Physical Survey of Thermally Heated Non-Newtonian Jeffrey Fluid in a Ciliated Conduit Having Heated Compressing and Expanding Walls
Abstract
:1. Introduction
2. Mathematical Model
3. Exact Solution
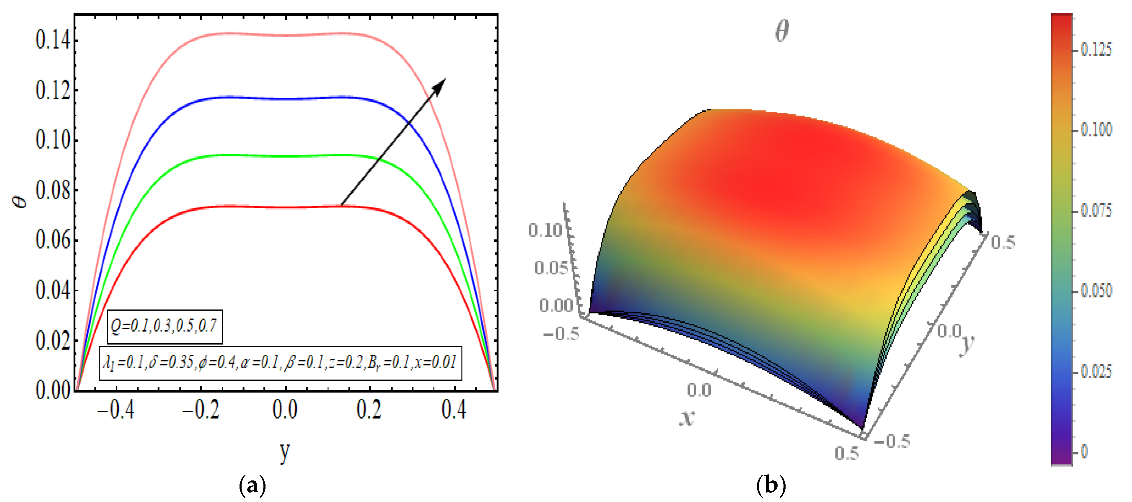
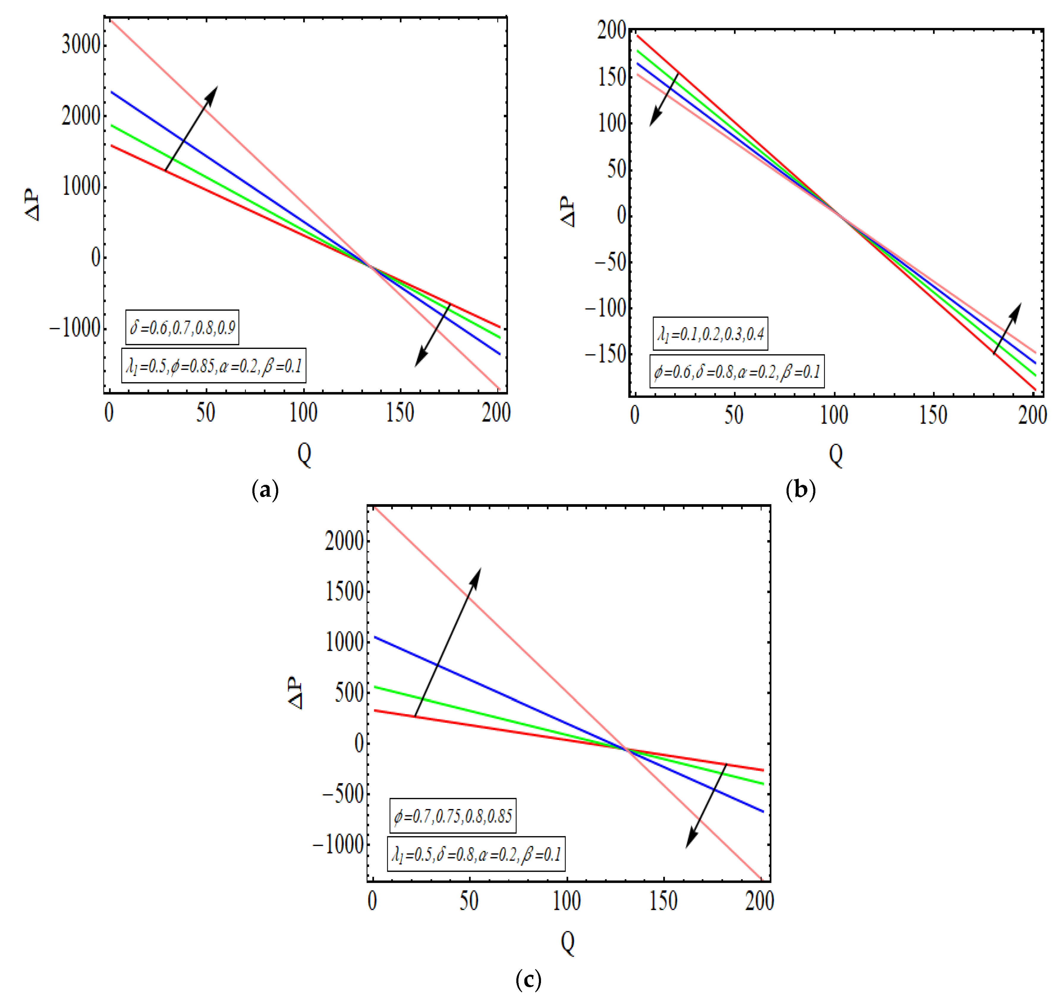
4. Results and Discussion
5. Conclusions
Author Contributions
Funding
Conflicts of Interest
Nomenclature
| Cartesian coordinates | |
| Wave amplitude | |
| Ellipse half axes | |
| Bulk temperature | |
| Tube’s wall temperature | |
| Brinkman number | |
| Aspect ratio | |
| Rate of shear | |
| Thermal conductivity | |
| Wave number for metachronal wave | |
| Components of velocity | |
| Wavelength | |
| Velocity of propagation | |
| Eccentricity of ellipse | |
| Occlusion | |
| Hydraulic diameter of ellipse | |
| Time retardation parameter | |
| Relaxation to retardation times ratio | |
| Heat capacity | |
| Cilia elliptic movement eccentricity |
References
- Abdel-Wahed, R.M.; Attia, A.E.; Hifni, M.A. Experiments on laminar flow and heat transfer in an elliptical duct. Int. J. Heat Mass Transf. 1984, 27, 2397–2413. [Google Scholar] [CrossRef]
- Maia, C.R.M.; Aparecido, J.B.; Milanez, L.F. Heat transfer in laminar flow of non-Newtonian fluids in ducts of elliptical section. Int. J. Therm. Sci. 2006, 45, 1066–1072. [Google Scholar] [CrossRef]
- Ragueb, H.; Mansouri, K. An analytical study of the periodic laminar forced convection of non-Newtonian nanofluid flow inside an elliptical duct. Int. J. Heat Mass Transf. 2018, 127, 469–483. [Google Scholar] [CrossRef]
- Barton, C.; Raynor, S. Peristaltic flow in tubes. Bull. Math. Biophys. 1968, 30, 663–680. [Google Scholar] [CrossRef] [PubMed]
- Böhme, G.; Friedrich, R. Peristaltic flow of viscoelastic liquids. J. Fluid Mech. 1983, 128, 109–122. [Google Scholar] [CrossRef]
- Nadeem, S.; Akbar, N.S. Influence of heat transfer on a peristaltic flow of Johnson Segalman fluid in a non uniform tube. Int. Commun. Heat Mass Transf. 2009, 36, 1050–1059. [Google Scholar] [CrossRef]
