You are currently on the new version of our website. Access the old version .
Applied SciencesApplied Sciences
  • Article
  • Open Access

16 June 2022

Relationship between Phenolic Compounds, Antioxidant Activity and Color Parameters of Red Table Grape Skins Using Linear Ordering Analysis

and
1
Department of Food Quality and Safety Management, Faculty of Food Science and Nutrition, Poznań University of Life Sciences, Wojska Polskiego 31, 60-637 Poznań, Poland
2
Department of Chemistry, Poznań University of Life Sciences, Wojska Polskiego 75, 60-625 Poznań, Poland
*
Author to whom correspondence should be addressed.
This article belongs to the Special Issue New Insights into Natural Antioxidants in Foods

Abstract

Color, being one of the most important sensory characteristics, could be associated to the phenolic compound content and/or the antioxidant activity of fruits and vegetables. In this study, linear ordering was used to build quality rankings of red table grapes based on color parameters or phenolic compounds. First, the principle component analysis (PCA) was used to show the association between color of red grape skins (evaluated in CIE L*a*b* and L*C*h systems) and their individual phenolic compounds (investigated by the HPLC), total polyphenol content (TPC), total anthocyanins (ACNs), as well as the antioxidant activity (DPPH) of five table grape varieties. It could be observed that the lightness (L*) and hue angle (h) are the color coordinates strongly related to some phenolic compounds and ACN, whereas a* was related to DPPH and TPC. Five distinct clusters could be observed from PCA analysis with dark-colored grape varieties showing high levels of ACN (3.48–5.83 mg/g), low lightness (47.8–53.0), and high h values (353.7–359.8°). L*, a*, and h color coordinates were used to build table grape ranking. The second ranking was built based on phenolic compound content. Results of the two rankings were correlated. High Tau Kendall correlation coefficient (0.51, p = 0.000) indicated that linear ordering analysis, based on the simple color measurements, could be a useful tool for rapid screening of the quality of grapes. This could be valuable information for producers and consumers of the fruit making decision on the market.

1. Introduction

In recent years, a change has been observed in the consumers’ behavior on the food market. Their growing awareness on the impact of a diet on human health has led consumers to approach their diet in more selective ways, often choosing quality products, such as functional or/and organic/bio food. This has forced the food producers to single out their products with health attributes for which the consumers will be able to pay a higher price. Among the fruit, table grapes are one of such food products [1].
Grapes are one of the most popular fruit worldwide. Their worldwide production was about 78 million tons in 2018, including 36.2% (28.2 million tons) produced in Europe [2]. Table grapes, which are intended for consumption while fresh, can be in the form of either seeded or seedless varieties and range widely in terms of color, size, and flavor. The annual production of table grapes accounted for 25.6 million tons in 2020/2021 worldwide, including 1.4 million tons produced in Europe [3].
Grapes are important sources of bioactive compounds. They contain high amounts of phenolic acids and polyphenols, whose presence in the human diet has been previously related to the lower risk of chronic diseases such as cancers or cardiovascular diseases [4]. In grape berries phenolic acids (hydroxycinnamic and hydroybenzoic acids), stilbenes (resveratrol), flavonols (quercetin, kaempferol, and myricetin), flavanone and anthocyanins are the most important antioxidant active compounds. Most of them are in the skins (30%) and seeds (60%) of grapes, while only around 10% is in the pulp [5]. The composition of grapes strongly depends on the variety, maturity stage of grape berries, viticultural and environmental factors [5]. In red grape varieties, the main phenolic compounds are anthocyanins [6,7]. They account for 42–51% of total phenolics in red grape berries, followed by hydroxycinnamic acid derivatives (30–31%) and flavan-3-ols (8–19%) [7]. Others [8] reported that, apart from anthocyanins, the predominant polyphenols in red grape skins are flavonols in the form of glycosides (130–200 mg/kg fresh weight), followed by flavan-3-ols (41–93 mg/kg) and hydroxycinnamic acid derivatives (12–19 mg/kg). For white grapes, the predominant polyphenols are flavan-3-ols (54–97 mg/kg), followed by flavonols (25–98 mg/kg) and hydroxycinnamates (13–38 mg/kg), which constitute 32–59%, 27–49%, and 13–19% of total phenolic compounds, respectively [8]. As reported by Aubert et al. [7], pink and white grapes are rich in hydroxycinnamic acid derivatives (43–74%), followed by flavonols for white cultivars (17–43%) or anthocyanins for pink colored cultivars (21%).
Phenolic compounds are responsible not only for the antioxidant activity of the fruit but also play an important role in the sensory characteristics, such as taste and color [7]. Flavan-3-ols and their polymeric forms proanthicyanidins contribute to bitter and astringent taste of the berries [9]. Anthocyanins are responsible for the red, purple, and blues color of fruit. When making purchasing decisions, consumers have always been attracted by the color as a sign of a “good” quality product. In the case of fruit, the more vivid color the higher quality of the fruit is attributed [10]. Color, being one of the most important sensory characteristics, could be associated with the phenolic compound content and/or the antioxidant activity of fruit and vegetables [10,11]. Recently, many efforts have been made to obtain the grape varieties of high polyphenol content, which provides beneficial health effects for humans [4]. Since flavonols and anthocyanins are abundant in grape skins, their content could be related to the color of grape berries.
There are only few studies showing the relationship between color and the antioxidant activity of fruit and vegetables [10,11,12]. Most commonly, the hue angle (h) as a color parameter was associated with the pigments in fruit and vegetables [10]. However, apart from chroma coordinates (a*, b*), lightness (L*) was also related to the antioxidant activity of grapes and onions [11].
The aim of this study was to investigate the association between the color of red grape skins (evaluated in CIE L*a*b* and L*C*h systems) and their individual phenolic compounds, total polyphenol content (TPC), total anthocyanins (ACNs), as well as the antioxidant activity (DPPH) of fruit using the multivariate approach. To this end, the linear ordering analysis was used, for the first time, to build two quality rankings of table grapes, namely, the first ranking based on phenolic content or the antioxidant activity and the second one based on color coordinates. A scientific hypothesis is that there is a significant relationship between the color of grape skins and their phenolics and/or antioxidant activity. Thus, a high correlation between the two rankings could indicate that color measurements could be used as a tool for screening the quality of grapes expressed as phenolic content. This could eliminate extraction and hydrolysis methods used to test phenolic content of fruit, and it could replace the cost and time-consuming analytical techniques of phenolic determination with simple and quick color measurements to get the knowledge on phenolic content. The rankings built will show what position of our product is in the set of similar products in other words where our product is placed in the quality hierarchy. Finally, the rankings of table grapes created by the linear ordering could be used by producers as a good source of information to distinguish and promote their products within the group of similar products and for consumers to easily find the knowledge on the quality of the product.

