The Effect of Yellow Tea Leaves Camellia sinensis on the Quality of Stored Chocolate Confectionery
Abstract
Featured Application
Abstract
1. Introduction
2. Materials and Methods
2.1. Sample Preparation
2.2. Preliminary Sensory Evaluation
2.3. Proper Sensory Evaluation
2.4. Chemical Composition
2.5. Sample Extraction Procedure
2.6. Total Phenolic Content
2.7. Antioxidant Activity
2.8. Cholinesterase Inhibition
2.9. Statistical Analysis
3. Results
3.1. Optimization of Yellow Tea Extract Concentration in Confectionery
3.2. Basic Chemical Composition of Designed Confectionery
3.3. Sensory Analysis of Designed Confectionery
3.4. Storage Influence on Total Phenolic Content and Antioxidant Properties of Designed Confectionery
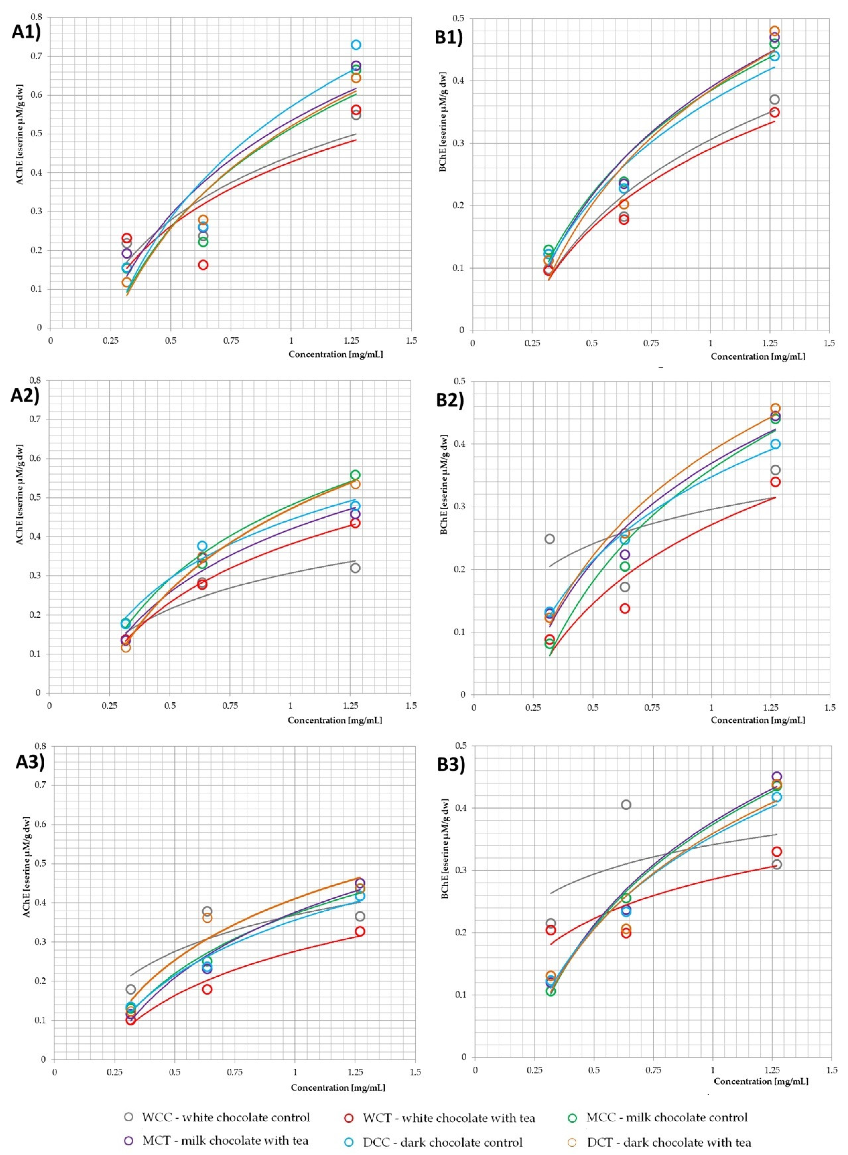
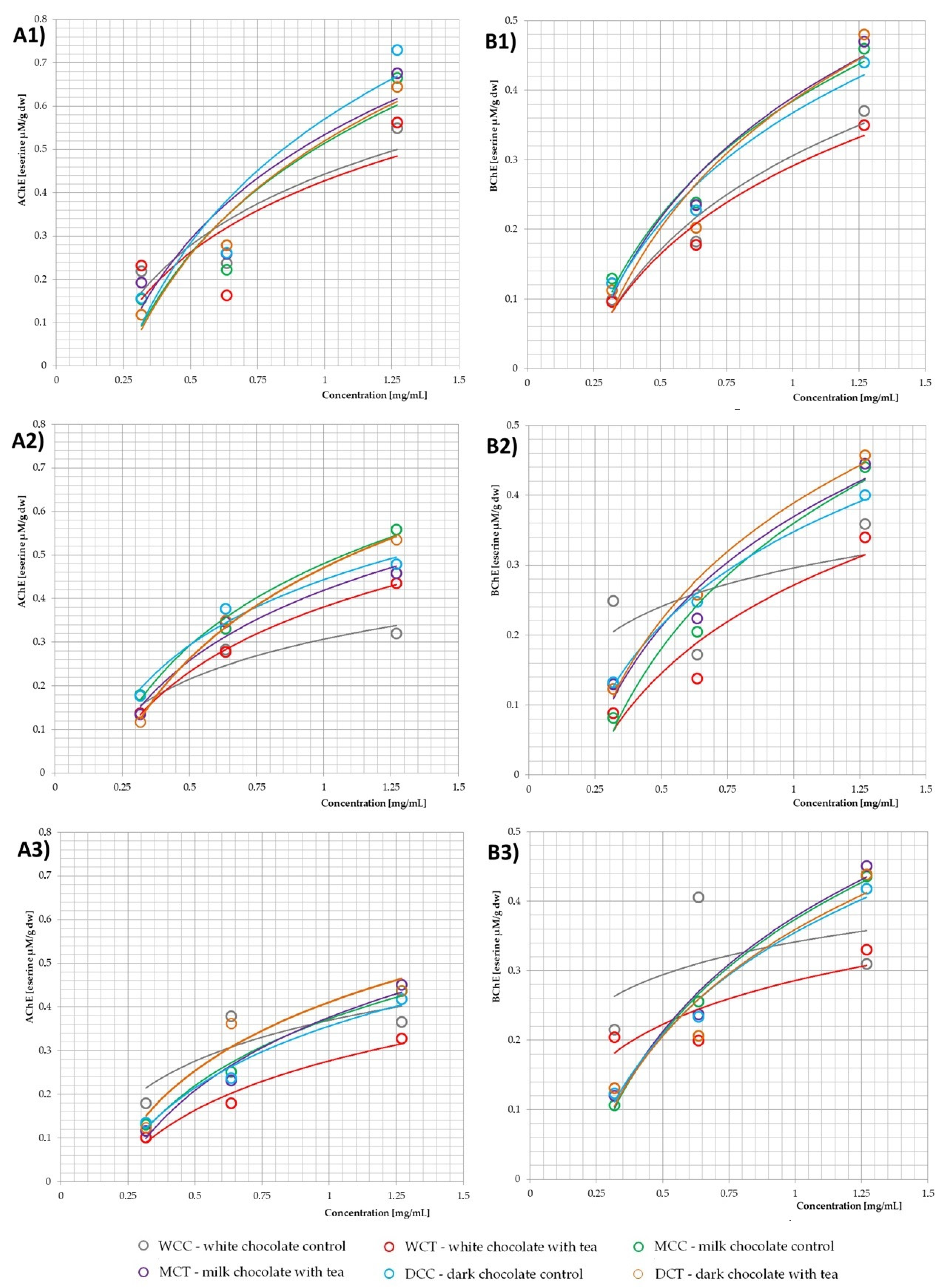
3.5. Cholinesterases (ChE) Inhibition by Designed Confectionery
4. Discussion
5. Conclusions
Author Contributions
Funding
Institutional Review Board Statement
Informed Consent Statement
Data Availability Statement
Conflicts of Interest
References
- World Health Organization (WHO). Obesity. Available online: https://www.who.int/news-room/facts-in-pictures/detail/6-facts-on-obesity (accessed on 10 March 2021).
- World Health Organization (WHO). Diabetes. Available online: https://www.who.int/news-room/fact-sheets/detail/diabetes (accessed on 10 March 2021).