- Akbar, N.S.; Nadeem, S.; Hayat, T.; Hendi, A.A. Peristaltic flow of a nanofluid in a non-uniform tube. Heat Mass Transf. 2012, 48, 451–459. [Google Scholar] [CrossRef]
- Akbar, N.S.; Nadeem, S. Peristaltic flow of a Phan-Thien-Tanner nanofluid in a diverging tube. Heat Transf.—Asian Res. 2012, 41, 10–22. [Google Scholar] [CrossRef]
- Akbar, N.S.; Nadeem, S. Combined effects of heat and chemical reactions on the peristaltic flow of Carreau fluid model in a diverging tube. Int. J. Numer. Methods Fluids 2011, 67, 1818–1832. [Google Scholar] [CrossRef]
- Nadeem, S.; Maraj, E.N. The mathematical analysis for peristaltic flow of hyperbolic tangent fluid in a curved channel. Commun. Theor. Phys. 2013, 59, 729. [Google Scholar] [CrossRef]
- Nadeem, S.; Shahzadi, I. Mathematical analysis for peristaltic flow of two phase nanofluid in a curved channel. Commun. Theor. Phys. 2015, 64, 547. [Google Scholar] [CrossRef]
- Nadeem, S.; Akram, S. Peristaltic flow of a Jeffrey fluid in a rectangular duct. Nonlinear Anal. Real World Appl. 2010, 11, 4238–4247. [Google Scholar] [CrossRef]
- Ellahi, R.; Riaz, A.; Nadeem, S. Three dimensional peristaltic flow of Williamson fluid in a rectangular duct. Indian J. Phys. 2013, 87, 1275–1281. [Google Scholar] [CrossRef]
- Akram, S.; Saleem, N. Analysis of Heating Effects and Different Wave Forms on Peristaltic Flow of Carreau Fluid in Rectangular Duct. Adv. Math. Phys. 2020, 2020, 8294318. [Google Scholar] [CrossRef]
- Saleem, A.; Akhtar, S.; Nadeem, S.; Alharbi, F.M.; Ghalambaz, M.; Issakhov, A. Mathematical computations for Peristaltic flow of heated non-Newtonian fluid inside a sinusoidal elliptic duct. Phys. Scr. 2020, 95, 105009. [Google Scholar] [CrossRef]
- Akbar, N.S.; Butt, A.W. Heat transfer analysis of viscoelastic fluid flow due to metachronal wave of cilia. Int. J. Biomath. 2014, 7, 1450066. [Google Scholar] [CrossRef]
- Akbar, N.S.; Khan, Z.H. Influence of magnetic field for metachoronical beating of cilia for nanofluid with Newtonian heating. J. Magn. Magn. Mater. 2015, 381, 235–242. [Google Scholar] [CrossRef]
