Numerical and Experimental Validation of a Supersonic Mixing Layer Facility
Abstract
:1. Introduction
2. Nozzle Design and Numerical Verification
3. Geometry and Operation of the Wind Tunnel
3.1. Geometry of the Wind Tunnel
3.2. Operation of the Wind Tunnel
4. Full-Flow Field Simulation
4.1. Flow Structures
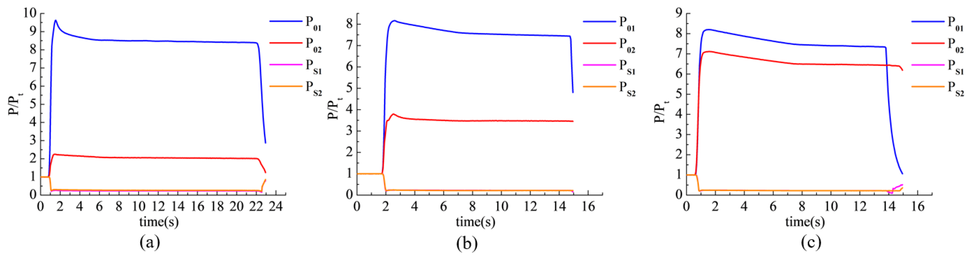
4.2. Pressure Distribution
4.3. Velocity Profiles
5. Optical Diagnosis of the Flow
6. Conclusions
Author Contributions
Funding
Institutional Review Board Statement
Informed Consent Statement
Data Availability Statement
Conflicts of Interest
References
- Feng, J. Study on Growth Characteristics and Mixing Enhancement Mechanisms of Supersonic Mixing Layers. Ph.D. Thesis, National University of Defense Technology, Changsha, China, 2016. (In Chinese). [Google Scholar]
- Papamoschou, D.; Roshko, A. The compressible turbulent shear layer: An experimental study. J. Fluid Mech. 1988, 197, 453–477. [Google Scholar] [CrossRef] [Green Version]
- Bogdanoff, D.W. Compressibility Effects in Turbulent Shear Layers. AIAA J. 1982, 21, 926–927. [Google Scholar] [CrossRef]
- Goebel, S.G.; Dutton, J.C. Experimental study of compressible turbulent mixing layers. AIAA J. 1991, 29, 538–546. [Google Scholar] [CrossRef]
- Mungal, M.G.; Clemens, N.T. Two- and Three-Dimensional Effects in the Supersonic Mixing Layer. AIAA J. 1992, 30, 1073–1075. [Google Scholar]
- Clemens, N.T.; Mungal, M.G. Large-scale Structure and Entrainment in the Supersonic Mixing Layer. J. Fluid Mech. 1995, 284, 171–216. [Google Scholar] [CrossRef]
- Kim, K.U.; Elliott, G.S.; Dutton, J.C. Three-Dimensional Experimental Study of Compressibility Effects on Turbulent Free Shear Layers. AIAA J. 2020, 58, 133–147. [Google Scholar] [CrossRef]
- Dutton, J.C.; Elliott, G.S.; Kim, K.U. Compressible mixing layer experiments for CFD validation. In Proceedings of the AIAA Aviation 2019 Forum, Dallas, TX, USA, 17–21 June 2019. [Google Scholar]
- Barre, S.; Bonnet, J.P. Detailed experimental study of a highly compressible supersonic turbulent plane mixing layer and comparison with most recent DNS results: Towards an accurate description of compressibility effects in supersonic free shear flows. Int. J. Heat Fluid Flow. 2015, 51, 324–334. [Google Scholar] [CrossRef]
- Lee, G.S.; Kim, K.U.; Johnson, B.E.; Elliott, G.S.; Dutton, J.C. A compressible mixing layer facility for CFD validation measurements. In Proceedings of the 32nd AIAA Aerodynamic Measurement Technology and Ground Testing Conference, Washington, DC, USA, 13–17 June 2016. [Google Scholar]
- Zhao, Y.X.; Tian, L.F.; Yi, S.H.; He, L.; Cheng, Z.Y. Experimental study of flow structure in pressure unmatched mixing layer. J. Exp. Fluid Mech. 2007, 21, 14–17. (In Chinese) [Google Scholar]
- Muller, S.; Hawk, C.W.; Bakker, P.G.; Parkinson, D.; Turner, M. Mixing of Supersonic Jets in an RBCC Strutjet Propulsion. In Proceedings of the 35th AIAA/ASM E/SAE/ASEE Joint Propulsion Conference and Exhibit, Los Angeles, CA, USA, 20–23 June 1999. [Google Scholar]
- Zhang, D.; Tan, J.; Lv, L.; Li, F. Characterization of flow mixing and structural topology in supersonic planar mixing layer. Acta Astronaut. 2018, 156, 33–43. [Google Scholar] [CrossRef]
- Dong, Z.; Sun, M.; Wang, Z.; Cai, Z.; Yao, Y.; Gu, R. Numerical investigation on flow and mixing characteristics inside a converging-diverging mixing duct of rocket-based combined-cycle engine in ejector mode. Aerosp. Sci. Technol. 2020, 106, 106102. [Google Scholar] [CrossRef]
- Fang, X.X.; Shen, C.B.; Sun, M.B.; Wang, H.B.; Wang, P. Turbulent structures and mixing enhancement with lobed mixers in a supersonic mixing layer. Phys. Fluids 2020, 32, 041701. [Google Scholar]
