Effectiveness of Auditory Distraction and Brief Relaxation Therapy in Reducing Anxiety in Dental Patients Undergoing Extraction: A Randomized Controlled Trial
Abstract
:Featured Application
Abstract
1. Introduction
2. Materials and Methods
2.1. Ethical Considerations
2.2. Study Design and Sample Selection Criteria
2.3. Sample Size Calculation
2.4. Study Tool Validation Process
2.5. Data Collection Process
2.6. Statistical Analysis
3. Results
4. Discussion
5. Conclusions
Author Contributions
Funding
Institutional Review Board Statement
Informed Consent Statement
Data Availability Statement
Acknowledgments
Conflicts of Interest
References
- Astramskaitė, I.; Poškevičius, L.; Juodžbalys, G. Factors determining tooth extraction anxiety and fear in adult dental patients: A systematic review. Int. J. Oral Maxillofac. Surg. 2016, 45, 1630–1643. [Google Scholar] [CrossRef] [PubMed]
- Juodzbalys, G.; Giedraitis, R.; Machiulskiene, V.; Huys, L.W.; Kubilius, R. New method of sedation in oral surgery. J. Oral Implantol. 2005, 31, 304–308. [Google Scholar] [CrossRef]
- Astramskaitė, I.; Juodžbalys, G. Scales used to rate adult patients’ psycho-emotional status in tooth extraction procedures: A systematic review. Int. J. Oral Maxillofac. Surg. 2017, 46, 886–898. [Google Scholar] [CrossRef] [PubMed]
- Gale, C.; Oakley-Browne, M. Anxiety disorder. BMJ 2000, 321, 1204–1207. [Google Scholar] [CrossRef] [PubMed]
- Dou, L.; Vanschaayk, M.M.; Zhang, Y.; Fu, X.; Ji, P.; Yang, D. The prevalence of dental anxiety and its association with pain and other variables among adult patients with irreversible pulpitis. BMC Oral Health 2018, 18, 101. [Google Scholar] [CrossRef]
- Tarazona, B.; Tarazona-Álvarez, P.; Peñarrocha-Oltra, D.; Rojo-Moreno, J.; Peñarrocha-Diago, M. Anxiety before extraction of impacted lower third molars. Med. Oral Patol. Oral Cir. Bucal 2015, 20, e246–e250. [Google Scholar] [CrossRef]
- Seligman, L.D.; Hovey, J.D.; Chacon, K.; Ollendick, T.H. Dental anxiety: An understudied problem in youth. Clin. Psychol. Rev. 2017, 55, 25–40. [Google Scholar] [CrossRef]
- Brignardello-Petersen, R. Previous bad experience, propensity to anxiety, and pain expectations may be associated with fear and anxiety when undergoing tooth extractions. J. Am. Dent. Assoc. 2017, 148, e4. [Google Scholar] [CrossRef]
- McNeil, D.W.; Helfer, A.J.; Weaver, B.D.; Graves, R.W.; Kyle, B.N.; Davis, A.M. Memory of pain and anxiety associated with tooth extraction. J. Dent. Res. 2011, 90, 220–224. [Google Scholar] [CrossRef]
- Laskin, D.M.; Carrico, C.K. What do patients fear most about having oral surgery? Quintessence Int. 2019, 50, 204–207. [Google Scholar] [CrossRef]
