A Novel Speckle-Tracking Echocardiography Derived Parameter That Predicts Clinical Worsening in Children with Pulmonary Arterial Hypertension
Abstract
1. Introduction
2. Materials and Methods
2.1. Study Population
2.2. Standard Echocardiographic Examination
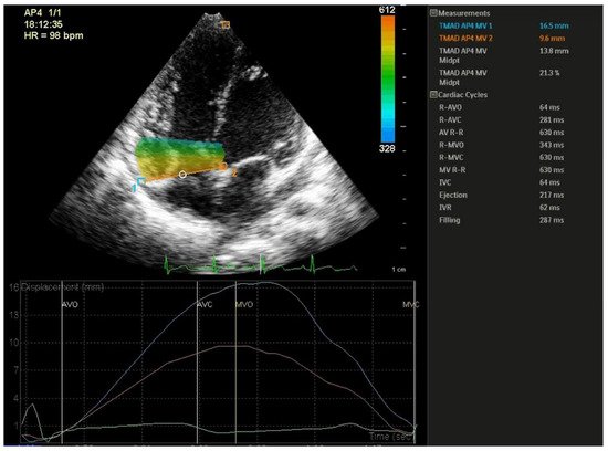
2.3. TMAD Data Acquisition and Analysis
2.4. Statistical Analysis
3. Results
3.1. General Information
3.2. Conventional Echocardiographic Parameters
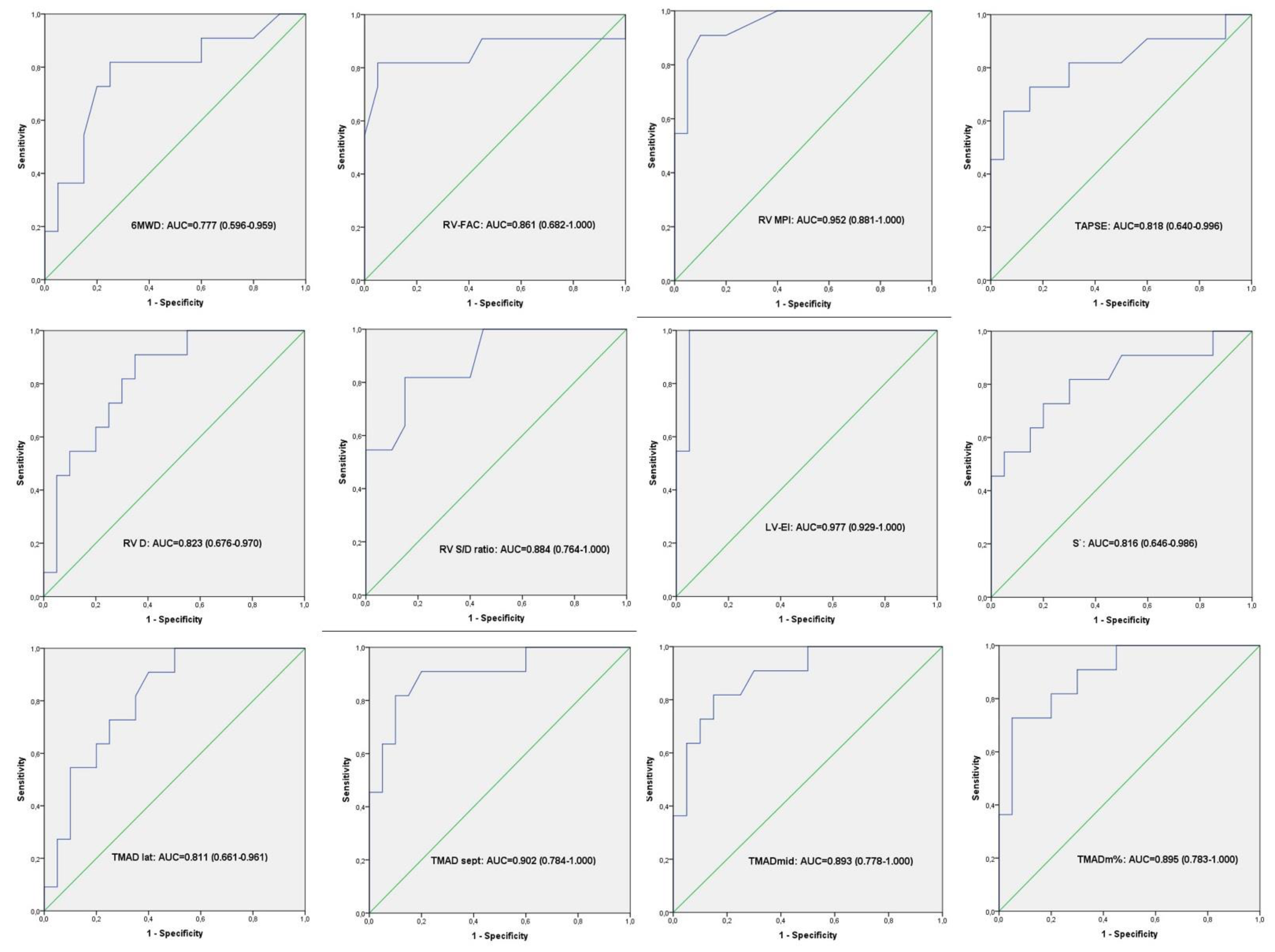
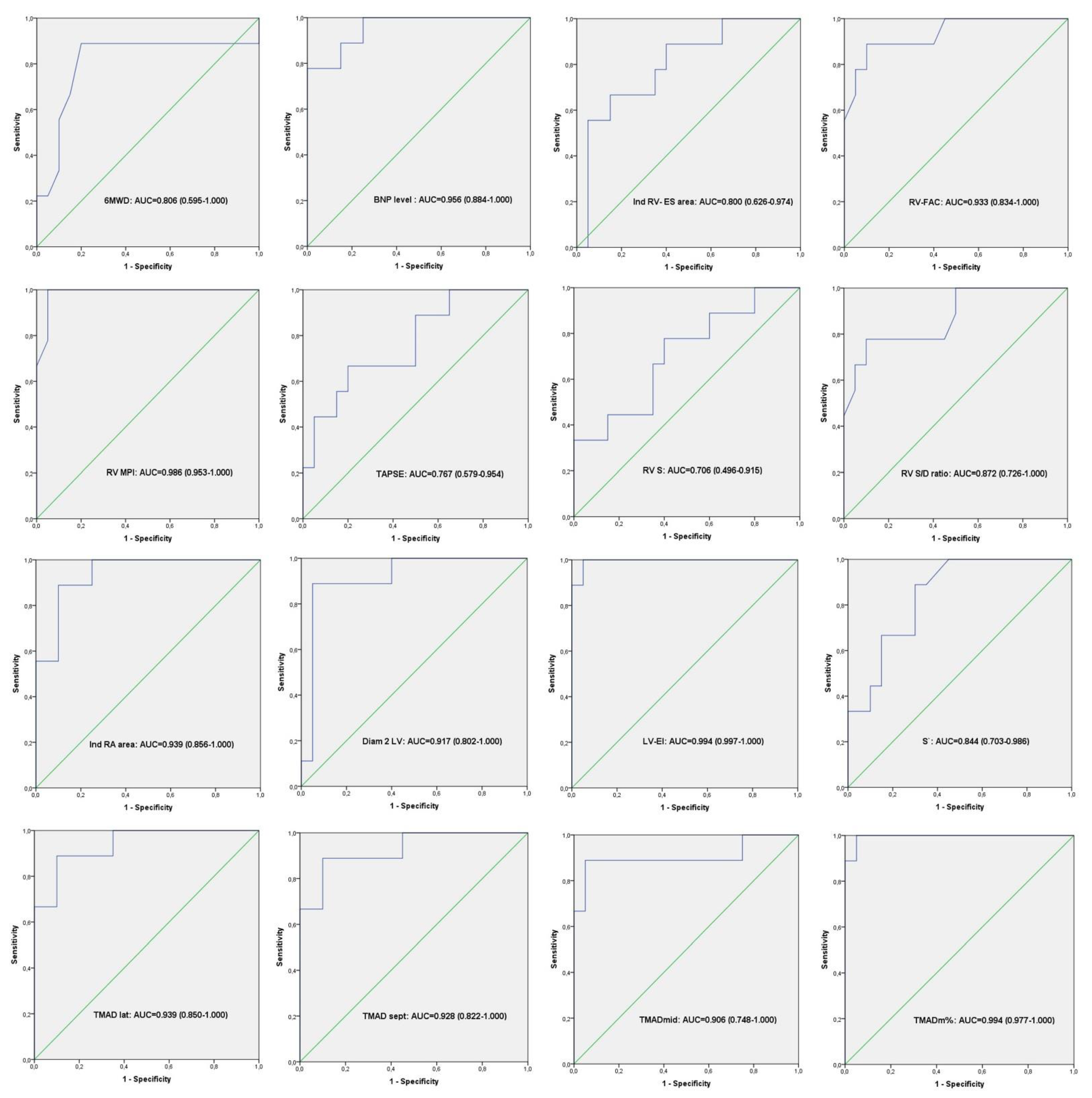
3.3. TMAD Analysis
4. Discussion. This Study Emphasizes the Prognostic Value of TMAD of the Tricuspid Valve in PAH Children
4.1. Parameters for Assessing RV Function
4.2. RV Longitudinal Function and TMAD of the Tricuspid Valve
4.3. Prognostic Value of TMAD in PAH Children
5. Conclusions
6. Study Limitations
Author Contributions
Funding
Institutional Review Board Statement
Informed Consent Statement
Data Availability Statement
Conflicts of Interest
References
- Simonneau, G.; Montani, D.; Celermajer, D.S.; Denton, C.P.; Gatzoulis, M.A.; Krowka, M.; Williams, P.G.; Souza, R. Haemodynamic definitions and updated clinical classification of pulmonary hypertension. Eur. Respir. J. 2019, 53, 1801913. [Google Scholar] [CrossRef] [PubMed]
- Koestenberger, M.; Apitz, C.; Abdul-Khaliq, H.; Hansmann, G. Transthoracic echocardiography for the evaluation of children and adolescents with suspected or confirmed pulmonary hypertension. Expert consensus statement on the diagnosis and treatment of paediatric pulmonary hypertension. The European Paediatric Pulmonary Vascular Disease Network, endorsed by ISHLT and DGPK. Heart 2016, 102 (Suppl. 2), ii14–ii22. [Google Scholar] [PubMed]
- Hansmann, G.; Koestenberger, M.; Alastalo, T.P.; Apitz, C.; Austin, E.D.; Bonnet, D.; Budts, W.; D’Alto, M.; Gatzoulis, M.A.; Hasan, B.S.; et al. 2019 updated consensus statement on the diagnosis and treatment of pediatric pulmonary hypertension: The European Pediatric Pulmonary Vascular Disease Network (EPPVDN), endorsed by AEPC, ESPR and ISHLT. J. Heart Lung Transplant. 2019, 38, 879–901. [Google Scholar] [CrossRef] [PubMed]
