Abstract
In this article, activated carbon was produced from Lantana camara and olive trees by H3PO4 chemical activation. The prepared activated carbons were analyzed by characterizations such as scanning electron microscopy, energy-dispersive X-ray spectroscopy, Brunauer–Emmett–Teller, X-ray diffraction, thermogravimetric analysis, and Fourier transform infrared spectroscopy. H3PO4 is used as an activator agent to create an abundant pore structure. According to EDX analysis, the crystalline structure destroys and increases the carbon content of the olive tree and Lantana camara by 77.51 and 76.16%, respectively. SEM images reveal a porous structure formed as a result of H3PO4 activation. The Brunauer–Emmett–Teller (BET) surface area of the olive tree and Lantana camara activated carbon was 611.21 m2/g and 167.47 m2/g, respectively. The TGA analysis of both activated carbons shows their thermal degradation starts at 230 °C but fully degrades at temperatures above 450 °C. To quantify the potential environmental implications related to the production process of the activated carbon (AC) from olive trees, the life cycle assessment (LCA) environmental methodology was employed. For most of the tested indicators, chemical activation using H3PO4 showed the greatest ecological impacts: the ozone layer depletion potential (42.27%), the acidification potential (55.31%), human toxicity (57.00%), freshwater aquatic ecotoxicity (85.01%), terrestrial ecotoxicity (86.17%), and eutrophication (92.20%). The global warming potential (5.210 kg CO2 eq), which was evenly weighted between the phases, was shown to be one of the most significant impacts. The total energy demand of the olive tree’s AC producing process was 70.521 MJ per Kg.
1. Introduction
Activated carbon (AC) with a high surface area is widely used as an industrial adsorbent, removing odor, taste, and impurities from drinking water via the absorption from liquids or gases []. Due to their well-developed porosity and large surface area, activated carbons have been used for the separation of gases, the removal of organic pollutants from drinking water, the recovery of solvents, acting as a catalyst support, gas storage, super-capacitor electrodes, and so on []. Activated carbon produced from agricultural products has the economically low cost and environmental effect of converting low-value agricultural waste into useful adsorbents, as well as reducing the reliance on coal and petroleum coke products for activated carbon preparation. Different types of activated agents such as H3PO4, KOH, FeCl3, ZnCl2, HCL, H2SO4, and many more are used for the preparation of activated carbon []. However, H3PO4 is used mostly as an activated agent that changes the thermal degradation of biomass. The H3PO4 activator agent increases the number of defects that serve as anchoring sites for metal particles and also increases the surface area. H3PO4 acts as a catalyst, promoting the bond cleavage reaction and promoting the cross-linking through cyclization and condensation [].
Worldwide olive trees are a common agricultural crop. Spain has the most dedicated land to this crop at 2.6 Mha and produces over 72% of the world’s olives. Around 11 million olive trees are planted globally, yielding 3000 kg/ha of annual pruning residue production []. Lantana camara is a lignocellulosic substance composed of lignin, cellulose, and hemicellulose []. In the middle Himalayan forests, Lantana camara has a different vegetation composition []. Bicyclogermacrene (19.4%), isocaryophyllene (16.7%), valecene (12.9%), germacrene D (12.3%), and caryophyllene isomers were detected in Lantana camara’s essential oil composition []. Lantana camara has been described as one of the world’s ten worst weeds and has covered large areas in Africa, Australia, and India. There are over 650 species in more than 60 countries []. In India’s Vindhyan dry deciduous tropical forest, 37 species of Lantana are found, divided into three categories: low (0–30%), medium (30–60%), and high (61–100%) [].
The quality of any solid biomass is totally dependent on the chemical composition of the specific biomass. For this, various factors are considered in which proximate analysis (fixed carbon, volatile matters, and moisture content), ultimate analysis (C, H, O, S, and N), organic and inorganic ingredients, and many more are so important to identify the properties of the biomass []. In addition, the quality of the activated carbon also depends on the wood analytical approach in which biomass cellulose, hemicellulose, and lignin structure are important [].