- Armfield, J.M.; Milgrom, P. A clinician guide to patients afraid of dental injections and numbness. SAAD Dig. 2011, 27, 33–39. [Google Scholar]
- Armfield, J.M.; Heaton, L.J. Management of fear and anxiety in the dental clinic: A review. Aust. Dent. J. 2013, 58, 390−407; quiz 531. [Google Scholar] [CrossRef]
- Wang, T.F.; Wu, Y.T.; Tseng, C.F.; Chou, C. Associations between dental anxiety and postoperative pain following extraction of horizontally impacted wisdom teeth: A prospective observational study. Medicine 2017, 96, e8665. [Google Scholar] [CrossRef]
- Daly, S.; Claydon, N.C.A.; Newcombe, R.G.; Seong, J.; Addy, M.; West, N.X. Randomised controlled trial of a microneedle patch with a topical anaesthetic for relieving the pain of dental injections. J. Dent. 2021, 107, 103617. [Google Scholar] [CrossRef] [PubMed]
- Van Wijk, A.J.; Makkes, P.C. Highly anxious dental patients report more pain during dental injections. Br. Dent. J. 2008, 205, E7, discussion 142–143. [Google Scholar] [CrossRef] [PubMed] [Green Version]
- Van Wijk, A.J.; Hoogstraten, J. Anxiety and pain during dental injections. J. Dent. 2009, 37, 700–704. [Google Scholar] [CrossRef] [PubMed]
- Silva-Junior, M.F.; Sousa, A.C.C.; Batista, M.J.; Sousa, M.D.L.R. Oral health condition and reasons for tooth extraction among an adult population (20–64 years old). Cienc. Saude Coletiva 2017, 22, 2693–2702. [Google Scholar] [CrossRef] [Green Version]
- Jovino-Silveira, R.C.; Caldas, A.e.F.; de Souza, E.H.; Gusmão, E.S. Primary reason for tooth extraction in a Brazilian adult population. Oral Health Prev. Dent. 2005, 3, 151–157. [Google Scholar] [PubMed]
- Kim, K.; Choi, S.; Chang, J.; Kim, S.M.; Kim, S.J.; Kim, R.J.; Cho, H.J.; Park, S.M. Severity of dental caries and risk of coronary heart disease in middle-aged men and women: A population-based cohort study of Korean adults, 2002–2013. Sci. Rep. 2019, 9, 10491. [Google Scholar] [CrossRef] [PubMed] [Green Version]
- Preshaw, P.M.; Bissett, S.M. Periodontitis and diabetes. Br. Dent. J. 2019, 227, 577–584. [Google Scholar] [CrossRef] [PubMed]
- Altan, A.; Akkoç, S.; Erdil, A.; Çolak, S.; Demir, O.; Altan, H. Effects of pain catastrophizing and anxiety on analgesic use after surgical removal of impacted mandibular third molars. J. Dent. Anesth. Pain Med. 2019, 19, 379–388. [Google Scholar] [CrossRef] [Green Version]
- Hong, B.; Birnie, A. A retrospective analysis of episodes of single tooth extraction under general anaesthesia for adults. Br. Dent. J. 2016, 220, 21–24. [Google Scholar] [CrossRef]
- Zhang, Q.; Deng, X.; Wang, Y.; Huang, R.; Yang, R.; Zou, J. Postoperative complications in Chinese children following dental general anesthesia: A cross-sectional study. Medicine 2020, 99, e23065. [Google Scholar] [CrossRef]