- Rosenzweig, E.B.; Abman, S.H.; Adatia, I.; Beghetti, M.; Bonnet, D.; Haworth, S.; Ivy, D.D.; Berger, R.M. Paediatric pulmonary arterial hypertension: Updates on definition, classification, diagnostics and management. Eur. Respir. J. 2019, 53, 1801916. [Google Scholar] [CrossRef] [PubMed]
- Asada, D.; Okumura, K.; Ikeda, K.; Itoi, T. Tissue motion annular displacement of the mitral valve can be a useful index for the evaluation of left ventricular systolic function by echocardiography in normal children. Pediatr. Cardiol. 2018, 39, 976–982. [Google Scholar] [CrossRef] [PubMed]
- Black, D.E.; Bryant, J.; Peebles, C.; Godfrey, K.M.; Hanson, M.; Vettukattil, J.J. Tissue motion annular displacement of the mitral valve using two-dimensional speckle tracking echocardiography predicts the left ventricular ejection fraction in normal children. Cardiol. Young 2014, 24, 640–648. [Google Scholar] [CrossRef][Green Version]
- Liu, L.; Tuo, S.; Zhang, J.; Zuo, L.; Liu, F.; Hao, L.; Sun, Y.; Yang, L.; Shao, H.; Qi, W.; et al. Reduction of left ventricular longitudinal global and segmental systolic functions in patients with hypertrophic cardiomyopathy: Study of two-dimensional tissue motion annular displacement. Exp. Ther. Med. 2014, 7, 1457–1464. [Google Scholar] [CrossRef]
- Liu, S.; Ren, W.; Zhang, J.; Ma, C.; Yang, J.; Zhang, Y.; Guan, Z. Incremental value of the tissue motion of annular displacement derived from speckle-tracking echocardiographu for differentiating chronic constrictive pericarditis from restrictive cardiomyoptahy. J. Ultrasound Med. 2018, 37, 2637–2645. [Google Scholar] [CrossRef]
- Alonso, P.; Andres, A.; Miro, V.; Igual, B.; Sánchez, I.; Salvador, A. Diagnostic power of echocardiographic speckle tracking of the tricuspid annular motion to assess right ventricular dysfunction. Int. J. Cardiol. 2014, 172, e218–e219. [Google Scholar] [CrossRef]
- Ahmad, H.; Mor-Avi, V.; Lang, R.M.; Nesser, H.J.; Weinert, L.; Tsang, W.; Steringer-Mascherbauer, R.; Niel, J.; Salgo, I.S.; Sugeng, L. Assessment of right ventricular function using echocardiographic speckle tracking of the tricuspid annular motion: Comparison with cardiac magnetic resonance. Echocardiography 2012, 29, 19–24. [Google Scholar] [CrossRef]