- Saleem, A.; Akhtar, S.; Alharbi, F.M.; Nadeem, S.; Ghalambaz, M.; Issakhov, A. Physical aspects of peristaltic flow of hybrid nano fluid inside a curved tube having ciliated wall. Results Phys. 2020, 19, 103431. [Google Scholar] [CrossRef]
- Butt, A.W.; Akbar, N.S.; Mir, N.A. Heat transfer analysis of peristaltic flow of a Phan-Thien–Tanner fluid model due to metachronal wave of cilia. Biomech. Model. Mechanobiol. 2020, 19, 1925–1933. [Google Scholar] [CrossRef]
- Pavlovsky, V.A. On theoretical description of weak aqueous solutions of polymers. In Doklady Akademii Nauk; Russian Academy of Sciences: Moscow, Russia, 1971; Volume 200, pp. 809–812. [Google Scholar]
- Baranovskii, E.S. Flows of a polymer fluid in domain with impermeable boundaries. Comput. Math. Math. Phys. 2014, 54, 1589–1596. [Google Scholar] [CrossRef]
- Baranovskii, E.S. Global solutions for a model of polymeric flows with wall slip. Math. Methods Appl. Sci. 2017, 40, 5035–5043. [Google Scholar] [CrossRef]
- Sadaf, H.; Nadeem, S. Fluid flow analysis of cilia beating in a curved channel in the presence of magnetic field and heat transfer. Can. J. Phys. 2020, 98, 191–197. [Google Scholar] [CrossRef]
- McCash, L.B.; Nadeem, S.; Akhtar, S.; Saleem, A.; Saleem, S.; Issakhov, A. Novel idea about the peristaltic flow of heated Newtonian fluid in elliptic duct having ciliated walls. Alex. Eng. J. 2022, 61, 2697–2707. [Google Scholar] [CrossRef]
- Nadeem, S.; Akbar, N.S. Peristaltic flow of a Jeffrey fluid with variable viscosity in an asymmetric channel. Z. Für Nat. A 2009, 64, 713–722. [Google Scholar] [CrossRef]
- Bhatti, M.M.; Jun, S.; Khalique, C.M.; Shahid, A.; Fasheng, L.; Mohamed, M.S. Lie group analysis and robust computational approach to examine mass transport process using Jeffrey fluid model. Appl. Math. Comput. 2022, 421, 126936. [Google Scholar] [CrossRef]