- Svajhler, T.; Knezević, G. Postextraction complications and the choice of anesthesia. Acta Stomatol. Croat. 1990, 24, 241–251. [Google Scholar] [PubMed]
- Zanette, G.; Robb, N.; Facco, E.; Zanette, L.; Manani, G. Sedation in dentistry: Current sedation practice in Italy. Eur. J. Anaesthesiol. 2007, 24, 198–200. [Google Scholar] [CrossRef] [PubMed]
- Pinheiro, M.L.; Alcântara, C.E.; de Moraes, M.; de Andrade, E.D. Valeriana officinalis L. for conscious sedation of patients submitted to impacted lower third molar surgery: A randomized, double-blind, placebo-controlled split-mouth study. J. Pharm. Bioallied Sci. 2014, 6, 109–114. [Google Scholar] [CrossRef]
- Dionne, R.A.; Yagiela, J.A.; Moore, P.A.; Gonty, A.; Zuniga, J.; Beirne, O.R. Comparing efficacy and safety of four intravenous sedation regimens in dental outpatients. J. Am. Dent. Assoc. 2001, 132, 740–751. [Google Scholar] [CrossRef]
- Melini, M.; Forni, A.; Cavallin, F.; Parotto, M.; Zanette, G. Conscious sedation for the management of dental anxiety in third molar extraction surgery: A systematic review. BMC Oral Health 2020, 20, 155. [Google Scholar] [CrossRef]
- Karan, N.B. Influence of lavender oil inhalation on vital signs and anxiety: A randomized clinical trial. Physiol. Behav. 2019, 211, 112676. [Google Scholar] [CrossRef]
- Henley, D.V.; Lipson, N.; Korach, K.S.; Bloch, C.A. Prepubertal gynecomastia linked to lavender and tea tree oils. N. Engl. J. Med. 2007, 356, 479–485. [Google Scholar] [CrossRef] [PubMed] [Green Version]
- Prashar, A.; Locke, I.C.; Evans, C.S. Cytotoxicity of lavender oil and its major components to human skin cells. Cell Prolif. 2004, 37, 221–229. [Google Scholar] [CrossRef] [PubMed]
- Gazal, G.; Tola, A.W.; Fareed, W.M.; Alnazzawi, A.A.; Zafar, M.S. A randomized control trial comparing the visual and verbal communication methods for reducing fear and anxiety during tooth extraction. Saudi Dent. J. 2016, 28, 80–85. [Google Scholar] [CrossRef] [Green Version]
- Packyanathan, J.S.; Lakshmanan, R.; Jayashri, P. Effect of music therapy on anxiety levels on patient undergoing dental extractions. J. Fam. Med. Prim. Care 2019, 8, 3854–3860. [Google Scholar] [CrossRef]
- Locsin, R.G. The effect of music on the pain of selected post-operative patients. J. Adv. Nurs. 1981, 6, 19–25. [Google Scholar] [CrossRef]
- Gfeller, K.; Logan, H.; and Walker, J. The Effect of Auditory Distraction and Suggestion on Tolerance for Dental Restorations in Adolescents and Young Adults. J. Music Ther. 1990, 27, 13–23. [Google Scholar] [CrossRef]
