Mission-Oriented Real-Time Health Assessments of Microsatellite Swarm Orbits
Abstract
:1. Introduction
2. Swarm Health State Model
2.1. Model of the Health State
2.2. Determination of Health Levels
3. Real-Time Health Assessment Algorithm
- All satellites are of the same type and model and are equivalent to nodes in a swarm system;
- The swarm contains N satellites and M communication links at t;
- The swarm has sensors that measure state quantities (three-axis positions, etc.), and they are capable of real-time error analysis against the desired values.
- The topology of the swarm is stable until the next change occurs after the topology of the swarm has been altered;
- The failure forms are transient failure and degradation failure.
3.1. Single Satellite Health Assessment Algorithm
3.2. Interplanetary Communication Link Health Assessment
3.3. Star Swarm Mission Effectiveness Assessment
3.4. Variational Power Synthesis Theory
3.5. Health Assessment Based on Nonlinear Weighting and Time-Series Dependence
4. Simulation and Analysis
4.1. Simulation Parameters
4.2. Simulation Results
4.2.1. Normal-to-Life Health Assessment Simulation
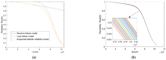
- According to Equations (8)–(10), the reliability curve of a single satellite is shown in Figure 4a;
- Combining Equations (3)–(7) and calculating the weights of each satellite, the reliability curves of all satellites of the swarm can be obtained, as shown in Figure 4b;
- Similarly, from Equations (12)–(16), we can find the weight values of each satellite and communication link in the swarm, and then obtain the reliability curves of all intersatellite communication links, as shown in Figure 5;
- Finally, the weight values and the reliability model parameters are substituted into Equation (25) to derive the health curves of the star swarm in Figure 6.
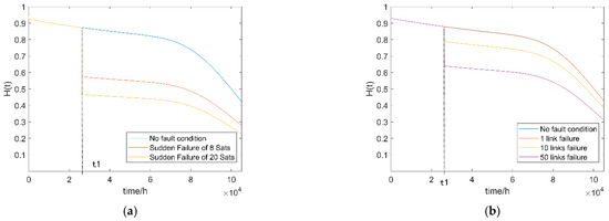
4.2.2. Simulating a Health Assessment in Case of Failure
- The center of the communication range of the initial distribution is the origin of the coordinate system.
- The small sphere and the square hexagonal prism represent the unstitched and the stitched satellites, respectively, and the large transparent sphere represents the star swarm.
- Red indicates malfunction, and yellow and green indicate subhealth and health status, respectively.
5. Conclusions
Author Contributions
Funding
Institutional Review Board Statement
Informed Consent Statement
Data Availability Statement
Conflicts of Interest
References
- Araguz, C.; Bou-Balust, E.; Alarcón, E. Applying autonomy to distributed satellite systems: Trends, challenges, and future prospects. Syst. Eng. 2018, 21, 401–416. [Google Scholar] [CrossRef]
- Yang, Z.; Wang, D.; Zhang, Y. Design of Optimal Routing for Cooperative Microsatellite Swarm Network. In Proceedings of the International Conference on Wireless and Satellite Systems, Nanjing, China, 17–18 September 2020; Springer: Cham, Switzerland, 2020. [Google Scholar]
- Le Moigne, J.; Adams, J.C.; Nag, S. A new taxonomy for distributed spacecraft missions. IEEE J. Sel. Top. Appl. Earth Obs. Remote Sens. 2020, 13, 872–883. [Google Scholar] [CrossRef]
- Del Portillo, I.; Cameron, B.G.; Crawley, E.F. A technical comparison of three low earth orbit satellite constellation systems to provide global broadband. Acta Astronaut. 2019, 159, 123–135. [Google Scholar] [CrossRef]
- Tang, X.; Yung, K.L.; Hu, B. Reliability and health management of spacecraft. In IoT and Spacecraft Informatics; Elsevier: Amsterdam, The Netherlands, 2022; pp. 307–335. [Google Scholar]
- Li, G.; Li, J.; Cao, Y.; Huang, H.; Li, X.; Wei, J.; Xia, K.; Dong, L. An Improved Fuzzy Synthetic Evaluation Method for Health State of Satellites’ Attitude Control System. In Proceedings of the 2019 IEEE 2nd International Conference on Automation, Electronics and Electrical Engineering (AUTEEE), Shenyang, China, 22–24 November 2019. [Google Scholar]
- Song, F.; Qin, S. On-orbit real-time health assessment of satellite attitude control system. J. Beijing Univ. Aeronaut. Astronaut. 2014, 40, 1581. [Google Scholar]
- Qi, H.; Jiang, B.; Lu, N.; Cheng, Y.; Xing, Y. The residual life prediction of the satellite attitude control system based on Petri net. In Proceedings of the 2014 Prognostics and System Health Management Conference (PHM-2014 Hunan), Zhangjiajie, China, 24–27 August 2014. [Google Scholar]
- Xiong, Y.; Jiang, Z.; Fang, H.; Fan, H. Research on Health Condition Assessment Method for Spacecraft Power Control System Based on SVM and Cloud Model. In Proceedings of the 2019 Prognostics and System Health Management Conference (PHM-Paris), Paris, France, 2–5 May 2019. [Google Scholar]