Some of the most common biomass sources for activated carbon production are palm shells, almond shells, coconut shells, pomelo peels, carrot peels, pomegranate peels, date seeds, and many more. Among all these biomass sources, lantana camara and olive trees are the most abundant sources of biomass for the preparation of activated carbon []. Researchers suggested that activated carbon prepared from lantana camara has the ability to adsorb tartrazine, which is considered to be highly toxic for human health. Tartrazine acts as hyperactivity and causes thyroid cancer, asthma, and many other behavioral problems []. Therefore, in this article, olive trees and Lantana camara are used for the preparation of activated carbon. Table 1 shows the chemical composition of the biomass on a dry basis that is most often used to make activated carbon.

Table 1.
The chemical composition of the biomass sources on a dry basis.
AC produced from olive trees and Lantana camara is both cost-effective and environmentally friendly. However, environmental concerns must be taken into account while deciding on the best strategy to prevent worsening the problem rather than solving it. Life cycle assessment is a cradle-to-cradle or cradle-to-grave analysis approach to evaluate the associated environmental impacts with all products’ life stages, from raw material extraction to processing, production, usage, and disposal []. The inputs and outputs for each activity within a stage are computed and then agglomerated over the life cycle using energy and material balances drawn over the system boundary []. The associated environmental impact of a particular AC varies since activated carbon can be made from a variety of carbonaceous materials through chemical or physical activation or by both processes. Tagne, R.F.T et al. studied an LCA of an AC produced from cocoa pods in which they used KOH as an activation agent. It was reported that the main contributor to environmental impacts in the laboratory steps is electricity, with an average contribution of almost 70% []. K. Hjaila et al. also studied the AC production from olive-waste cake by using H3PO4 as an activation agent. It was reported that using H3PO4 as an impregnating agent has the highest environmental impacts of most of the tested indicators []. Similarly, Loya-González, D. et al. also investigated the AC production from corn pericarp by utilizing KOH as an activation agent. They found that the main contributor to the environmental impact of AC production is fossil depletion, which is related to the KOH production used as an activation agent [].
The primary objective of this study is (1) to estimate the possible ecological burdens of the olive tree-based AC production, (2) to examine the environmental impacts of the AC production by using H3PO4 activating agent, and (3) to analyze the ecological footprint of each process involved in the production of the AC from olive tree. To the best of our knowledge, no study on the life cycle assessment of olive trees and Lantana camara has been done. Therefore, this article could be beneficial for researchers and industrialists for the preparation of activated carbon from olive trees and Lantana camara.
2. Materials and Method
2.1. Preparation of Activated Carbon
The leftover leaves of “Lantana camara” and “Olive trees” (6 g) were collected. To eliminate dust from the leaves’ surfaces, they are rinsed three times with distilled water (500 mL). To eliminate moisture from the leaves, they were kept in the open air for 3 to 4 days in the presence of sunlight before being crushed. The dried leaves were crushed and sieved to a depth of 250 µm. After that, the fine biomass powder (4.345 g) was activated in a H3PO4 (wt 50%) solution. The H3PO4 solution’s initial concentration and density were 85% and 1.685 g/mL, respectively. For a (1:1) impregnation ratio (the impregnation ratio was determined as the ratio of the weight of H3PO4 to the weight of the dried biomass from olive trees and Lantana camara) the needed H3PO4 volumes per (4.345-g) dry raw material were 3.03 mL []. The phosphoric acid activating agent took 24 h to absorb. H3PO4 acts as an activator, causing the number of defects to rise []. The slurry-based material was calcined for 2 h at 550 °C in a box resistance furnace. The excess H3PO4 was rinsed out of the char with distilled water until it reached a neutral pH. After that, it was dried in a 105 °C oven for 1 h to get a 4-g activated carbon []. Figure 1 shows the steps involved in the preparation of activated carbon.

Figure 1.