- Yang, H.S.; Kim, T.Y. Intraoperative transesophageal echocardiography in tricuspid valve surgery. Clin. Ultrasound 2019, 4, 67–77. [Google Scholar] [CrossRef]
- Muntean, I.; Benedek, T.; Melinte, M.; Suteu, C.; Toganel, R. Deformation pattern and predictive value of right ventricular longitudinal strain in children with pulmonary arterial hypertension. Cardiovasc. Ultrasound 2016, 14, 27. [Google Scholar] [CrossRef] [PubMed][Green Version]
- Lopez, L.; Colan, S.D.; Frommelt, P.C.; Ensing, G.J.; Kendall, K.; Younoszai, A.K.; Lai, W.W.; Geva, T. Recommendations for Quantification Methods During the Performance of a Pediatric Echocardiogram: A Report from the Pediatric Measurements Writing Group of the American Society of Echocardiography Pediatric and Congenital Heart Disease Council. J. Am. Soc. Echocardiogr. 2010, 23, 465–495. [Google Scholar] [CrossRef] [PubMed]
- Rudski, L.G.; Lai, W.W.; Afilalo, J.; Hua, L.; Handschumacher, M.D.; Chandrasekaran, K.; Solomon, S.D.; Louie, E.K.; Schiller, N.B. Guidelines for the echocardiographic assessment of the right heart in adults: A report from the American Society of Echocardiography endorsed by the European Association of Echocardiography, a registered branch of the European Society of Cardiology, and the Canadian Society of Echocardiography. J. Am. Soc. Echocardiogr. 2010, 23, 685–713. [Google Scholar] [PubMed]
- Geyer, H.; Caracciolo, G.; Abe, H.; Wilansky, S.; Carerj, S.; Gentile, F.; Nesser, H.J.; Khandheria, B.; Narula, J.; Sengupta, P.P. Assessment of myocardial mechanics using speckle tracking echocardiography: Fundamentals and clinical applications. J. Am. Soc. Echocardiogr. 2010, 23, 351–369. [Google Scholar] [CrossRef]
- Condon, D.F.; Nickel, N.P.; Anderson, R.; Mirza, S.; de Jesus Perez, V.A. The 6th World Symposium on Pulmonary Hypertension: What’s old is new. F1000Research 2019, 8, 888. [Google Scholar] [CrossRef]
- Ho, S.H.; Nihoyannopoulos, P. Anatomy, echocardiography and normal right ventricular dimensions. Heart 2006, 92 (Suppl. 1), i2–i13. [Google Scholar] [CrossRef]
