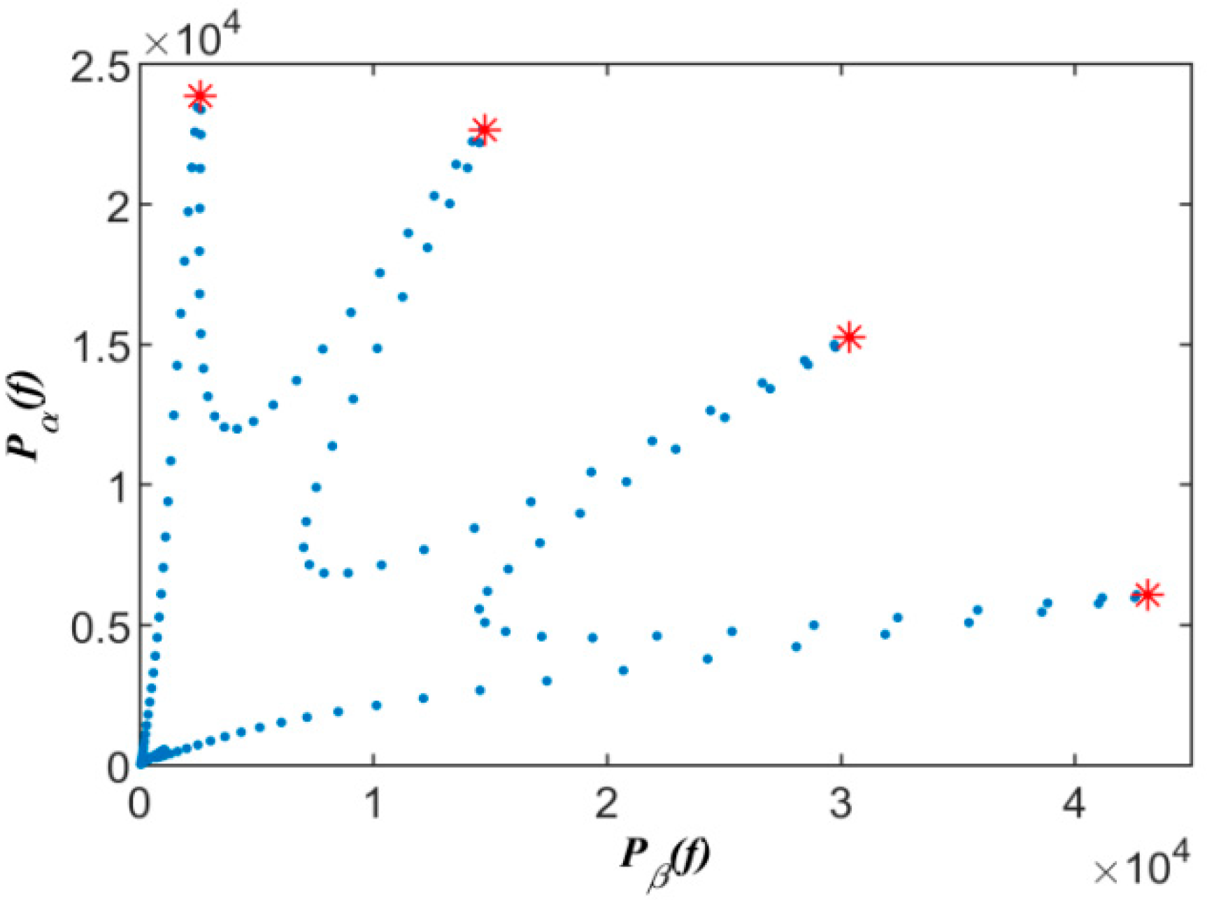
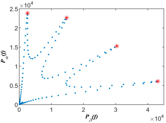
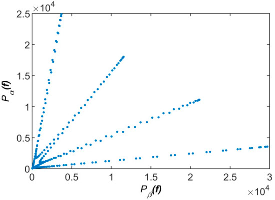
3.1. Source Number Estimation
3.2. Source Signal Recovery by TF Soft Mask
4. Experimental Results and Analysis
4.1. Simulation 1: The Selection of Scaling Factor in the Contribution Degree Function
4.2. Simulation 2: The Anti-Aliasing Performance Simulation
4.3. Simulation 3: Simulation of Algorithm Anti-Noise Performance
5. Conclusions
Author Contributions
Funding
Institutional Review Board Statement
Informed Consent Statement
Data Availability Statement
Acknowledgments
Conflicts of Interest
Abbreviations
| TF | Time–frequency | 
| KDE | Kernel density estimation | 
| BSS | Blind source separation | 
| ICA | Independent component analysis | 
| UBSS | Underdetermined blind source separation | 
| SCA | Sparse component analysis | 
| RF | Radio frequency | 
| STFT | Short-time Fourier transform | 
| SSP | Single-source-point | 
| ISTFT | Inverse short-time Fourier transform | 
| SDR | Source-to-distortion ratio | 
| SIR | Source-to-interferences ratio | 
| SAR | Source-to-artifacts ratio | 
| BER | Bit error rate | 
| SNR | Signal-to-noise ratio | 
References
- Wei, C.; Hua, P.; Junhui, F. A Blind Separation Method of PCMA Signals Based on MSGibbs Algorithm. J. Phys. Conf. Ser. 2019, 1168, 052050. [Google Scholar]
- Miao, W.; Xiao-xia, C.; Ke-fan, Z. A Blind Separation of Variable Speed Frequency Hopping Signals based on Independent Component Analysis. In Proceedings of the 2019 IEEE 3rd Information Technology, Networking, Electronic and Automation Control Conference (ITNEC), Chengdu, China, 15–17 March 2019; pp. 144–148. [Google Scholar] [CrossRef]
- Sharma, R. Musical Instrument Sound Signal Separation from Mixture using DWT and Fast ICA Based Algorithm in Noisy Environment. Mater. Today Proc. 2020, 29, 536–547. [Google Scholar] [CrossRef]
- Ziani, S.; Jbari, A.; Bellarbi, L.; Farhaoui, Y. Blind maternal-fetal ECG separation based on the time-scale image TSI and SVD–ICA methods. Procedia Comput. Sci. 2018, 134, 322–327. [Google Scholar] [CrossRef]
- Luo, Z.; Li, C.; Zhu, L. A comprehensive survey on blind source separation for wireless adaptive processing: Principles, perspectives, challenges and new research directions. IEEE Access 2018, 6, 66685–66708. [Google Scholar] [CrossRef]
- Ma, B.; Zhang, T. Single-channel blind source separation for vibration signals based on TVF-EMD and improved SCA. IET Signal Process. 2020, 14, 259–268. [Google Scholar] [CrossRef]
- Zhen, L.; Peng, D.; Yi, Z.; Xiang, Y.; Chen, P. Underdetermined blind source separation using sparse coding. IEEE Trans. Neural Netw. Learn. Syst. 2016, 28, 3102–3108. [Google Scholar] [CrossRef] [PubMed]