Preparation steps of AC from “Lantana camara and Olive trees” by chemical activation.
2.2. Activated Carbon Characterization
The characteristics of prepared activated carbons were characterized using a variety of techniques. The X-ray diffraction technique was used to determine the crystal structure (XRD-D8 advanced by Bruker Germany, Bremen, Germany). The TGA study was revealed by using TGA 5500 TA Instruments, USA DTG-60 H. The surface functional groups of the produced AC are determined by using Cary 630 (Agilent Technologies, Santa Clara, CA, USA). The Brunauer–Emmett–Teller technique was used to examine the surface area (SBET) (Micromeritics Gemini VII2390t USA). With the use of a scanning electron microscope (JEOL JSM 6490A Japan) and energy dispersive X-ray analysis (Elemental Analyzer JSX 3202 M (JEOL, Japan), changes in surface morphology and the presence of elements (C, P, O, Fe, and K) were evaluated.
2.3. Life Cycle Assessment
The environmental impacts associated with the conversion of olive trees into AC are investigated by means of life cycle assessment to identify the critical stages and areas of improvement. The experimental data collected during the process were used to implement the ISO 14040 (2006) LCA approach. In this study, two types of materials are used for AC production: Lantana camara and olive trees, but only olive tree is considered for the LCA study as both the processes are relatively the same. An LCA is divided into four phases, each of which contributes to a comprehensive procedure: (1) goal and scope definition: this assists in defining the study’s purpose, indicating how the results will be used, and specifying the intended audience. The LCA functional unit and boundary are defined in the scope definition. (2) Life Cycle Inventory analysis (LCI): All of the input and output flows of energy and material within the LCA boundary are collected, quantified, and adapted based on the functional unit. (3) Life Cycle Impact Assessment (LCIA) aims to comprehend and evaluate the degree and relevance of a system’s possible environmental impact. It classifies and identifies the major impact categories into environmental impact indicators and (4) the interpretation, which assesses the study in order to make recommendations and draw conclusions. The environmental impact related to this study’s steps was assessed by utilizing open LCA 1.10.3 software. For background data, the ecoinvent database v2.2 was used. The CML 2 Baseline 2000 was used for the impact assessment method. Only the mandatory steps of the impact assessment stipulated by ISO 14040 rules, namely categorization and characterization, were carried out because they are more objective. Table 2 lists the LCA impact categories that were investigated in this study. The total energy demand, measured in primary energy, that results from the disposal, use, and production of an economic good is referred to as the cumulative energy demand [].

Table 2.
CML 2 baseline 2000 impact categories.
2.4. Goal and Functional Unit
The goal of this research is to determine the environmental impacts of the olive tree-based AC production process. Such data will be useful in identifying “environmental flaws” in the production process. This assists researchers in modifying and optimizing the process, as well as authorities, scientists, AC industries, and decision makers in deciding between several material/process alternatives. This study intends to examine the gate-to-gate life cycle impacts of AC derived from olive trees. Figure 1 shows all the steps involved in the production of AC systems. The functional unit (FU) chosen is the production of 1 g of AC from the initial 6 g of olive tree.
2.5. Life Cycle Inventory (LCI)
Using a laboratory-scale experimental approach, the imperative inventory elementary data were collected, computed, and analyzed. For each production phase, data on input and output was collected and evaluated. Missing secondary data were acquired from the ecoinvent database and literature to complete the life cycle inventories. All output water flows were anticipated to be released to a wastewater treatment plant via a single output pipe. Due to the high volume of water produced by the system, this step-up was used. The energy used was supplied from the South Korean grid in the form of electricity. The life cycle inventory data for the process are given in Table 3. The standard LCIA is performed, and the final impact is analyzed critically based on the inventory of the laboratory process.

Table 3.
Life cycle inventory of Lantana camara and olive tree conversion to AC.