2. Materials and Methods

2.1. Materials

Five table grapes varieties (Vitis vinifera L.)—namely Red Globe (dark red, seeded), Red Globe (pink, seeded), Autumn Royal (blue-black, seedless), Black Magic (violet-black, seeded), and Palieri (violet-black, seeded)—were purchased fresh from local suppliers (in 2015). These commercial varieties are the most popular table grapes among consumers in Europe.

2.2. Sample Preparation

From the grape berries, skins were separated manually, freeze-dried (−50 °C), grinded to powder in a mortar, and stored in the freezer at −20 °C until analysis. Approximately 1 g of the powdered skins were weighted and extracted with 10 mL of methanol (Sigma-Aldrich, Steincheim, Germany, HPLC purity) in a closed container for 30 min on the magnetic stirrer (MS–H–Pro plus, Chemland, Poland) with electronic control for constant speed. The process was proceeded at ambient temperature, in the dark, and under nitrogen to avoid phenolic compound oxidation. Then, after filtration through paper filters (type 388 filter, Filtrak, Niederschlag Bärenstein, Germany), the supernatant was collected, and the residues were re-extracted following the same procedure. All filtrates were combined, mixed, and used for the analyses.

2.3. Color Measurements

The color of table grape skins was determined by Minolta Chroma Meter CR-200b (Konica Minolta, Tokyo, Japan) in CIE L* a* b* system, where L* is lightness and a* is green (if-) or red (if+) and b* is blue (if-) or yellow (if +). The mode of measurement was SCI (specular component included), source of light was D65 and measuring area diameter was 8 mm. The colorimeter was calibrated, before analysis, using a white ceramic reference standard. Samples were placed in a plastic container and covered with a plastic plate. The measured layer was 10 mm thick. The chroma–C* and hue angle–h values were calculated using a* and b* coordinates, and hue was expressed in degrees (°).

2.4. Total Polyphenol Content (TPC)

Total polyphenol content (TPC) was determined spectrophotometrically at 765 nm on a Cary 1E UV-Vis Spectrophotometer (Varian, Berlose, Australia) using Folin–Ciocalteu’s reagent (Sigma-Aldrich, Steincheim, Germany), as described by Singleton and Rossi [13]. The results were expressed as mg of gallic acid equivalents (GAE) per g of skin powder.