- Anderson, K.O.; Masur, F.T. Psychological preparation for invasive medical and dental procedures. J. Behav. Med. 1983, 6, 1–40. [Google Scholar] [CrossRef] [PubMed]
- Lahmann, C.; Schoen, R.; Henningsen, P.; Ronel, J.; Muehlbacher, M.; Loew, T.; Tritt, K.; Nickel, M.; Doering, S. Brief relaxation versus music distraction in the treatment of dental anxiety: A randomized controlled clinical trial. J. Am. Dent. Assoc. 2008, 139, 317–324. [Google Scholar] [CrossRef] [PubMed]
- Loew, T.H.; Sohn, R.; Martus, P.; Tritt, K.; Rechlin, T. Functional relaxation as a somatopsychotherapeutic intervention: A prospective controlled study. Altern. Ther. Health Med. 2000, 6, 70–75. [Google Scholar]
- Logan, H.L.; Baron, R.S.; Keeley, K.; Law, A.; Stein, S. Desired control and felt control as mediators of stress in a dental setting. Health Psychol. 1991, 10, 352–359. [Google Scholar] [CrossRef]
- Loew, T.H.; Tritt, K.; Siegfried, W.; Bohmann, H.; Martus, P.; Hahn, E.G. Efficacy of ‘functional relaxation’ in comparison to terbutaline and a ‘placebo relaxation’ method in patients with acute asthma. A randomized, prospective, placebo-controlled, crossover experimental investigation. Psychother. Psychosom. 2001, 70, 151–157. [Google Scholar] [CrossRef]
- Brahm, C.O.; Lundgren, J.; Carlsson, S.G.; Nilsson, P.; Corbeil, J.; Hägglin, C. Dentists’ views on fearful patients. Problems and promises. Swed. Dent. J. 2012, 36, 79–89. [Google Scholar] [PubMed]
- Stone, P. Relaxation therapy. J. Am. Dent. Assoc. 2008, 139, 1163. [Google Scholar] [CrossRef]
- Aitken, J.C.; Wilson, S.; Coury, D.; Moursi, A.M. The effect of music distraction on pain, anxiety and behavior in pediatric dental patients. Pediatr. Dent. 2002, 24, 114–118. [Google Scholar]
- De Witte, M.; Spruit, A.; van Hooren, S.; Moonen, X.; Stams, G.J. Effects of music interventions on stress-related outcomes: A systematic review and two meta-analyses. Health Psychol. Rev. 2020, 14, 294–324. [Google Scholar] [CrossRef]
- Heft, M.W.; Meng, X.; Bradley, M.M.; Lang, P.J. Gender differences in reported dental fear and fear of dental pain. Community Dent. Oral Epidemiol. 2007, 35, 421–428. [Google Scholar] [CrossRef] [PubMed]
- Caltabiano, M.L.; Croker, F.; Page, L.; Sklavos, A.; Spiteri, J.; Hanrahan, L.; Choi, R. Dental anxiety in patients attending a student dental clinic. BMC Oral Health 2018, 18, 48. [Google Scholar] [CrossRef] [PubMed]



| Group | N | Mean Rank | Mean (SD) | Range | p-Value | |
|---|---|---|---|---|---|---|
| Before Intervention | Brief Relaxation | 32 | 36.94 | 24.07 (9.17) | 12–50 | <0.001 a |
| Audible distraction | 32 | 28.06 | ||||
| Control group | 22 | 19.05 | ||||