- Wickramasuriya, A.M.; Dunwell, J.M. Cacao biotechnology: Current status and future prospects. Plant Biotechnol. J. 2018, 16, 4–17. [Google Scholar] [CrossRef] [PubMed]
- Nowak, E.; Livney, Y.D.; Niu, Z.; Singh, H. Delivery of bioactives in food for optimal efficacy: What inspirations and insights can be gained from pharmaceutics? Trends Food Sci. Technol. 2019, 91, 557–573. [Google Scholar] [CrossRef]
- Visioli, F.; Bernaert, H.; Corti, R.; Ferri, C.; Heptinstall, S.; Molinari, E.; Poli, A.; Serafini, M.; Smit, H.; Vinson, J.; et al. Chocolate, lifestyle, and health. Crit. Rev. Food Sci. Nutr. 2009, 49, 299–312. [Google Scholar] [CrossRef] [PubMed]
- Meier, B.; Noll, S.; Molokwu, O. The sweet life: The effect of mindful chocolate consumption on mood. Appetite 2017, 108, 21–28. [Google Scholar] [CrossRef] [PubMed]
- Gunaratne, T.M.; Fuentes, S.; Gunaratne, N.M.; Torrico, D.D.; Gonzalez Viejo, C.; Dunshea, F.R. Physiological responses to basic tastes for sensory evaluation of chocolate using biometric techniques. Foods 2019, 8, 243. [Google Scholar] [CrossRef]
- Lattimore, P. Mindfulness-based emotional eating awareness training: Taking the emotional out of eating. Eat. Weight Disord. 2020, 25, 649–657. [Google Scholar] [CrossRef]
- Belšcak-Cvitanović, A.; Komes, D.; Benoković, M.; Karlović, S.; Hecimović, I.; Ježek, D.; Bauman, I. Innovative formulations of chocolates enriched with plant polyphenols from Rubus idaeus L. leaves and characterization of their physical, bioactive and sensory properties. Food Res. Int. 2012, 48, 820–830. [Google Scholar] [CrossRef]
- Chetana, R.; Reddy, S.; Negi, P. Preparation and properties of probiotic chocolates using yoghurt powder. Food Nutr. Sci. 2013, 4, 276–281. [Google Scholar] [CrossRef]
- De Morais, E.C.; Lima, G.C.; de Morais, A.R.; André Bolini, H.M. Prebiotic and diet/light chocolate dairy dessert: Chemical composition, sensory profiling and relationship with consumer expectation. LWT Food Sci. Technol. 2015, 62, 424–430. [Google Scholar] [CrossRef]
- Sim, S.Y.; Ng, J.W.; Ng, W.K.; Forde, C.G.; Henry, C.J. Plant polyphenols to enhance the nutritional and sensory properties of chocolates. Food Chem. 2016, 200, 46–54. [Google Scholar] [CrossRef]
- Lončarević, I.; Pajin, B.; Fišteš, A.; Tumbas Šaponjac, V.; Petrović, J.; Jovanović, P.; Vulić, J.; Zarić, D. Enrichment of white chocolate with black-berry juice encapsulate: Impact on physical properties, sensory characteristics and polyphenol content. LWT Food Sci. Technol. 2018, 92, 458–464. [Google Scholar] [CrossRef]
- Gutiérrez, T.J. State-of-the-art chocolate manufacture: A review. Compr. Rev. Food Sci. Food Saf. 2017, 16, 1313–1344. [Google Scholar] [CrossRef]
- Montagna, M.T.; Diella, G.; Triggiano, F.; Caponio, G.R.; Giglio, O.D.; Caggiano, G.; Ciaula, A.D.; Portincasa, P. Chocolate, “Food of the Gods”: History, science, and human health. Int. J. Environ. Res. Public Health 2019, 16, 4960. [Google Scholar] [CrossRef] [PubMed]
- Gramza-Michałowska, A.; Sidor, A.; Kulczyński, B. Methylxanthines in Food Products. In Analytical Methods in the Determination of Bioactive Compounds and Elements in Food. Food Bioactive Ingredients; Jeszka-Skowron, M., Zgoła-Grześkowiak, A., Grześkowiak, T., Ramakrishna, A., Eds.; Springer: Cham, Switzerland, 2021; pp. 83–100. [Google Scholar] [CrossRef]