- Fang, B.; Huang, G.; Gao, J. Underdetermined blind source separation for LFM radar signal based on compressive sensing. In Proceedings of the 2013 25th Chinese Control and Decision Conference (CCDC), Guiyang, China, 25–27 May 2013; pp. 1878–1882. [Google Scholar]
- Fu, W.; Chen, J.; Yang, B. Source recovery of underdetermined blind source separation based on SCMP algorithm. IET Signal Process. 2014, 11, 877–883. [Google Scholar] [CrossRef]
- Yu, G. An Underdetermined Blind Source Separation Method with Application to Modal Identification. Shock. Vib. 2019, 2019, 1637163. [Google Scholar] [CrossRef]
- Cobos, M.; Lopez, J.J. Maximum a posteriori binary mask estimation for underdetermined source separation using smoothed posteriors. IEEE Trans. Audio Speech Lang. Process. 2012, 20, 2059–2064. [Google Scholar] [CrossRef]
- Kumar, M.; Jayanthi, V.E. Underdetermined blind source separation using CapsNet. Soft Comput. 2020, 24, 9011–9019. [Google Scholar] [CrossRef]
- Li, Y.; Nie, W.; Ye, F.; Lin, Y. A mixing matrix estimation algorithm for underdetermined blind source separation. Circuits Syst. Signal Process. 2016, 35, 3367–3379. [Google Scholar] [CrossRef]
- Liu, Z.; Li, L.; Lv, D.; Pan, N. Novel source recovery method of underdetermined time-frequency overlapped signals based on submatrix transformation and multi-source point compensation. IEEE Access 2019, 7, 29610–29622. [Google Scholar] [CrossRef]
- Reju, V.G.; Koh, S.N.; Soon, I.Y. Underdetermined convolutive blind source separation via time-frequency masking. IEEE Trans. Audio Speech Lang. Process. 2009, 18, 101–116. [Google Scholar] [CrossRef]
- Reddy, A.M.; Raj, B. Soft mask methods for single-channel speaker separation. IEEE Trans. Audio Speech Lang. Process. 2007, 15, 1766–1776. [Google Scholar] [CrossRef]
- Duan, T.; Zhang, X. A solution to blind separation of convolutive communication mixtures in frequency domain. In Proceedings of the 2012 2nd International Conference on Consumer Electronics, Communications and Networks (CECNet), Yichang, China, 21–23 April 2012; pp. 2330–2333. [Google Scholar]
- Ma, B.; Zhang, T.; An, Z.; Song, T.; Zhao, H. A blind source separation method for time-delayed mixtures in underdetermined case and its application in modal identification. Digit. Signal Process. 2021, 112, 103007. [Google Scholar] [CrossRef]
- Li, C.; Zhu, L.; Luo, Z. Underdetermined blind source separation of adjacent satellite interference based on sparseness. China Commun. 2017, 14, 140–149. [Google Scholar] [CrossRef]
- Lu, J.; Cheng, W.; He, D.; Zi, Y. A novel underdetermined blind source separation method with noise and unknown source number. J. Sound Vib. 2019, 457, 67–91. [Google Scholar] [CrossRef]
- Özbek, M.E. Determining the Number of Sources with Diagonal Unloading in Single-Channel Mixtures. Circuits Syst. Signal Process. 2021, 40, 5483–5499. [Google Scholar] [CrossRef]