2.5. Anthocyanin Content (ACN)

Total anthocyanins (ACNs) were investigated by the pH-differential method [14]. Briefly, two dilutions of the same sample were prepared by adding an aliquot of the extract (100 µL) to 3900 µL of potassium chloride (0.025 M, pH 1) and to 3900 µL of sodium acetate (0.4 M, pH 4.5), respectively. After mixing, the absorbance of the samples were measured at 537 nm and 700 nm on the spectrophotometer Cary 1E. ACNs were calculated using the Lambert–Beer law (ε = 26,900 L/mol/cm, MW = 449.2 g/mol) as cyaniding-3-glucoside (Cyglu) per g of powdered skins.

2.6. HPLC Analysis of Phenolic Compounds

Identification of phenolic compounds was performed using Waters 2695 high-performance liquid chromatograph equipped with a Waters 2996 photodiode array detector (Waters, Milford, MA, USA) and BDS Hypersil C18 column (250 × 4.6 mm, 5 µm, Thermo Scientific, Marietta, GA, USA). Chromatographic conditions were as follows. The mobile phase consisted of a mixture of acetonitrile (A) and water (B) acidified with formic acid 1% (v/v). All solvents (of HPLC grade) were purchased from Sigma-Aldrich (Steincheim, Germany). Water for the HPLC mobile phase was purified using a Milli-Q system (Millipore, Bedford, MA, USA). All determinations were performed at room temperature. The initial composition was 10% A and 90% B. The flow rate was 0.3 mL/min. Then, the linear increase up to 13% A in the next 20 min, followed by the linear increase during the next 10 min up to 13.5% A (flow rate 0.5 mL/min), followed by the linear increase to 18% A (flow rate 0.6 mL/min) during the next 10 min, followed by the linear increase during the next 25 min to 35% A (flow rate 1 mL/min), followed by the increase to 100% A during the next 5 min (flow rate 1 mL/min) and a linear decrease during the 5 min to initial conditions (10% A, flow rate 0.3 mL/min), which was kept for 10 min to re-equilibrate the column. The eluate was detected using a Waters 2996 photodiode array detector set at 280, 309 and 380 nm for phenolic acids, flavonoids and resveratrol, respectively. The injection volume was 10 μL. The separated peaks were identified by the comparison with the retention times of individual standards peaks and quantified using calibration curves of standards. All results were expressed in µg/g of powdered skins.

2.7. DPPH Radical Scavenging Activity

The antioxidant activity of powdered grape skins were determined by the method reflecting the mechanism of the scavenging of DPPH radicals (DPPH–dphenyl-picrylhydrazyl from Sigma-Aldrich, Steincheim, Germany) according to the procedure by Sànchez-Moreno et al. [15]. The results were expressed in µmol trolox equivalent (TE) per g of powdered skins.

2.8. Statistical Analysis

All results were shown as mean ± standard deviation of ten replicates. The calculations were performed using Statistica 13.3 software (StatSoft, Tulsa, OK, USA) with Plus package for linear ordering analysis (StatSoft, Kraków, Polska). Normal distribution was checked by Shapiro’s W test and variance homogeneity by Cochran–Hartley–Bartlett test. The significant effect of variety on the parameters studied (except DPPH) was shown by one way ANOVA using Welch’s F test (since there was lack of variance homogeneity), and significant differences were calculated using Tukey’s HSD test in post-hoc analysis. For DPPH parameter Kruskal–Wallis, one way ANOVA was used for testing the effect of variety since there was lack of normal distribution of DPPH data. The correlations between parameters were shown by R Spearman’s coefficient (between DPPH and other parameters) and r Pearson’s coefficient. To show the relation between measured parameters, PCA (principle component analysis) was performed. This multivariate approach enabled more insight into the obtained data.
Finally, linear ordering analysis was performed to build rankings for the comparative quality assessment of table grapes. The procedure is a useful tool in the promotion of the product, in comparison to other products, by the construction of hierarchy of similar objects. First, the data was chosen, and it was decided if the parameters are stimulants (positive effect on the studied phenomenaquality) or destimulants (negative effect on the studied phenomena). The normalization procedure of all variables (total and individual phenolic compound contents, antioxidant activity and color coordinates) was performed using the equations:
for   stimulants ,   x i j = ( x i j   min { x i j } ) / ( max { x i j } min { x i j } ) ,
for   destimulants ,   x i j = ( max { x i j } x i j ) / ( max { x i j } min { x i j } ) ,
where xij is the value of j variable for the object i, max and min correspond to maximum and minimum values within the j variable set of data. The normalization procedure enabled the adjustment of the size of the input variables in the range from 0 to 1 [16]. The specific variables used in the method were chosen, based on the cluster analysis performed, in order to separate groups of normalized variables, resulting in similar ordering of the objects (grape varieties), and then, one variable from each cluster was chosen (with the smallest distance in the cluster). As the aggregation measure-AM (composite indicator) mean value of the normalized variable values was calculated:
A M i = j = 1 m x i j
where xij is the value of j variable for the object i [16]. All analyses were calculated at the confidence level of 0.05.

