Preliminary Study on the Mechanical Activation and High-Temperature Treatment of Saponite-Containing Tailings Generated during Kimberlite Ore Dressing
Abstract
:1. Introduction
2. Materials and Methods
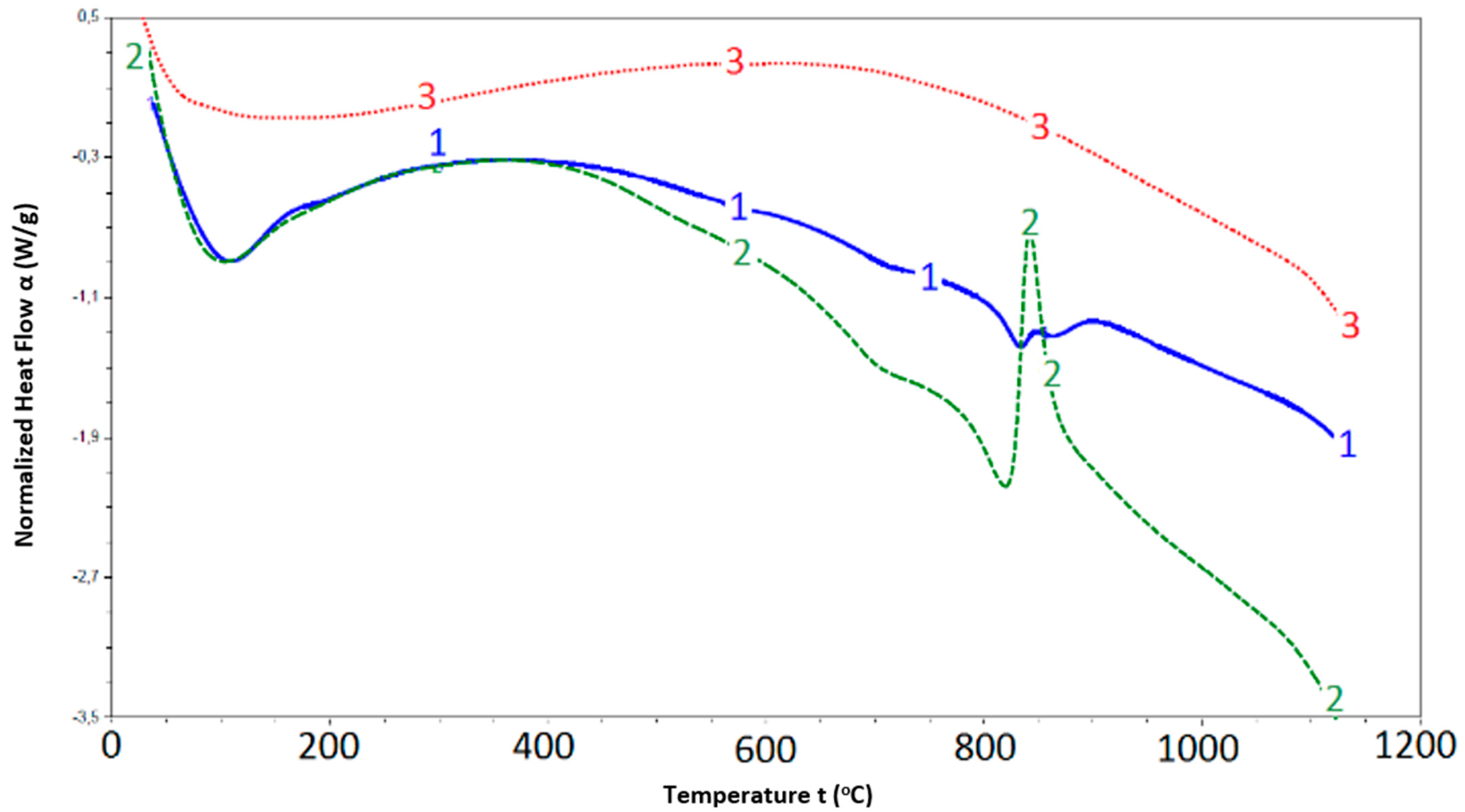
3. Results and Discussion
4. Conclusions
- -
- SCM mechanical activation destroys its layered crystal lattice with the release of silicon and magnesium oxides that can interact with each other to form minerals of the serpentine group. This transformation improves the mechanical properties of these waste materials and makes them suitable for applications in ceramics for civil construction projects such as building tiles.
- -
- The thermal modification of the mechanically activated SCM mixed with water contributes to a stronger structure of the saponite-containing material generated due to the formation of olivine group minerals. This fact can be effectively used in the creation of composite materials based on magnesia binders.