| After Intervention | Brief Relaxation | 32 | 35.88 | 20.30 (6.44) | 12–37 | 0.01 a |
| Audible distraction | 32 | 29.13 | ||||
| Control group | 22 | 31.59 |
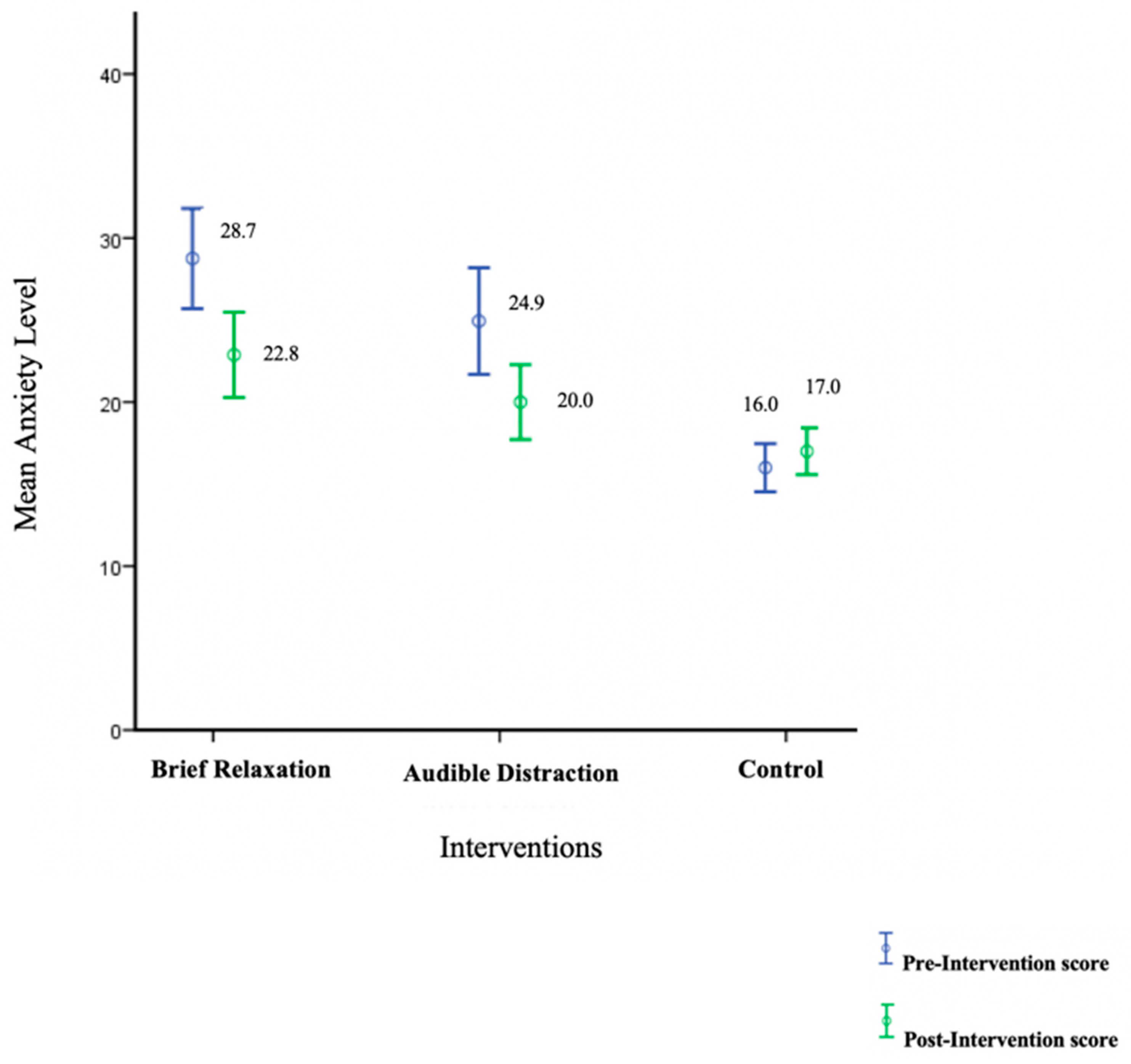
| Type of Intervention | Before Mean (SD) | After Mean (SD) | p-Value |
|---|---|---|---|
| Brief Relaxation Therapy group | 28.75 (8.49) | 22.88 (7.21) | <0.001 a |
| Audible Distraction group | 24.94 (9.02) | 20.0 (6.34) | <0.001 a |
| Control group | 16.0 (3.32) | 17.0 (3.21) | 0.13 |
| Group | N | Mean Rank | Mean (SD) | Mean Difference (95% CI) | p-Value |
|---|---|---|---|---|---|
| Brief Relaxation | 32 | 35.88 | 22.88 (7.21) | 2.87 (−0.52, 6.27) | 0.14 |
| Audible distraction | 32 | 29.13 | 20.00 (6.34) | ||
| Brief Relaxation | 32 | 33.13 | 22.88 (7.21) | 5.87 (2.58, 9.17) | 0.001 a |
| Control group | 22 | 19.32 | 17.00 (3.21) | ||
| Audible Distraction | 32 | 30.06 | 20.00 (6.34) | 3.0 (0.05, 5.95) | 0.15 |
| Control group | 22 | 23.77 | 17.00 (3.21) |
Publisher’s Note: MDPI stays neutral with regard to jurisdictional claims in published maps and institutional affiliations. |
© 2022 by the authors. Licensee MDPI, Basel, Switzerland. This article is an open access article distributed under the terms and conditions of the Creative Commons Attribution (CC BY) license (https://creativecommons.org/licenses/by/4.0/).
Share and Cite
Alhazmi, Y.A.; Mobarki, A.M.; Hakami, W.H.; Akairi, H.N.; Altherwi, Y.K.; Quadri, M.F.A. Effectiveness of Auditory Distraction and Brief Relaxation Therapy in Reducing Anxiety in Dental Patients Undergoing Extraction: A Randomized Controlled Trial. Appl. Sci. 2022, 12, 418. https://doi.org/10.3390/app12010418
Alhazmi YA, Mobarki AM, Hakami WH, Akairi HN, Altherwi YK, Quadri MFA. Effectiveness of Auditory Distraction and Brief Relaxation Therapy in Reducing Anxiety in Dental Patients Undergoing Extraction: A Randomized Controlled Trial. Applied Sciences. 2022; 12(1):418. https://doi.org/10.3390/app12010418
Chicago/Turabian StyleAlhazmi, Yaser Ali, Amal Mohammed Mobarki, Wala’a Haser Hakami, Hanin Naser Akairi, Yusra Khalid Altherwi, and Mir Faeq Ali Quadri. 2022. "Effectiveness of Auditory Distraction and Brief Relaxation Therapy in Reducing Anxiety in Dental Patients Undergoing Extraction: A Randomized Controlled Trial" Applied Sciences 12, no. 1: 418. https://doi.org/10.3390/app12010418
APA StyleAlhazmi, Y. A., Mobarki, A. M., Hakami, W. H., Akairi, H. N., Altherwi, Y. K., & Quadri, M. F. A. (2022). Effectiveness of Auditory Distraction and Brief Relaxation Therapy in Reducing Anxiety in Dental Patients Undergoing Extraction: A Randomized Controlled Trial. Applied Sciences, 12(1), 418. https://doi.org/10.3390/app12010418