3. Results and Discussion

3.1. Color of Table Grape Skins

Values of color coordinates of table grape skins, in both the Cartesian (L*a*b*) system and polar (L*C*h) system, are shown in Table 1.
Table 1. Color parameters of table grape skins.
The effect of variety was statistically significant, and the darkest table grapes (the lowest L* values) were Autumn Royal and Black Magic, showing blue-black and violet-black skins. The lightest were Red Globe varieties, especially pink-colored ones. Lutz et al. [17] also reported that juice from Autumn Royal grapes presented lower L* values (18.4) than juice from Red Globe grapes (19.3). When analyzing chroma coordinates a* and b*, Autumn Royal, Black Magic, and Pallieri showed similar share of red color of the berries. The level of redness in Red Globe was the highest, and in Red Globe, pink-colored was the lowest among tested varieties. Significant differences were observed when taking into account the b* chroma coordinate. Negative b* values showed the high blueness of the samples, especially for Autumn Royal variety. Red Globe varieties with positive b* values showed yellowness of the skins. The higher redness (a*) and higher yellowness (b*) of Red Globe juice, in comparison to Autumn Royal juice, have been previously observed [17]. When analyzing the polar coordinates, such as hue angle (h), it could be observed that Autumn Royal, Black Magic, and Palieri varieties could be put to the fourth quadrant of the polar color space (270–360°), and the values around 360° indicated a rather dark red/violet color. Red Globe varieties could be placed in the first quadrant of the polar color space (0–90°), indicating that Red Globe was rather light red/orange-colored, whereas Red Globe pink was rather orange/yellow-colored variety. Cömert et al. [10] reported previously the hue angle for black grape was 215.5, whereas for red grape, it was 25.6. The value of the h coordinate, obtained in this study for Red Globe red-colored, is similar to the result shown by the authors [10]. The color of the table grape skins is the result of phenolic compound content, which was partially discussed by others [8,9,18,19]. Generally, the darker color is associated with the higher total phenolic content [18,19], but the content of individual phenolic compounds also plays a crucial role [8,9,19], which is discussed later in this manuscript (Section 3.3).

3.2. Total Polyphenol and Anthocyanin Content and the Antioxidant Activity

Results of phenolic compound content and the antioxidant activity of table grape skins were shown in Table 2.
Table 2. Total polyphenol content (TPC), total anthocyanin content (ACN), and the antioxidant activity (measured by DPPH assay) of table grape skins.
The range of TPC in grape skins was 2.58–8.37 mg GAE/g FW (fresh weight), with the highest content found in the Black Magic variety and the lowest in the Red Globe pink variety. Similar results have been previously reported by Yilmaz et al. [5] for skins of some red grape varieties (99–169 mg GAE/100 g FW). TPC value for Autumn Royal, provided by Izcara et al. [20], was 118 mg GAE/100 FW, which was significantly lower than TPC observed in our study (7.13 mg GAE/g DW = 169 mg GAE/100 g FW) but the final result was shown by the authors for the whole berries, not for skins. TPC values obtained by Xia et al. [21] for grape skins were in a wide range from 7.94 to 44.64 mg GAE/g DW. The lowest TPC value appeared for the Euro-American hybrid [21], which was similar to the TPC of the Black Magic variety from our study (Table 2). Shen et al. [22] reported 3.5 times lower TPC in skins of the Red Globe variety (456.3 mg GAE/kg FW) in comparison to our results (6.77 mg GAE/g DW = 1529 mg GAE/kg FW). In this study, ACN content varied from 0.10 mg Cyglu/g DW for the Red Globe pink variety to 5.83 mg Cyglu/g DW for the Autumn Royal variety. Since ACNs are responsible for the color of red grape varieties, dark-colored grapes contained the highest content of these compounds, which was also observed by Samoticha et al. [19].
The antioxidant activity (DPPH) of table grapes ranged in a wide range from 32 to 90 µmol/g DW. Among the varieties, Black Magic and Red Globe showed the highest antioxidant activity, whereas the lowest was determined for Red Globe pink. Similar results were shown by Xia et al. [21] and Yilmaz et al. [5] for some red varieties cultivated in Europe and America, Shen et al. [22] for the Red Globe variety. Whereas Izcara et al. [20] reported two times lower radical scavenging activity for the Autumn Royal variety (172 mg TE/100 g FW) in comparison to our results (62.21 µmol TE/g DW = 369 mg TE/100 g FW). Since the antioxidant activity has been previously reported to be significantly correlated with the phenolic compounds [5,19,20], the correlation coefficients were calculated. Generally, the higher the content of phenolic acids and polyphenols, the higher antioxidant activity was. In our study, the correlation coefficient (R Spearman) between DPPH and TPC values was 0.736 (p = 0.000), whereas between DPPH and ACN was only 0.282, but it was statistically significant (p = 0.047). Although among all varieties, Autumn Royal was characterized by the highest ACN content (5.83 mg Cyglu/g DW) and high TPC value (7.13 mg GAE/g DW), its antioxidant activity was similar to the antioxidant activity of the Pallieri variety and lower in comparison to the Red Globe, showing ACN equaled to 1.25 mg Cyglu/g DW and TPC equaled to 6.77 mg GAE/g DW. Thus, the exceptionally high antioxidant activity of Red Globe, in relation to its TPC and ACN, is noteworthy. That could be the result of individual phenolic compound composition of these two varieties (Red Globe and Autumn Royal), which is discussed in Section 3.3. It is also possible that the Red Globe variety is rich in other phenolics antioxidant active constituents, which was previously mentioned by others [20]. Moreover, various interactions between antioxidant active compounds may occur, which may influence the final antioxidant properties of grapes [19]. Lutz et al. [17] reported that the synergistic effect between antioxidant vitamins and phenolic compounds could contribute to the high antioxidant activity of the fruit. Moreover, some vitamins, such as vitamin C, could regenerate some phenolic compounds due to the lower redox potential of vitamin C in comparison to the redox potential of phenolics [23].