- Pilastre, B.; Silva, G.; Boussouf, L.; d’Escrivan, S.; Rodríguez, P.; Tourneret, J.Y. Anomaly detection in mixed time-series using a convolutional sparse representation with application to spacecraft health monitoring. In Proceedings of the ICASSP 2020-2020 IEEE International Conference on Acoustics, Speech and Signal Processing (ICASSP), Barcelona, Spain, 4–8 May 2020. [Google Scholar]
- Cheng, S.; Gao, Y.; Cao, J.; Guo, Y.; Du, Y.; Hu, S. Application of Neural Network in Performance Evaluation of Satellite Communication System: Review and Prospect. In Artificial Intelligence in China; Springer: Singapore, 2020; pp. 239–244. [Google Scholar]
- Olivieri, L.; Francesconi, A. Large constellations assessment and optimization in LEO space debris environment. Adv. Space Res. 2020, 65, 351–363. [Google Scholar] [CrossRef]
- Su, B.; Xie, N. Research on safety evaluation of civil aircraft based on the grey clustering model. Grey Syst. Theory Appl. 2018, 8, 110–120. [Google Scholar] [CrossRef]
- Bollobás, B.; Bollobas, B. Modern Graph Theory; Springer Science & Business Media: Berlin/Heidelberg, Germany, 1998; Volume 184. [Google Scholar]
- Gertsbakh, B.; Shpungin, Y. Models of Network Reliability: Analysis, Combinatorics, and Monte Carlo; CRC press: Boca Raton, FL, USA, 2016. [Google Scholar]
- Mo, H.; Deng, Y. Identifying node importance based on evidence theory in complex networks. Phys. A Stat. Mech. Its Appl. 2019, 529, 121538. [Google Scholar] [CrossRef]
- Saleh, J.H.; Castet, J.F. Spacecraft Reliability and Multi-State Failures: A Statistical Approach; John Wiley & Sons: Hoboken, NJ, USA, 2011. [Google Scholar]
- Estrada, E.; Hatano, N.; Benzi, M. The physics of communicability in complex networks. Phys. Rep. 2012, 514, 89–119. [Google Scholar] [CrossRef] [Green Version]
- Qiyue, C. Structure entropy weight method to confirm the weight of evaluating index. Syst. Eng. Theory Pract. 2010, 30, 1225–1228. [Google Scholar]
- Yu, G.-F.; Fei, W.; Li, D.-F. A compromise-typed variable weight decision method for hybrid multiattribute decision making. IEEE Trans. Fuzzy Syst. 2018, 27, 861–872. [Google Scholar] [CrossRef]
- Modarres, M.; Kaminskiy, M.P.; Krivtsov, V. Reliability Engineering and Risk Analysis: A Practical Guide; CRC Press: Boca Raton, FL, USA, 2009. [Google Scholar]










| Health Status Level | Healthiness Interval | Description |
|---|---|---|
| Health (H) | [0.8000, 1.0000] | The healthiness of the evaluation object is in the safe range, i.e., the single satellite can operate normally and stably/the intersatellite communication is smooth/the swarm function is normal, and it is in a stable state, and the probability of failure is small. |
| Sub-Health (SH) | [0.4500, 0.7999] | The health of the evaluated object reaches the boundary of the safety range, and the performance has a tendency to degrade, but it does not considerably affect the overall mission or function with a higher probability of failure. |
| Fault (F) | [0.0000, 0.4499] | The health of the evaluation object is considerably below the safety range with abnormal function and in-orbit mission incompletion, and failure occurs. |
| Parameter | Value |
|---|---|
| Satellite lifetime | 12 × 8.76 × 103 h |
| End of lifetime | 10 × 8.76 × 103 h |
| Number of satellites (N) | 62 |
| Several InterSat Comm. Links (M) | 175 |
| Scale parameter (β) | 1.46 |
| Shape parameter (η) | 2.96742 × 105 |
| Communication range (R) | 400 m |
| Parameter | Value |
|---|---|
| X-axis position error | 0.12420713 |
| Y-axis position error | 0.090394914 |
| Z-axis position error | 0.25590956 |
| X-axis attitude error | 0.19691368 |
| Y-axis attitude error | 0.099702608 |
| Z-axis attitude error | 0.09746243 |
| Energy consumption error | 0.135409679 |
Publisher’s Note: MDPI stays neutral with regard to jurisdictional claims in published maps and institutional affiliations. |
© 2022 by the authors. Licensee MDPI, Basel, Switzerland. This article is an open access article distributed under the terms and conditions of the Creative Commons Attribution (CC BY) license (https://creativecommons.org/licenses/by/4.0/).
Share and Cite
Kang, G.; Yuan, X.; Wu, J.; Yang, Z. Mission-Oriented Real-Time Health Assessments of Microsatellite Swarm Orbits. Appl. Sci. 2022, 12, 5605. https://doi.org/10.3390/app12115605
Kang G, Yuan X, Wu J, Yang Z. Mission-Oriented Real-Time Health Assessments of Microsatellite Swarm Orbits. Applied Sciences. 2022; 12(11):5605. https://doi.org/10.3390/app12115605
Chicago/Turabian StyleKang, Guohua, Xinyu Yuan, Junfeng Wu, and Zhenghao Yang. 2022. "Mission-Oriented Real-Time Health Assessments of Microsatellite Swarm Orbits" Applied Sciences 12, no. 11: 5605. https://doi.org/10.3390/app12115605
APA StyleKang, G., Yuan, X., Wu, J., & Yang, Z. (2022). Mission-Oriented Real-Time Health Assessments of Microsatellite Swarm Orbits. Applied Sciences, 12(11), 5605. https://doi.org/10.3390/app12115605