- De Araujo, Q.R.; Gattward, J.N.; Almoosawi, S.; Silva, M.D.; Dantas, P.A.; De Araujo Júnior, Q.R. Cocoa and human health: From head to foot—A review. Crit. Rev Food Sci. Nutr. 2016, 6, 1–12. [Google Scholar] [CrossRef]
- Seem, S.A.; Yuan, Y.V.; Tou, J.C. Chocolate and chocolate constituents influence bone health and osteoporosis risk. Nutrition 2019, 65, 74–84. [Google Scholar] [CrossRef] [PubMed]
- Kord-Varkaneh, H.; Ghaedi, E.; Nazary-Vanani, A.; Mohammadi, H.; Shab-Bidar, S. Does cocoa/dark chocolate supplementation have favorable effect on body weight, body mass index and waist circumference? A systematic review, meta-analysis and dose-response of randomized clinical trials. Crit. Rev. Food Sci. Nutr. 2019, 59, 2349–2362. [Google Scholar] [CrossRef]
- Zugravu, C.; Otelea, M.R. Dark chocolate: To eat or not to eat? A review. J. AOAC Int. 2019, 102, 1388–1396. [Google Scholar] [CrossRef]
- Zhang, L.; Ho, C.-T.; Zhou, J.; Santos, J.S.; Armstrong, L.; Granato, D. Chemistry and biological activities of processed Camellia sinensis teas: A comprehensive review. Comp. Rev. Food Sci. Food Saf. 2019, 18, 1474–1495. [Google Scholar] [CrossRef]
- Khan, N.; Mukhtar, H. Tea polyphenols in promotion of human health. Nutrients 2019, 11, 39. [Google Scholar] [CrossRef]
- Tang, G.-Y.; Zhao, C.-N.; Xu, X.-Y.; Gan, R.-Y.; Cao, S.-Y.; Liu, Q.; Shang, A.; Mao, Q.-Q.; Li, H.-B. Phytochemical composition and antioxidantc of 30 Chinese teas. Antioxidants 2019, 8, 180. [Google Scholar] [CrossRef]
- McAlpine, M.D.; Ward, W.E. Influence of steep time on polyphenol content and antioxidant capacity of black, green, rooibos, and herbal teas. Beverages 2016, 2, 17. [Google Scholar] [CrossRef]
- Zhao, C.-N.; Tang, G.-Y.; Cao, S.-Y.; Xu, X.-Y.; Gan, R.-Y.; Liu, Q.; Mao, Q.-Q.; Shang, A.; Li, H.-B. Phenolic profiles and antioxidant activities of 30 tea infusions from green, black, oolong, white, yellow and dark teas. Antioxidants 2019, 8, 215. [Google Scholar] [CrossRef] [PubMed]
- Paiva, L.; Rego, C.; Lima, E.; Marcone, M.; Baptista, J. Comparative analysis of the polyphenols, caffeine, and antioxidant activities of green tea, white tea, and flowers from Azorean Camellia sinensis varieties affected by different harvested and processing conditions. Antioxidants 2021, 10, 183. [Google Scholar] [CrossRef] [PubMed]
- Chupeerach, C.; Aursalung, A.; Watcharachaisoponsiri, T.; Whanmek, K.; Thiyajai, P.; Yosphan, K.; Sritalahareuthai, V.; Sahasakul, Y.; Santivarangkna, C.; Suttisansanee, U. The effect of steaming and fermentation on nutritive values, antioxidant activities, and inhibitory properties of tea leaves. Foods 2021, 10, 117. [Google Scholar] [CrossRef] [PubMed]
- Soh, A.Z.; Pan, A.; Chee, C.B.E.; Wang, Y.-T.; Yuan, J.-M.; Koh, W.-P. Tea drinking and its association with active tuberculosis incidence among middle-aged and elderly adults: The Singapore Chinese health study. Nutrients 2017, 9, 544. [Google Scholar] [CrossRef]
- Mao, X.; Xiao, X.; Chen, D.; Yu, B.; He, J. Tea and its components prevent cancer: A review of the redox-related mechanism. Int. J. Mol. Sci. 2019, 20, 5249. [Google Scholar] [CrossRef]
- Baranowska-Wójcik, E.; Szwajgier, D.; Winiarska-Mieczan, A. Regardless of the brewing conditions, various types of tea are a source of acetylcholinesterase inhibitors. Nutrients 2020, 12, 709. [Google Scholar] [CrossRef]