3.3. Phenolic Compounds in Table Grape Skins

Table 3 includes HPLC results on phenolic compound content.
Table 3. Phenolic compound content in table grape skins.
As shown in Table 3, among phenolic compounds, flavonoids were the most abundant in grape skins. However, the qualitative and quantitative characteristic of the compounds depends strongly on grape variety, which was previously reported by others [8,19,24]. For dark-colored, blue-black, or violet-black, varieties, flavonols—namely, hesperidin (H) and myricetin (M)—were the most abundant flavonoids. M has been previously reported as a specific flavonol to red grape varieties found mainly in skins [8,19]. The level of myricetin derivatives in red grape varieties has been previously reported within the range from 19 to 36 mg/g FW [8], which is similar to the result shown in this study for the Palieri variety (13.08 mg/kg FW after recalculation of 64.21 µg/g DW from Table 3). Among flavonols, quercetin (Q) was also present in a high quantity in dark-colored grapes and among stilbens–resveratrol (Res). Rutin (R) was the predominant flavonoid (glycoside of quercetin) in Red Globe varieties (responsible for their yellow color). Since various extraction procedures and quantification methodologies were applied, it was hard to compare directly our results to the literature numerical data. Higher levels of quercetin glucoside in red grapes than in white grapes were observed by others [8]. Lutz et al. [17] reported the presence of resveratrol in Red Globe skin, at the level of 0.77 ppm, which is in the same range for the variety as in this study.

3.4. PCA Analysis–Association of Color Parameters with the Phenolic Content and the Antioxidant Activity

PCA was performed to put more insight into the data matrix and to show the structure of the relationships between all parameters. The first four principle components (PCs) with eigenvalue greater than 1 were extracted, and together, they explained around 99% of the total variance, including PC1 explaining 55.96% of variance and PC2 explaining 25.66% of variance. A projection of the variables (parameters) and a projection of the scores on the principal component plane, with PC1 and PC2 on the X and Y axes, respectively, are presented in Figure 1. As can be seen from Figure 1a, PC1 was positively correlated with ACN (loaded value = 0.98), Q (0.98), H (0.97), Res (0.91), sinapic acid–SA (0.83), M (0.82), and hue angle–h (0.93), and it was negatively correlated with R (−0.94), L* (−0.95), and b* (−0.89). PC 2 was positively correlated with DPPH (0.93), a* (0.84), C* (0.78), ferulic acid–FA (0.74), TPC (0.73), and eriodictiyol–Er (0.69).
Figure 1. Projections of the variables (a) and scores (b) onto the factor plane defined by principal components (PC1 and PC2). Note: SA—sinapic acid; FA—ferulic acid; hCynA—hydroxycinnamic acid; Res—resveratrol; Q—quercetin; T—taxifolin; M—myricetin; K—kaempferol; H—hesperidin; Er—eriodictyol; R—rutin; L*—lightness, a* and b*—color coordinates, C*—chroma, h—hue angle; TPC—total polyphenol content; ACN—total anthocyanin content; DPPH—antioxidant activity.
As it could be observed, strong associations between color parameters, namely L*, h. and some phenolic compounds, such as ACN, Res, H, M, R, and Q, have been noted (Figure 1a). Moreover, a* color coordinates was highly related with the DPPH and TPC values. Thus, simple measurement of color parameters may be used as a fast and low-cost method of screening the quality parameters of grapes (antioxidant activity and phenolic content), which would be useful for consumers and producers. Especially, as it was shown in the Figure 1b, those variables distributed the grape samples along PC1 and PC2 and five distinct clusters could be observed. What is noteworthy, the dark-colored table grapes (Black Magic, Palieri, Autumn Royal) were on the right sight of the PC1 axis and showed high levels of ACN, Res, M, Q, H, high hue angle, and low lightness (L*), as well as R content. On the other side of PC1 axis (negative PC1 values) are Red Globe varieties, both with high lightness and R content. Moreover, when analyzing distribution of the samples along the PC2 axis, Red Globe and Black Magic were the two varieties placed on the positive side of the axis and showed high antioxidant activity, measured by the DPPH assay, in contrast to Red Globe pink variety located on the negative PC2 values with low antioxidant activity. Application of PCA for easy interpretation of data, according the similarities and differences in fruit and vegetables based on the antioxidant content, has been previously reported by others [9,11].