- -
- Serpentinites are also used as a thermal and electrical insulator in industrial applications.
Author Contributions
Funding
Institutional Review Board Statement
Data Availability Statement
Acknowledgments
Conflicts of Interest
References
- Jhatial, A.A.; Goh, W.I.; Sohu, S.; Mangi, S.A.; Mastoi, A.K. Preliminary investigation of thermal behavior of lightweight foamed concrete incorporating palm oil fuel ash and eggshell powder. Period. Polytech. Civ. Eng. 2021, 65, 168–180. [Google Scholar] [CrossRef]
- Jhatial, A.A.; Goh, W.I.; Mastoi, A.K.; Traore, A.F.; Oad, M. Environmental assessment and mechanical properties of Polypropylene fibres reinforced ternary binder foamed concrete. Environ. Sci. Pollut. Res. 2021, 29, 2985–3007. [Google Scholar] [CrossRef] [PubMed]
- Muther, T.; Qureshi, H.A.; Syed, F.I.; Aziz, H.; Siyal, A.; Dahaghi, A.K.; Negahban, S. Unconventional hydrocarbon resources: Geological statistics, petrophysical characterization, and field development strategies. J. Pet. Explor. Prod. Technol. 2021, 12, 1463–1488. [Google Scholar] [CrossRef]
- Adiansyah, J.S.; Rosano, M.; Vink, S.; Keir, G. A framework for a sustainable approach to mine tailings management: Disposal strategies. J. Clean. Prod. 2015, 108, 1050–1062. [Google Scholar] [CrossRef] [Green Version]
- Hooke, R.L.; Martín-Duque, J.F. Land transformation by humans: A review. GSA Today 2012, 12, 4–10. [Google Scholar] [CrossRef]
- Lazorenko, G.; Kasprzhitskii, A.; Shaikh, F.; Krishna, R.S.; Mishra, J. Utilization potential of mine tailings in geopolymers: Physicochemical and environmental aspects. Process Saf. Environ. Prot. 2021, 147, 559–577. [Google Scholar] [CrossRef]
- Chanturiya, V.A.; Minenko, V.G.; Makarov, D.V.; Suvorova, O.V.; Selivanova, E.A. Recycling prospects for saponite-containing water at diamond processing plants in Arkhangelsk Region, Russia. Preprints 2018, 2018100463. [Google Scholar] [CrossRef]
- Posukhova, T.V.; Dorofeev, S.A.; Garanin, K.V.; Siaoin, G. Diamond industry wastes: Mineral composition and recycling. Mosc. Univ. Geol. Bull. 2013, 68, 96–107. [Google Scholar] [CrossRef]
- Morozova, M.V.; Ayzenshtadt, A.M.; Makhova, T.A. The use of saponite-containing material for producing frost-resistant concretes. Ind. Civ. Constr. 2015, 1, 28–31. [Google Scholar]
- Oblitsov, A.Y.; Rogalev, V.A. Prospective ways of diamondiferous rock enrichment wastes utilization at M.V. Lomonosov diamond deposit. J. Min. Inst. 2012, 195, 163–167. [Google Scholar]
- Stenin, A.A.; Ayzenshtadt, A.M.; Shinkaruk, A.A.; Demidov, M.L.; Frolova, M.A. A mineral modifier of a surface for protection of wood building materials. Constr. Mater. 2014, 10, 51–54. [Google Scholar]
- Drozdyuk, T.A.; Ayzenshtadt, A.M.; Tutygin, A.S.; Frolova, M.A. Inorganic binding agents for mineral wool heat insulation. Stroit. Mater. [Constr. Mater.] 2015, 5, 86–88. [Google Scholar] [CrossRef]
- Apollonov, V.N.; Verzhak, V.V.; Garanin, K.V.; Garanin, V.K.; Kudryavtseva, G.P.; Shlykov, V.G. Saponite from the Lomonosov diamond deposit. J. Geol. Explor. 2003, 3, 20–37. [Google Scholar]
- Morozova, M.V. Surface activity of highly dispersed systems based on saponite-containing waste from diamond mining industry. Bull. Belgorod State Technol. Univ. Named After V.G. Shukhov 2018, 2, 5–9. [Google Scholar] [CrossRef]
- Veshnyakova, L.A.; Drozdyuk, T.A.; Aizenshtadt, A.M.; Frolova, M.A.; Tutygin, A.S. Surface activity of siliconcontaining rocks. Mater. Sci. 2016, 5, 45–48. [Google Scholar]