- Węglarczyk, S. Kernel density estimation and its application. ITM Web Conf. 2018, 23, 00037. [Google Scholar] [CrossRef]
- Vincent, E.; Gribonval, R.; Fevotte, C. Performance measurement in blind audio source separation. IEEE Trans. Audio Speech Lang. Process. 2006, 14, 1462–1469. [Google Scholar] [CrossRef] [Green Version]
















| Variable | Meaning | 
|---|---|
| The source signal. | |
| The received signal. | |
| The mixing matrix corresponding to the qth wireless propagation path of the signal. | |
| The amplitude attenuation of the ith source signal to the kth sensor through the qth path. | |
| The time delay of the ith source signal to the kth sensor through the qth path. | |
| The STFT of the signal received by the kth sensor. | |
| The power of the kth received signal. | 
| Variable | Meaning | 
|---|---|
| F | The set of frequencies after removing the low power points. | 
| The angular distribution. | |
| The angular probability density distribution of . | |
| The STFT of the ith signal to be reconstructed. | |
| The corresponding ith TF soft mask matrix that needs to be constructed. | |
| The contribution degree of the ith source signal to the mixed signal. | |
| The corresponding cosine distance between the power point and the ith endpoint. | |
| The ith source signal to be reconstructed. | 
| Publisher’s Note: MDPI stays neutral with regard to jurisdictional claims in published maps and institutional affiliations. | 
© 2022 by the authors. Licensee MDPI, Basel, Switzerland. This article is an open access article distributed under the terms and conditions of the Creative Commons Attribution (CC BY) license (https://creativecommons.org/licenses/by/4.0/).
Share and Cite
Ma, H.; Zheng, X.; Yu, L.; Wu, X.; Zhang, Y. An Underdetermined Convolutional Blind Separation Algorithm for Time–Frequency Overlapped Wireless Communication Signals with Unknown Source Number. Appl. Sci. 2022, 12, 6534. https://doi.org/10.3390/app12136534
Ma H, Zheng X, Yu L, Wu X, Zhang Y. An Underdetermined Convolutional Blind Separation Algorithm for Time–Frequency Overlapped Wireless Communication Signals with Unknown Source Number. Applied Sciences. 2022; 12(13):6534. https://doi.org/10.3390/app12136534
Chicago/Turabian StyleMa, Hao, Xiang Zheng, Lu Yu, Xinrong Wu, and Yu Zhang. 2022. "An Underdetermined Convolutional Blind Separation Algorithm for Time–Frequency Overlapped Wireless Communication Signals with Unknown Source Number" Applied Sciences 12, no. 13: 6534. https://doi.org/10.3390/app12136534
APA StyleMa, H., Zheng, X., Yu, L., Wu, X., & Zhang, Y. (2022). An Underdetermined Convolutional Blind Separation Algorithm for Time–Frequency Overlapped Wireless Communication Signals with Unknown Source Number. Applied Sciences, 12(13), 6534. https://doi.org/10.3390/app12136534
 
         
                                                
 
       