3.5. Linear Ordering Analysis for Building the Quality Ranking of Table Grapes

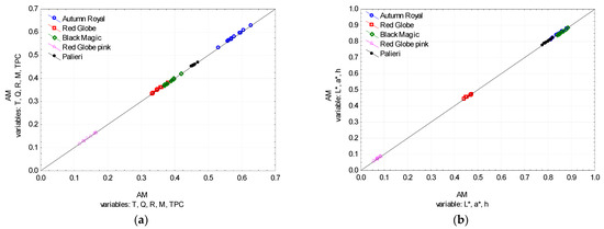
Linear ordering analysis was used to build quality rankings of table grapes for the first time. First, the complex phenomena in the analysis was chosen as quality of red grapes expressed as individual phenolic content, TPC, ACN, and/or DPPH values. The specific variables used in the method were chosen based on the cluster analysis performed in order to separate groups of normalized variables, resulting in similar ordering of the objects (grape varieties), and then, one variable from each cluster was chosen (with the smallest distance in the cluster). There were: taxifolin (T), R, M, Q, and TPC. The quality of table grapes was also expressed by color coordinates (the second ranking). Similarly, cluster analysis was applied, and a*, L*, and h were chosen. Since a different effect of the chosen variables was observed on the quality of table grapes (L* color coordinates were marked as destimulants–the higher the values, the lower place in ranking—other variables were marked as stimulants), the normalization of the data was applied according the equations (1 and 2). The aggregation procedure (AM) was based ‘not on the pattern objects’ (arithmetic means of normalized values). Table 4 presents results (AM values and ranks) of linear ordering rankings for the chosen variables. The higher the value of AM, the higher the quality of table grapes. The correlation between results of these two rankings (rank) was statistically significant, as the Tau Kendall coefficient equaled 0.51 with p = 0.000. The AM values could be easily calculated based on the equations (1–3), using the values of color coordinates (L*, a* and h), and the rank of the grape variety, in the quality hierarchy of other grape varieties, could be determined. Since, there is significant correlation between the two rankings (Table 4), simple color measurements could give us information on the phenolic content. The grape varieties with the AM values above 0.7 (calculated from L*, a*, and h color coordinates) will show high phenolic content, grapes with AM values from 0.4 to 0.7 will show moderate phenolic content, and grape varieties with AM below 0.4 will show low phenolic content.
Table 4. Results of linear ordering analysis for the quality assessment of table grapes, based on two set of variables: Taxifolin (T), quercetin (Q), myricetin (M), rutin (R) and Total polyphenol content (TPC) as well as Lightness (L*), red (a*) and hue angle (h). AM—Aggregation measure.
Figure 2 shows graphical interpretation of the AM results. From the charts, it could be observed that dark-colored grapes were assessed very high when taking the ranking based on phenolic content (Figure 2a), as well as ranking based on color coordinates (Figure 2b), whereas pink variety got the lowest rating (AM values) in both rankings. However, the differences between AM values were higher for color-based ranking than for phenolic content-based ranking (Table 4).
Figure 2. Graphical presentation of linear ordering of 5 objects (table grape varieties in ten replication each) based on the parameters: taxifolin—T, quercetin—Q, rutin—R, myricetin—M and total phenolic content TPC (a) and color coordinates: lightness—L*, redness—a*, hue angle—h (b).
Previously, linear ordering analysis was successfully applied to build comparative quality rankings for honey quality [25], but for the first time, the linear ordering was used for scoring the table grape quality. The method could be used for food product promotion such as grapes on the market. The ranking built on color coordinates will show what position of table grapes is in the set of other grape varieties. This could eliminate the extraction and hydrolysis methods used to test phenolic content of fruit and could replace the cost and time-consuming analytical techniques of phenolic determination with simple and quick color measurements to get the knowledge on the phenolic content.