3. Results and Discussions
3.1. Scanning Electron Microscopy
Figure 2a–c shows scanning electron microscopy (SEM) pictures of activated carbon prepared from olive tree, which illustrate that due to H3PO4 chemical activation, macropores are formed, which are responsible for the higher surface area. Figure 2d–f shows the scanning electron microscopy (SEM) pictures of activated carbon prepared from Lantana camara, which illustrate that on the external surface, crevices are formed.

Figure 2.
SEM micrographs of activated carbon olive trees (a–c) and Lantana camara (d–f).
3.2. Energy-Dispersive X-ray Analysis and Brunauer–Emmett–Teller Analysis
Based on a compositional study [], the high carbon content and low ash content of activated carbon are regarded as a superior quality for catalytic uses. An EDX dry-based analysis of both the prepared activated carbons shows the higher carbon content. However, activated carbons prepared from olive trees show the highest carbon content. The oxygen content is found to be 17.85% and 22.54% in the activated carbon of olive trees and lantana camara, respectively. A minor quantity of phosphorus was found in the prepared activated carbon samples because H3PO4 was utilized as an activating agent during the activated carbon preparation. As the minimum evaporation of phosphorus derivate into pentoxide gas from the box resistance furnace was achievable at 350 °C, the presence of phosphorus was nevertheless found. Table 4 shows the EDX elemental composition of the prepared activated carbon. The BET surface area of the prepared activated carbon is shown in Table 4.

Table 4.
EDX elemental composition and BET surface area of activated carbon.
The BET surface area of any prepared activated carbon depends on the calcination temperature, the activation agent, and the absorption ratio of the raw precursor. The carbonization temperature has a great impact on the pore development and the surface area []. The “Olive tree leaves” activated carbon has the highest surface area. The high surface area is formed due to the H3PO4 chemical activation.
3.3. X-ray Diffraction
Figure 3 shows an XRD pattern of activated carbon made from “Olive tree and Lantana camara” with a peak at an angle of 23° and 43°, indicating the presence of a carbonaceous structure []. The small number of stacked layers are present due to the phosphoric acid used as an activator agent. The sample’s elemental composition and preparation procedures influence the intensity of the X-ray diffraction line. In this article, the preparation procedures for both activated carbons are the same, but the existing chemical composition is different in each tree leaf. Therefore, the intensity peaks are slightly different in both activated carbons. The chemical activation of H3PO4 is performed in three steps: dehydration, degradation, and ultimately coagulation, which alters the aliphatic structure. Phosphoric acid (H3PO4) enhances the lignocellulose link cleavage, which causes the volatile substance to expand quickly. The phosphate bonds are formed by cross-linking phosphoric acid derivatives and the phosphoric acid itself with the organic species (Equations (1)–(3)). The gases are released from the structure at the end of the process to expand the pore structure of the activated carbon []. The following chemical processes (Equations (4)–(6)) were found to be the way that phosphoric acid forms pores with the raw precursor during the carbonization phase [].

Figure 3.
XRD analysis of activated carbon olive trees and Lantana camara.
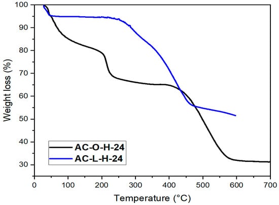
3.4. Thermogravimetric Analysis
Figure 4 shows the thermal stability of activated carbon at all ranges of temeperature. At a temperature range of 110–250 °C, the presence of free water molecules in the interlayer region was evaporated, resulting in the removal of physically adsorbed water from the produced samples. TGA analysis of activated carbon produced initially showed that phosphoric acid had been transformed into an anhydrous material. At 213 °C, the two-step process begins, phosphoric acid self-polymerizing into pyrophosphate. The dehydration process was completed at 200–300 °C, and the degradation and pyrolysis process as an oxidant with hemicellulose, cellulose, and lignin structure to produce the pore structure in the activated carbon was completed at 350–400 °C []. Finally, full thermal deterioration begins due to the coagulation process. In case of olive tree thermal degradation, more than 50% weight is lost at approximately 450 °C and almost fully degrades at 575 °C. In the case of Lantana camara activated carbon, thermal degradation starts at 270 °C and full degradation occurs at above 450 °C.