- Mehboob, H.; Maqbool, K.; Ullah, H.; Siddiqui, A.M. Computational analysis of an axisymmetric flow of Jeffrey fluid in a permeable micro channel. Appl. Math. Comput. 2022, 418, 126826. [Google Scholar] [CrossRef]
- Yang, Z.H.; Chu, Y.M.; Zhang, W. Monotonicity of the ratio for the complete elliptic integral and Stolarsky mean. J. Inequalities Appl. 2016, 2016, 176. [Google Scholar] [CrossRef] [Green Version]
- Hayman, W.K.; Shanidze, Z.G. Polynomial solutions of partial differential equations. Methods Appl. Anal. 1999, 6, 97–108. [Google Scholar] [CrossRef] [Green Version]













Publisher’s Note: MDPI stays neutral with regard to jurisdictional claims in published maps and institutional affiliations. |
© 2022 by the authors. Licensee MDPI, Basel, Switzerland. This article is an open access article distributed under the terms and conditions of the Creative Commons Attribution (CC BY) license (https://creativecommons.org/licenses/by/4.0/).
Share and Cite
Nadeem, S.; Akhtar, S.; Almutairi, S.; Ghazwani, H.A.; Elkhatib, S.E. Physical Survey of Thermally Heated Non-Newtonian Jeffrey Fluid in a Ciliated Conduit Having Heated Compressing and Expanding Walls. Appl. Sci. 2022, 12, 5065. https://doi.org/10.3390/app12105065
Nadeem S, Akhtar S, Almutairi S, Ghazwani HA, Elkhatib SE. Physical Survey of Thermally Heated Non-Newtonian Jeffrey Fluid in a Ciliated Conduit Having Heated Compressing and Expanding Walls. Applied Sciences. 2022; 12(10):5065. https://doi.org/10.3390/app12105065
Chicago/Turabian StyleNadeem, Sohail, Salman Akhtar, Shahah Almutairi, Hassan Ali Ghazwani, and Samah Elsayed Elkhatib. 2022. "Physical Survey of Thermally Heated Non-Newtonian Jeffrey Fluid in a Ciliated Conduit Having Heated Compressing and Expanding Walls" Applied Sciences 12, no. 10: 5065. https://doi.org/10.3390/app12105065
APA StyleNadeem, S., Akhtar, S., Almutairi, S., Ghazwani, H. A., & Elkhatib, S. E. (2022). Physical Survey of Thermally Heated Non-Newtonian Jeffrey Fluid in a Ciliated Conduit Having Heated Compressing and Expanding Walls. Applied Sciences, 12(10), 5065. https://doi.org/10.3390/app12105065