4. Conclusions

In this study, the color coordinates of red table grape skins were related to their phenolic content and the antioxidant activity. High relation was observed between color parameters: namely, lightness, hue angle, and some phenolic compounds, such as quercetin, hesperidin, myricetin, rutin, resveratrol, and ACN. Moreover, a* color coordinates are highly related to the DPPH and TPC values. Thus, simple measurement of color parameters may be used as a fast and low-cost method of screening the quality parameters of grapes (antioxidant activity and phenolic content) which, would be useful for consumers and producers. Thus, the linear ordering method was applied to build comparative quality rankings based on phenolic compounds and color coordinates. This was done, for the first time, for table grapes. Significant Tau Kendall correlation coefficient (0.51), between the two rankings, showed that color coordinates, as simple measures, could be used to assess the quality of fruit and could replace time and cost-consuming analytical techniques of phenolic determination. This enables the promotion of the product (grapes) on the market, within the set of other grape varieties, since the aggregation measures (AM values) could be easily calculated from the L*, a*, and h color coordinates and compared to the ranking showed in this study.

Author Contributions

Conceptualization, M.M.-P.; methodology, M.M.-P. and A.W.; investigation, M.M.-P. and A.W.; formal analysis, M.M.-P.; data curation, M.M.-P. and A.W.; writing—original draft preparation, M.M.-P.; writing—review and editing, M.M.-P. and A.W.; visualization, M.M.-P.; supervision, M.M.-P. All authors have read and agreed to the published version of the manuscript.

Funding

This research received no external funding.

Institutional Review Board Statement

Not applicable.

Data Availability Statement

Not applicable.

Conflicts of Interest

The authors declare no conflict of interest.