Figure 4.
TGA analysis of activated carbon prepared from olive trees and Lantana camara.
3.5. Fourier Transform Infrared (FT-IR) Spectroscopy
Figure 5 shows the surface functional groups of the produced AC as determined by FT-IR. FT-IR analysis reveals that oxidation forms and provides information on chemical bonding and breakdown. According to the FT-IR results of H3PO4-based AC, the bonds at wavenumbers of 1000–1100 cm−1 were attributed to C–O vibrations. The elemental analysis results correspond with the presence of oxygen and phosphorus functionalities (P–O–C) in the wavenumber range of 1000–1200 cm−1. The bond at 1565 cm−1 was also linked to C=C vibration [,].

Figure 5.
FT-IR analysis of activated carbon prepared from olive trees and Lantana camara.
3.6. Environmental Assessment Results
By analyzing the production of AC, only the steps of grinding and sieving, chemical activation, and drying of the AC final product are considered. The results, shown in Table 5, demonstrate that three processes were responsible for the majority of the impact: chemical activation of raw material by utilizing H3PO4, followed by drying the washed AC, and finally the grinding and sieving step. The respective impact contributions of the three key AC production phases selected in the categories evaluated are shown in Figure 6. In terms of most of the impacts considered in this study, the chemical activation step had the biggest ecological impact. The following is the ascending order of the impacts, the ozone layer depletion potential (42.27%), the acidification potential (55.31%), human toxicity (57.00%), freshwater aquatic ecotoxicity (85.01%), terrestrial ecotoxicity (86.17%), and eutrophication (92.20%). The usage of H3PO4 was the largest contributor, particularly for human toxicity and acidification potential impacts; phosphoric acid contributed 90% and 90%, respectively, to these impacts. The category of abiotic depletion involves three steps of grinding/sieving, chemical activation, and drying with percentages of 10.20%, 25.15%, and 25.32%, respectively.

Table 5.
Environmental impact of AC production process from olive tree.

Figure 6.
Environmental impact of AC production process from olive trees.
The global warming potential calculates how much each pollutant contributes to warming the atmosphere when compared to carbon dioxide (greenhouse effect) []. Regarding this impact, the results demonstrate that producing 1 g of AC from 6 g of olive tree emits 5.210 kg of CO2 eq. K. Hjaila et al. (2013) and Bayer et al. (2005) reported 11.096 and 11 kg of CO2 were emitted from the preparation of AC from olive-waste cake and hard coal [,]. The main cause of this effect was the use of electricity. This could be related to the fuel cycle emissions produced when natural gas is used to generate electricity. When natural gas is utilized to produce electricity, large volumes of methane are released, which contributes to global warming. Natural gas was used to produce the majority of the electricity in this study, which led to the production of this effect. To mitigate this impact, renewable energy should be employed.
The Cumulative Energy Demand (CED) is a part of the LCA. The CED enables energy criteria to be used to compare and evaluate products and services. The primary energy demand, which includes all energy carriers found in nature, will be computed for the investigated product for the entire lifetime. The CED is the total energy demand for an economic good’s production (CEDP), usage (CEDU), and disposal (CEDD). The CED in this study was found to be 70.521 MJ per kg. The contributions to this impact for grinding/sieving, chemical activation, and drying were 3.52, 43.2, and 21.6%, respectively. Electricity is widely employed as an energy source to power all of the equipment utilized in the production process.