- Zuev, V.V.; Potselueva, L.N.; Goncharov Yu, D. Crystal Energy as a Basis for Evaluating the Magnesian Properties of Solid Materials (Including Magnesia Cements); Alfopol: Saint Petersburg, FL, USA, 2009; p. 139. [Google Scholar]
- Abramovskaya, I.R.; Ayzenshtadt, A.M.; Veshnyakova, L.A.; Frolova, M.A.; Lesovik, V.S.; Kazlitin, S.A. Calculation of the energy intensity of rock as raw material to produce building materials. J. Ind. Civ. Eng. 2012, 10, 23–25. [Google Scholar]
- Frolova, M.A.; Tutygin, A.S.; Ayzenshtadt, A.M.; Lesovik, V.S.; Makhova, T.A.; Pospelova, T.A. Evaluation criteria of energy properties of surface of nanomaterials. Nanosyst. Phys. Chem. Math. 2011, 2, 120–125. [Google Scholar]
- Tutygin, A.S.; Shinkaruk, A.A.; Ayzenshtadt, A.M.; Frolova, M.A.; Makhova, T.A. Clarification of a saponite-containing suspension by the method of electron coagulation. J. Water Chem. Ecol. 2013, 5, 93–99. [Google Scholar]
- Viti, C. Serpentine minerals discrimination by thermal analysis. Am. Mineral. 2010, 95, 631–638. [Google Scholar] [CrossRef]
- Dlugogorski, B.Z.; Balucan, R.D. Dehydroxylation of serpentine minerals: Implications for mineral carbonation. Renew. Sustain. Energy Rev. 2014, 31, 353–367. [Google Scholar] [CrossRef] [Green Version]
- Guryeva, V.A.; Ilyina, A.A. Bulletin of the volgograd state university of architecture and civil engineering. Ser. Constr. Archit. 2020, 78, 142–148. [Google Scholar]



| SCM Sample | Ea, kJ/mol | M, g/mol | Em, kJ/g | σk, mJ/m2 | Syд, m2/kg | Es, J/kg | Ks × 10−5 |
|---|---|---|---|---|---|---|---|
| Mechanically activated (15 min) | 1795 | 436 | 4.1 | 19.50 | 12,547 | 244.7 | 6.0 |
| Mechanically activated (45 min) | 1795 | 436 | 4.1 | 20.70 | 26,955 | 557.9 | 13.6 |
| Parameter | Mechanically Activated SCM Mixed with Water | Thermo-Modified Mechanically Activated SCM Mixed with Water |
|---|---|---|
| Specific surface, m2/kg | 50,789 | 1005 |
| Porosity, cm3/g | 4.52 × 10−2 | 8.75 × 10−4 |
| Pore diameter, nm | Less than 472 | Less than 24 |
Publisher’s Note: MDPI stays neutral with regard to jurisdictional claims in published maps and institutional affiliations. |
© 2022 by the authors. Licensee MDPI, Basel, Switzerland. This article is an open access article distributed under the terms and conditions of the Creative Commons Attribution (CC BY) license (https://creativecommons.org/licenses/by/4.0/).
Share and Cite
Drozdyuk, T.; Frolova, M.; Ayzenshtadt, A.; Calay, R.K.; Jhatial, A.A. Preliminary Study on the Mechanical Activation and High-Temperature Treatment of Saponite-Containing Tailings Generated during Kimberlite Ore Dressing. Appl. Sci. 2022, 12, 4957. https://doi.org/10.3390/app12104957
Drozdyuk T, Frolova M, Ayzenshtadt A, Calay RK, Jhatial AA. Preliminary Study on the Mechanical Activation and High-Temperature Treatment of Saponite-Containing Tailings Generated during Kimberlite Ore Dressing. Applied Sciences. 2022; 12(10):4957. https://doi.org/10.3390/app12104957
Chicago/Turabian StyleDrozdyuk, Tatiana, Maria Frolova, Arkady Ayzenshtadt, Rajnish Kaur Calay, and Ashfaque Ahmed Jhatial. 2022. "Preliminary Study on the Mechanical Activation and High-Temperature Treatment of Saponite-Containing Tailings Generated during Kimberlite Ore Dressing" Applied Sciences 12, no. 10: 4957. https://doi.org/10.3390/app12104957
APA StyleDrozdyuk, T., Frolova, M., Ayzenshtadt, A., Calay, R. K., & Jhatial, A. A. (2022). Preliminary Study on the Mechanical Activation and High-Temperature Treatment of Saponite-Containing Tailings Generated during Kimberlite Ore Dressing. Applied Sciences, 12(10), 4957. https://doi.org/10.3390/app12104957