References

  1. Seccia, A.; Viscecchia, R.; Nardone, G. Table grapes as functional food: Consumer preferences for health and environmental attributes. BIO Web Conf. 2019, 15, 03011. [Google Scholar] [CrossRef]
  2. FAOSTAT. Available online: https://www.fao.org/faostat/en/#data/QCL/visualize (accessed on 1 April 2022).
  3. Foreign Agricutural Service/USDA. Fresh Apples, Grapes, and Pears: World Markets and Trade; Foreign Agricutural Service/USDA: Washington, DC, USA, 2021.
  4. Turati, F.; Rossi, M.; Pelucchi, C.; Levi, F.; Vecchia, C. La Fruit and vegetables and cancer risk: A review of southern European studies. Br. J. Nutr. 2015, 113 (Suppl. S2), S102–S110. [Google Scholar] [CrossRef] [PubMed]
  5. Yilmaz, Y.; Göksel, Z.; Erdoğan, S.S.; Öztürk, A.; Atak, A.; Özer, C. Antioxidant Activity and Phenolic Content of Seed, Skin and Pulp Parts of 22 Grape (Vitis vinifera L.) Cultivars (4 Common and 18 Registered or Candidate for Registration). J. Food Process. Preserv. 2015, 39, 1682–1691. [Google Scholar] [CrossRef]
  6. Cantos, E.; Espín, J.C.; Tomás-Barberán, F.A. Varietal differences among the polyphenol profiles of seven table grape cultivars studied by LC-DAD-MS-MS. J. Agric. Food Chem. 2002, 50, 5691–5696. [Google Scholar] [CrossRef]
  7. Aubert, C.; Chalot, G. Chemical composition, bioactive compounds, and volatiles of six table grape varieties (Vitis vinifera L.). Food Chem. 2018, 240, 524–533. [Google Scholar] [CrossRef]
  8. Rodríguez Montealegre, R.; Romero Peces, R.; Chacón Vozmediano, J.L.; Martínez Gascueña, J.; García Romero, E. Phenolic compounds in skins and seeds of ten grape Vitis vinifera varieties grown in a warm climate. J. Food Compos. Anal. 2006, 19, 687–693. [Google Scholar] [CrossRef]
  9. Ben Aziz, M.; Garcia, F.; Mouls, L.; Fulcrand, H.; Hajjaj, H. Proanthocyanidins and anthocyanins contents, chromatic and antioxidant properties of red grape pomaces from morocco. J. Food Meas. Charact. 2019, 13, 2051–2061. [Google Scholar] [CrossRef]
  10. Cömert, E.D.; Mogol, B.A.; Gökmen, V. Relationship between color and antioxidant capacity of fruits and vegetables. Curr. Res. Food Sci. 2020, 2, 1–10. [Google Scholar] [CrossRef]
  11. Patras, A.; Brunton, N.P.; Downey, G.; Rawson, A.; Warriner, K.; Gernigon, G. Application of principal component and hierarchical cluster analysis to classify fruits and vegetables commonly consumed in Ireland based on in vitro antioxidant activity. J. Food Compos. Anal. 2011, 24, 250–256. [Google Scholar] [CrossRef]
  12. Sharma, S.; Katoch, V.; Kumar, S.; Chatterjee, S. Functional relationship of vegetable colors and bioactive compounds: Implications in human health. J. Nutr. Biochem. 2021, 92, 108615. [Google Scholar] [CrossRef]
  13. Singleton, V.L.; Rossi, J.A. Colorimetry of Total Phenolics with Phosphomolybdic-Phosphotungstic Acid Reagents. Am. J. Enol. Vitic. 1965, 16, 144–158. [Google Scholar]
  14. Giusti, M.M.; Wrolstad, R.E. Characterization and Measurement of Anthocyanins by UV-Visible Spectroscopy. Curr. Protoc. Food Anal. Chem. 2001, 00, F1.2.1–F1.2.13. [Google Scholar] [CrossRef]
  15. Sánchez-Moreno, C.; A Larrauri, J.; Saura-Calixto, F. A procedure to measure the antiradical efficienc y of polyphenols. J. Sci. Food Agric. 1998, 76, 270–276. [Google Scholar] [CrossRef]
  16. Walesiak, M. The choice of normalization method and rankings of the set of objects based on composite indicator values. Stat. Transit. 2018, 19, 693–710. [Google Scholar] [CrossRef]
  17. Lutz, M.; Jorquera, K.; Cancino, B.; Ruby, R.; Henriquez, C. Phenolics and Antioxidant Capacity of Table Grape (Vitis vinifera L.) Cultivars Grown in Chile. J. Food Sci. 2011, 76, C1088–C1093. [Google Scholar] [CrossRef] [PubMed]
  18. Ivanišová, E.; Terentjeva, M.; Kántor, A.; Frančáková, H.; Kačániová, M. Phytochemical and Antioxidant Profile of Different Varieties of Grape from the Small Carpathians Wine Region of Slovakia. Erwerbs-Obstbau 2019, 61, 53–59. [Google Scholar] [CrossRef]
  19. Samoticha, J.; Jara-Palacios, M.J.; Hernández-Hierro, J.M.; Heredia, F.J.; Wojdyło, A. Phenolic compounds and antioxidant activity of twelve grape cultivars measured by chemical and electrochemical methods. Eur. Food Res. Technol. 2018, 244, 1933–1943. [Google Scholar] [CrossRef]
  20. Izcara, S.; Morante-Zarcero, S.; de Andrés, M.T.; Arroyo, T.; Sierra, I. A comparative study of phenolic composition and antioxidant activity in commercial and experimental seedless table grapes cultivated in a Mediterranean climate. J. Food Meas. Charact. 2021, 15, 1916–1930. [Google Scholar] [CrossRef]
  21. Xia, L.; Xu, C.; Huang, K.; Lu, J.; Zhang, Y. Evaluation of phenolic compounds, antioxidant and antiproliferative activities of 31 grape cultivars with different genotypes. J. Food Biochem. 2019, 43, e12626. [Google Scholar] [CrossRef] [PubMed]
  22. Shen, Y.; Cheng, X.; Gu, H.; Zhou, G.; Xia, H.; Liang, D. Determination of antioxidant compounds and antioxidant activity of six table grapes with red skin. E3S Web Conf. 2020, 145, 01004. [Google Scholar] [CrossRef] [Green Version]
  23. Lotito, S.B.; Fraga, C.G. Catechins delay lipid oxidation and alpha-tocopherol and beta-carotene depletion following ascorbate depletion in human plasma. Proc. Soc. Exp. Biol. Med. 2000, 225, 32–38. [Google Scholar] [CrossRef] [PubMed]
  24. Li, F.; Li, F.; Yang, Y.; Yin, R.; Ming, J. Comparison of phenolic profiles and antioxidant activities in skins and pulps of eleven grape cultivars (Vitis vinifera L.). J. Integr. Agric. 2019, 18, 1148–1158. [Google Scholar] [CrossRef]
  25. Major, M.; Niezgoda, J.; Popek, S. The application of selected methods of linear ordering to build quality rankings of honey. Stud. Ekon./Uniw. Ekon. Katowicach 2014, 203, 125–133. [Google Scholar]
Publisher’s Note: MDPI stays neutral with regard to jurisdictional claims in published maps and institutional affiliations.

Article Metrics

Citations

Article Access Statistics

Multiple requests from the same IP address are counted as one view.