- Hall, J.L. An Experimental Investigation of Structure, Mixing and Combustion in Compressible Turbulent Shear Layers. Ph.D. Thesis, California Institute of Technology, Pasadena, CA, USA, 1991. [Google Scholar]
- Rossmann, T.; Mungal, M.G.; Hanson, R.K. Evolution and growth of large-scale structures in high compressibility mixing layers. J. Turbul. 2002, 3, 9. [Google Scholar] [CrossRef]
- Yang, W.; Zhuang, F.; Shen, Q.; Guan, F.; Wang, Q.; Yi, S.; Tian, L. Experimental and numerical study on instability structure of the supersonic mixing layer (Mc = 0.5). Sci. China Ser. G Phys. Mech. Astron. 2009, 52, 1624–1631. [Google Scholar] [CrossRef]
- Ma, K.; Li, J.; Li, Q.; Liu, Y.; Li, X.; Ma, D.; Ao, W. Evolution characteristics of subsonic-supersonic mixing layer impinged by shock waves. Aerosp. Sci. Technol. 2020, 106, 106150. [Google Scholar] [CrossRef]
- Yi, S.H.; Zhao, Y.X.; He, L.; Zhang, M.L. Supersonic and Hypersonic Nozzle Design; National Defense Industry Press: Beijing, China, 2013; pp. 55–58. [Google Scholar]
- Ma, K.; Li, J.; Li, Q.; Liu, Y.; Ao, W.; Liu, P. Numerical and experimental investigation of the geometrical scale effect on a confined subsonic-supersonic shear layer. Acta Astronaut. 2020, 173, 212–220. [Google Scholar] [CrossRef]
- Zhang, D.D.; Tan, J.G.; Lv, L. Experimental Investigation on Shock Waves and Flow Structures in Pressure Unmatched Mixing Layer. J. Proj. Rocket. Missiles Guid. 2016, 36, 65–68. (In Chines) [Google Scholar]
- Michael, J.B.; Edwards, M.R.; Dogariu, A.; Miles, R.B. Femtosecond laser electronic excitation tagging for quantitative velocity imaging in air. Appl. Optics. 2011, 50, 5158–5162. [Google Scholar] [CrossRef] [PubMed]
- Yu, T.; Zhang, W.; Zhang, Y.F. Focused laser differential interferometry measurement of instability wave in a hypersonic boundary-layer. J. Exp. Fluid Mech. 2019, 33, 70–75. (In Chinese) [Google Scholar]
















| Case 1 | Case 2 | Case 3 | |
|---|---|---|---|
| Ma1 | 3.0 | 3.0 | 3.0 |
| Ma2 | 2.0 | 2.5 | 2.9 |
| Mc | 0.25 | 0.10 | 0.01 |
| P01/(kPa) | 800 | 800 | 800 |
| P02/(kPa) | 170 | 372 | 688 |
| Ps1/(kPa) | 21.7 | 21.7 | 21.7 |
| Ps2/(kPa) | 21.7 | 21.7 | 21.7 |
| Ma | Mc | U/m/s | P0/kPa | Ps/kPa | T0/K | Ts/K | |
|---|---|---|---|---|---|---|---|
| Case 1 | 2.99 | 0.23 | 619 | 804 | 23.6 | 293 | 107 |
| 1.99 | 512 | 194 | 23.4 | 293 | 165 | ||
| Case 2 | 2.95 | 0.10 | 611 | 712 | 20.9 | 293 | 107 |
| 2.46 | 567 | 330 | 20.5 | 293 | 132 | ||
| Case 3 | 2.95 | 0.02 | 611 | 699 | 20.8 | 293 | 107 |
| 2.85 | 604 | 612 | 20.8 | 293 | 111 |
Publisher’s Note: MDPI stays neutral with regard to jurisdictional claims in published maps and institutional affiliations. |
© 2022 by the authors. Licensee MDPI, Basel, Switzerland. This article is an open access article distributed under the terms and conditions of the Creative Commons Attribution (CC BY) license (https://creativecommons.org/licenses/by/4.0/).
Share and Cite
Li, Y.; Chen, L.; Li, H.; Wu, Y.; Chen, S. Numerical and Experimental Validation of a Supersonic Mixing Layer Facility. Appl. Sci. 2022, 12, 5489. https://doi.org/10.3390/app12115489
Li Y, Chen L, Li H, Wu Y, Chen S. Numerical and Experimental Validation of a Supersonic Mixing Layer Facility. Applied Sciences. 2022; 12(11):5489. https://doi.org/10.3390/app12115489
Chicago/Turabian StyleLi, Yudong, Li Chen, Hongxun Li, Yungang Wu, and Shuang Chen. 2022. "Numerical and Experimental Validation of a Supersonic Mixing Layer Facility" Applied Sciences 12, no. 11: 5489. https://doi.org/10.3390/app12115489
APA StyleLi, Y., Chen, L., Li, H., Wu, Y., & Chen, S. (2022). Numerical and Experimental Validation of a Supersonic Mixing Layer Facility. Applied Sciences, 12(11), 5489. https://doi.org/10.3390/app12115489