- Carlsson, M.; Ugander, M.; Heiberg, E.; Arheden, H. The quantitative relationship between longitudinal and radial function in left, right, and total heart pumping in humans. Am. J. Physiol. Heart Circ. Physiol. 2007, 293, H636–H644. [Google Scholar] [CrossRef]
- Rushmer, R.F.; Crystal, D.K.; Wagner, C. The functional anatomy of ventricular contraction. Circ. Res. 1953, 1, 162–170. [Google Scholar] [CrossRef]
- Li, Y.; Wang, Y.; Yang, Y.; Liu, M.; Meng, X.; Shi, Y.; Zhu, W.; Lu, X. Tricuspid annular displacement measured by 2-dimensional speckle tracking echocardiography for predicting right ventricular function in pulmonary hypertension. Medicine 2018, 97, e11710. [Google Scholar] [CrossRef]
- Li, Y.D.; Wang, Y.D.; Zhai, Z.G.; Guo, X.J.; Wu, Y.F.; Yang, Y.H.; Lu, X.Z. Relationship between echocardiographic and cardiac magnetic resonance imaging-derived measures of right ventricular function in patients with chronic thromboembolic pulmonary hypertension. Thromb. Res. 2015, 135, 602–606. [Google Scholar] [CrossRef] [PubMed]
- Maniwa, N.; Hozumi, T.; Takemoto, K.; Wada, T.; Kashiwagi, M.; Shimamura, K.; Shiono, Y.; Kuroi, A.; Matsuo, Y.; Ino, Y.; et al. Value of tissue-tracking tricuspid annular plane by speckle-tracking echiocardiography for the assessment of right ventricular systolic dysfunction. Echocardiography 2018, 36, 110–118. [Google Scholar] [CrossRef] [PubMed]
- Penk, J.S.; Zaidi, S.J.H.; Lefaiver, C.A.; Muangmingsuk, S.; Cui, V.W.; Roberson, D.A. Tissue motion annulat displacement predicts mortality/transplant after the bidirectional Glenn. World J. Pediatr. Congenit. Heart Surg. 2018, 9, 171–176. [Google Scholar] [CrossRef] [PubMed]
- Beyls, C.; Bohbot, Y.; Huette, P.; Booz, T.; Daumin, C.; Abou-Arab, O.; Mahjoub, Y. Usefulness of Right Ventricular Longitudinal Shortening Fraction to Detect Right Ventricular Dysfunction in Acute Cor Pulmonale Related to COVID-19. J. Cardiothorac. Vasc. Anesth. 2021, 35, 3594–3603. [Google Scholar] [CrossRef] [PubMed]







| Variable | Control (n = 20) | Non-Worsening PAH Children (n = 11) | Worsening PAH Children (n = 9) | p1 (nw vs. c) | p2 (w vs. c) | p3 (w vs. nw) |
|---|---|---|---|---|---|---|