4. Conclusions
The composition analysis of carbon content reveals that a higher carbon content is formed in both the prepared and activated carbon contents due to H3PO4 chemical reactions accomplished during the chemical activation process. H3PO4 is used to speed up the process of breaking down bonds and strengthening cross-linking during the condensation process of activated carbon preparation. The Brunauer–Emmett–Teller (BET) surface area of the olive tree- and Lantana camara activated carbon was 611.21 m2/g and 167.47 m2/g, respectively. The TGA analysis of both activated carbons shows their thermal degradation starts at 230 °C but fully degrades at temperatures above 450 °C. The production process of activated carbon from olive trees was examined using laboratory scale-data in order to estimate the associated environmental implications. One of the advantages of an LCA is that it can be used to develop a strategy for enhancing the AC production process while lowering the associated environmental impacts. The results demonstrated that chemical activation has the highest environmental impacts, followed by the drying and grinding/sieving steps. In terms of most of the impact categories addressed in this study, the chemical activation phase had the greatest environmental impact. The GWP was found to be 5.210 kg of CO2 eq. The overall CED (70.521 MJ per kg) is split evenly across the grinding/sieving, chemical activation, and drying of the washed AC steps. The use of energy and other chemicals in the production of AC has been found to be environmentally detrimental. However, this laboratory-scale production procedure of AC might be different from the full industrial-scale process. Therefore, the LCA results should be interpreted carefully. Moreover, certain system improvements, such as the H3PO4 recovery after AC washing, could result in extra savings. Further research is required to carry out the following tasks in order to reduce the environmental impact: first, the recovery of the generated phosphoric acid with the polluted water; and second, investigating the used olive tree AC regeneration after treatment for future life cycle assessment studies.
Author Contributions
Conceptualization, M.A., A.I. and H.H.S.; Formal analysis, M.A., H.H.S. and A.I.; Funding acquisition, A.I. and M.K.; Investigation, M.A. and A.I.; Methodology, M.A., Z.U.R.F., A.Z., M.K. and A.I.; Project administration, M.K.; Resources, M.A. and A.I.; Visualization, M.K. and A.I.; Writing—original draft, M.A. and A.I.; Writing—review & editing, H.H.S., Z.U.R.F., M.K. and A.Z. All authors have read and agreed to the published version of the manuscript.
Funding
This research was funded by the pro quality grant provided by Silesian University of Technology, Gliwice, Poland under NAWA agency No. PPI/STE/2020/1/00016/U/00001 of 4 January 2021. (Nawa Ster Program).
Institutional Review Board Statement
Not applicable.
Informed Consent Statement
Not applicable.
Data Availability Statement
Not applicable.
Acknowledgments
The authors would like to acknowledge the pro quality grant provided by Silesian University of Technology, Gliwice, Poland under NAWA agency No. PPI/STE/2020/1/00016/U/00001 of 4 January 2021. (Nawa Ster Program).
Conflicts of Interest
The authors declare no conflict of interest.
References