| Age (y) | 10.72 ± 3.65 | 10.59 ± 3.33 | 10.15 ± 3.80 | 1.000 | 1.000 | 1.000 |
| Male (%) | 9 (45%) | 3 (27.27%) | 4 (44.44%) | 0.451 | 1.000 | 0.642 |
| H (m) | 1.45 ± 0.20 | 1.32 ± 0.15 | 1.31 ± 0.23 | 0.239 | 0.267 | 1.000 |
| W (kg) | 40.60 ± 18.67 | 26.95 ± 8.45 | 29.21 ± 10.82 | 0.060 | 0.197 | 1.000 |
| BSA (m2) | 1.26 ± 0.37 | 0.98 ± 0.20 | 1.02 ± 0.28 | 0.077 | 0.228 | 1.000 |
| BMI (m/kg2) | 17.95 ± 3.53 | 15.00 ± 2.33 | 16.16 ± 2.04 | 0.035 | 0.422 | 1.000 |
| 6MWD (m) | 473.05 ± 46.51 | 419.18 ± 54.50 | 406 ± 69.50 | 0.036 | 0.012 | 1.000 |
| WHO Functional class 1/2/3/4—at baseline | NA | 0/8/3/0 2.00 (2.00, 3.00) | 1/4/3/1 2.44 ± 0.88 | NA | NA | 0.656 |
| WHO Functional class 1/2/3/4—after 1 year | NA | 0/10/1/0 2.00 (2.00, 2.00) | 0/1/4/4 3.33 ± 0.70 | NA | NA | 0.001 |
| BNP level (pg/mL) | 9.00 (9.00, 15.60) | 17.90 (10.60, 56.40) | 53.38 ± 27.14 | 0.243 | 0.0001 | 0.018 |
| Variable | Control (n = 18) | Non-Worsening PAH Children (n = 10) | Worsening PAH Children (n = 7) | p1 (nw vs. c) | p2 (w vs. c) | p3 (w vs. nw) |
|---|---|---|---|---|---|---|
| TR (mmHg) | NA | 89.54 ± 32.05 | 95.44 ± 12.73 | NA | NA | 0.585 |
| PAPm (mmHg) | NA | 61.900 ± 20.19 | 57.00 (51.00, 59.00) | NA | NA | 0.766 |
| Indexed RV-ED area (cm2) | 13.31 ± 5.03 | 14.62 ± 3.88 | 17.55 ± 6.30 | 1.000 | 0.133 | 0.623 |
| Indexed RV-ES area (cm2) | 6.61 (5.54, 8.58) | 9.98 ± 3.99 | 11.78 ± 4.68 | 0.214 | 0.017 | 0.882 |
| RV-FAC | 0.45 ± 0.05 | 0.33 ± 0.13 | 0.33 ±0.06 | 0.002 | 0.007 | 1.000 |
| RV MPI | 0.12 ± 0.07 | 0.37 ± 0.18 | 0.33 (0.28, 0.70) | 0.0001 | 0.0001 | 0.492 |
| TAPSE (cm) | 2.16 ± 0.46 | 1.62 ± 0.47 | 1.62 ± 0.53 | 0.015 | 0.023 | 1.000 |
| RV S (ms) | 355.63 ± 33.76 | 377.27 ± 33.23 | 397.22 ± 55.72 | 0.457 | 0.037 | 0.803 |
| RV D (ms) | 397.12 ± 97.63 | 283.35 ± 69.74 | 260.00 (250.58, 347.20) | 0.007 | 0.056 | 1.000 |
| RV S/D ratio | 0.85 (0.77, 1.12) | 1.39 ± 0.31 | 1.38 ± 0.33 | 0.0001 | 0.001 | 1.000 |
| Indexed RA area (cm2) | 8.38 ± 1.35 | 10.67 (9.60, 13.79) | 11.38 (10.20, 16.27) | 0.945 | 0.018 | 0.268 |
| Diam 1 LV (cm) | 3.94 ± 0.65 | 4.24 ± 0.63 | 4.05 ± 0.46 | 0.602 | 1.000 | 1.000 |