- Wang, X.; Cheng, H.; Ye, G.; Fan, J.; Yao, F.; Wang, Y.; Jiao, Y.; Zhu, W.; Huang, H.; Ye, D. Key Factors and Primary Modification Methods of Activated Carbon and Their Application in Adsorption of Carbon-Based Gases: A Review. Chemosphere 2022, 287, 131995. [Google Scholar] [CrossRef]
- Jjagwe, J.; Olupot, P.W.; Menya, E.; Kalibbala, H.M. Synthesis and Application of Granular Activated Carbon from Biomass Waste Materials for Water Treatment: A Review. J. Bioresour. Bioprod. 2021, 6, 292–322. [Google Scholar] [CrossRef]
- Togibasa, O.; Mumfaijah, M.; Allo, Y.K.; Dahlam, K.; Ansanay, Y.O. The Effect of Chemical Activatiog Agent on the Properties of Activated Carbon from Sago Waste. Appl. Sci. 2021, 11, 11640. [Google Scholar] [CrossRef]
- Hu, S.C.; Cheng, J.; Wang, W.P.; Sun, G.T.; Hu, L.L.; Zhu, M.Q.; Huang, X.H. Structural Changes and Electrochemical Properties of Lacquer Wood Activated Carbon Prepared by Phosphoric Acid-Chemical Activation for Supercapacitor Applications. Renew. Energy 2021, 177, 82–94. [Google Scholar] [CrossRef]
- Daiem, M.M.A.; Rashad, A.M.; Said, N.; Abdel-Gawwad, H.A. An Initial Study about the Effect of Activated Carbon Nano-Sheets from Residual Biomass of Olive Trees Pellets on the Properties of Alkali-Activated Slag Pastes. J. Build. Eng. 2021, 44, 102661. [Google Scholar] [CrossRef]
- dos Santos, R.G.; Alencar, A.C. Biomass-Derived Syngas Production via Gasification Process and Its Catalytic Conversion into Fuels by Fischer Tropsch Synthesis: A Review. Int. J. Hydrogen Energy 2020, 45, 18114–18132. [Google Scholar] [CrossRef]
- Kumar, M.; Verma, A.K.; Garkoti, S.C. Lantana camara and Ageratina Adenophora Invasion Alter the Understory Species Composition and Diversity of Chir Pine Forest in Central Himalaya, India. Acta Oecologica 2020, 109, 103642. [Google Scholar] [CrossRef]
- Sousa, E.O.; Colares, A.V.; Rodrigues, F.F.G.; Campos, A.R.; Lima, S.G.; Galberto Costa, J.M. Effect of Collection Time on Essential Oil Composition of Lantana camara Linn (Verbenaceae) Growing in Brazil Northeastern. Rec. Nat. Prod. 2010, 4, 31. [Google Scholar]
- Gautam, R.K.; Gautam, P.K.; Banerjee, S.; Rawat, V.; Soni, S.; Sharma, S.K.; Chattopadhyaya, M.C. Removal of Tartrazine by Activated Carbon Biosorbents of Lantana camara: Kinetics, Equilibrium Modeling and Spectroscopic Analysis. J. Environ. Chem. Eng. 2015, 3, 79–88. [Google Scholar] [CrossRef]
- Mishra, R.K.; Upadhyay, V.P.; Bal, S.; Mohapatra, P.K.; Mohanty, R.C. Phenology of Species of Moist Deciduous Forest Sites of Similipal Biosphere Reserve. J. Ecol. Appl. 2006, 11, 5–17. [Google Scholar]
- Vassilev, S.V.; Baxter, D.; Andersen, L.K.; Vassileva, C.G. An Overview of the Chemical Composition of Biomass. Fuel 2010, 89, 913–933. [Google Scholar] [CrossRef]
- Qian, X.; Xue, J.; Yang, Y.; Lee, S.W. Thermal Properties and Combustion-related Problems Prediction of Agricultural Crop Residues. Energies 2021, 14, 4619. [Google Scholar] [CrossRef]
- Olayiwola, A.; Alade, A.O.; Amuda, O.S. Production and characterization of activated carbon originated from lantana camara stem. J. Glob. Ecol. Environ. 2016, 4, 227–230. [Google Scholar]
- Kumar, R.; Chandrashekar, N.; Pandey, K.K. Fuel Properties and Combustion Characteristics of Lantana camara and Eupatorium Spp. Curr. Sci. 2009, 97, 930–935. [Google Scholar]
- The International organization for standardization ISO 14044 Environmental Management-Life Cycle Assessment-Requirements and Guidelines Management Environnemental-Analyse Du Cycle de Vie-Exigences et Lignes Directrices. Int. Organ. Stand. 2006, 2006, 7.
- Arena, U.; Mastellone, M.L.; Perugini, F. The Environmental Performance of Alternative Solid Waste Management Options: A Life Cycle Assessment Study. Chem. Eng. J. 2003, 96, 207–222. [Google Scholar] [CrossRef]
- Tiegam, R.F.T.; Tchuifon Tchuifon, D.R.; Santagata, R.; Kouteu Nanssou, P.A.; Anagho, S.G.; Ionel, I.; Ulgiati, S. Production of Activated Carbon from Cocoa Pods: Investigating Benefits and Environmental Impacts through Analytical Chemistry Techniques and Life Cycle Assessment. J. Clean. Prod. 2021, 288, 125464. [Google Scholar] [CrossRef]
- Hjaila, K.; Baccar, R.; Sarrà, M.; Gasol, C.M.; Blánquez, P. Environmental Impact Associated with Activated Carbon Preparation from Olive-Waste Cake via Life Cycle Assessment. J. Environ. Manag. 2013, 130, 242–247. [Google Scholar] [CrossRef]
- Loya-González, D.; Loredo-Cancino, M.; Soto-Regalado, E.; Rivas-García, P.; de Cerino-Córdova, F.J.; García-Reyes, R.B.; Bustos-Martínez, D.; Estrada-Baltazar, A. Optimal Activated Carbon Production from Corn Pericarp: A Life Cycle Assessment Approach. J. Clean. Prod. 2019, 219, 316–325. [Google Scholar] [CrossRef]
- Kumar, A.; Jena, H.M. Preparation and characterization of high surface area activated carbon from Fox nut (Euryale ferox) shell by chemical activation with H3PO4. Results Phys. 2016, 6, 651–658. [Google Scholar] [CrossRef] [Green Version]
- Xu, J.; Chen, L.; Qu, H.; Jiao, Y.; Xie, J.; Xing, G. Preparation and Characterization of Activated Carbon from Reedy Grass Leaves by Chemical Activation with H3PO. Appl. Surf. Sci. 2014, 320, 674–680. [Google Scholar] [CrossRef]
- Qin, C.; Chen, Y.; Gao, J.M. Manufacture and Characterization of Activated Carbon from Marigold Straw (Tagetes Erecta L) by H3PO4 Chemical Activation. Mater. Lett. 2014, 135, 123–126. [Google Scholar] [CrossRef]
- González-García, S.; Bacenetti, J.; Murphy, R.J.; Fiala, M. Present and Future Environmental Impact of Poplar Cultivation in the Po Valley (Italy) under Different Crop Management Systems. J. Clean. Prod. 2012, 26, 56–66. [Google Scholar] [CrossRef]
- Liu, Y.; Yao, X.; Wang, Z.; Li, H.; Shen, X.; Yao, Z.; Qian, F. Synthesis of Activated Carbon from Citric Acid Residue by Phosphoric Acid Activation for the Removal of Chemical Oxygen Demand from Sugar-Containing Wastewater. Environ. Eng. Sci. 2019, 36, 656–666. [Google Scholar] [CrossRef] [Green Version]
- Gao, Y.; Yue, Q.; Gao, B.; Li, A. Insight into Activated Carbon from Different Kinds of Chemical Activating Agents: A Review. Sci. Total Environ. 2020, 746, 141094. [Google Scholar] [CrossRef]
- Shi, Y.; Liu, G.; Wang, L.; Zhang, H. Activated Carbons Derived from Hydrothermal Impregnation of Sucrose with Phosphoric Acid: Remarkable Adsorbents for Sulfamethoxazole Removal. RSC Adv. 2019, 9, 17841–17851. [Google Scholar] [CrossRef] [Green Version]
- Lashof, D.A.; Ahuja, D.R. Relative Global Warming Potentials of Greenhouse Gas Emissions. Nature 1990, 344, 529–531. [Google Scholar] [CrossRef]
- Bayer, P.; Heuer, E.; Karl, U.; Finkel, M. Economical and Ecological Comparison of Granular Activated Carbon (GAC) Adsorber Refill Strategies. Water Res. 2005, 39, 1719–1728. [Google Scholar] [CrossRef]
Publisher’s Note: MDPI stays neutral with regard to jurisdictional claims in published maps and institutional affiliations. |
© 2022 by the authors. Licensee MDPI, Basel, Switzerland. This article is an open access article distributed under the terms and conditions of the Creative Commons Attribution (CC BY) license (https://creativecommons.org/licenses/by/4.0/).