| Diam 2 LV (cm) | 3.91 ± 0.55 | 3.12 ± 0.40 | 2.90 ± 0.59 | 0.001 | 0.0001 | 1.000 |
| LV-EI | 1.00 ± 0.07 | 1.26 (1.19, 1.63) | 1.44 ± 0.29 | 0.0001 | 0.0001 | 1.000 |
| S’ (cm/s) | 13.43 ± 1.60 | 10.92 ± 2.07 | 10.44 ± 2.68 | 0.006 | 0.002 | 1.000 |
| TMAD lat (mm) | 19.08 ± 3.88 | 14.90 ± 2.37 | 11.64 ± 2.84 | 0.006 | 0.0001 | 0.106 |
| TMAD sept (mm) | 12.29 ± 2.25 | 8.51 ± 1.82 | 7.63 ± 2.09 | 0.0001 | 0.0001 | 1.000 |
| TMADmid (mm) | 16.38 ± 2.96 | 12.15 ± 2.13 | 10.44 ± 3.59 | 0.001 | 0.0001 | 0.603 |
| TMADm% | 23.70 ± 3.62 | 18.13 ± 2.87 | 13.51 ± 2.84 | 0.0001 | 0.0001 | 0.010 |
Publisher’s Note: MDPI stays neutral with regard to jurisdictional claims in published maps and institutional affiliations. |
© 2022 by the authors. Licensee MDPI, Basel, Switzerland. This article is an open access article distributed under the terms and conditions of the Creative Commons Attribution (CC BY) license (https://creativecommons.org/licenses/by/4.0/).
Share and Cite
Muntean, I.; Melinte, M.; Făgărășan, A.; Șuteu, C.C.; Togănel, R. A Novel Speckle-Tracking Echocardiography Derived Parameter That Predicts Clinical Worsening in Children with Pulmonary Arterial Hypertension. Appl. Sci. 2022, 12, 5494. https://doi.org/10.3390/app12115494
Muntean I, Melinte M, Făgărășan A, Șuteu CC, Togănel R. A Novel Speckle-Tracking Echocardiography Derived Parameter That Predicts Clinical Worsening in Children with Pulmonary Arterial Hypertension. Applied Sciences. 2022; 12(11):5494. https://doi.org/10.3390/app12115494
Chicago/Turabian StyleMuntean, Iolanda, Mihaela Melinte, Amalia Făgărășan, Carmen Corina Șuteu, and Rodica Togănel. 2022. "A Novel Speckle-Tracking Echocardiography Derived Parameter That Predicts Clinical Worsening in Children with Pulmonary Arterial Hypertension" Applied Sciences 12, no. 11: 5494. https://doi.org/10.3390/app12115494
APA StyleMuntean, I., Melinte, M., Făgărășan, A., Șuteu, C. C., & Togănel, R. (2022). A Novel Speckle-Tracking Echocardiography Derived Parameter That Predicts Clinical Worsening in Children with Pulmonary Arterial Hypertension. Applied Sciences, 12(11), 5494. https://doi.org/10.3390/app12115494