- Cao, S.-Y.; Li, B.-Y.; Gan, R.-Y.; Mao, Q.-Q.; Wang, Y.-F.; Shang, A.; Meng, J.-M.; Xu, X.-Y.; Wei, X.-L.; Li, H.-B. The in vivo antioxidant and hepatoprotective actions of selected Chinese teas. Foods 2020, 9, 262. [Google Scholar] [CrossRef]
- Lin, S.-Y.; Kan, J.Y.; Lu, C.-C.; Huang, H.H.; Cheng, T.-L.; Huang, H.-T.; Ho, C.-J.; Lee, T.-C.; Chuang, S.-C.; Lin, Y.-S.; et al. Green tea catechin (-)-epigallocatechin-3-gallate (EGCG) facilitates fracture healing. Biomolecules 2020, 10, 620. [Google Scholar] [CrossRef]
- Lu, X.; Saeed, M.E.M.; Hegazy, M.-E.F.; Kampf, C.J.; Efferth, T. Chemopreventive property of sencha tea extracts towards sensitive and multidrug-resistant leukemia and multiple myeloma cells. Biomolecules 2020, 10, 1000. [Google Scholar] [CrossRef]
- Reale, S.; Flint, S.W. The impact of menu label design on visual attention, food choice and recognition: An eye tracking study. J. Sens. Stud. 2016, 31, 328–340. [Google Scholar] [CrossRef]
- Sharma, A.; Zhou, W. A stability study of green tea catechins during the biscuit making process. Food Chem. 2011, 126, 568–573. [Google Scholar] [CrossRef]
- Budryn, G.; Żyżelewicz, D.; Nebesny, E.; Oracz, J.; Krysiak, W. Influence of addition of green tea and green coffee extracts on the properties of fine yeast pastry fried products. Food Res. Int. 2013, 50, 149–160. [Google Scholar] [CrossRef]
- Aslani, A.; Ghannadi, A.; Khalafi, Z. Design, formulation and evaluation of green tea chewing gum. Adv. Biomed. Res. 2014, 3. [Google Scholar] [CrossRef] [PubMed]
- Aroyeun, S.O.; Jayeola, C.O. Effects of green tea extracts on the caffeine, tannin, total polyphenolic contents and organoleptic properties of milk chocolate. J. Food Proces. Technol. 2016, 7, 1000579. [Google Scholar] [CrossRef]
- Gramza-Michałowska, A.; Kobus-Cisowska, J.; Kmiecik, D.; Korczak, J.; Helak, B.; Dziedzic, K.; Górecka, D. Antioxidative potential, nutritional value and sensory profiles of confectionery fortified with green and yellow tea leaves (Camellia sinensis). Food Chem. 2016, 211, 448–454. [Google Scholar] [CrossRef]
- Yüksel, A.K.; Yüksel, M.; Şat, I.G. Determination of certain physicochemical characteristics and sensory properties of green tea powder (matcha) added ice creams and detection of their organic acid and mineral contents. GIDA 2017, 42, 116–126. [Google Scholar] [CrossRef]
- Kumari, S.; Raj, J.D.; Shukla, R.N. Study of quality & antioxidant properties of green tea doughnut. J. Pharmacogn. Phytochem. 2018, 7, 3101–3106. [Google Scholar]
- De, B.; Bhandari, K.; Goswami, T.K. Tea diversification products and value addition. GJPPS 2019, 7. [Google Scholar] [CrossRef]
- Lončarević, I.; Pajin, B.; Tumbas Šaponjac, V.; Petrović, J.; Vulić, J.; Fišteš, A.; Jovanović, P. Physical, sensorial and bioactive characteristics of white chocolate with encapsulated green tea extract. J. Sci. Food Agric. 2019, 99, 5834–5841. [Google Scholar] [CrossRef]
- Choi, Y.; Kim, E.; Kim, H. Physicochemical and antioxidant properties of cookies prepared using powders of barley sprout, lemon balm, and green tea. J. Korean Soc. Food Cult. 2020, 35, 459–466. [Google Scholar] [CrossRef]
- Swarnathilake, D.S.G.G.C.; Abeysinghe, D.C. Improving the quality and the taste of green tea ice cream by identifying suitable cultivar, agronomic practices and processing techniques of Assamica tea grown in Sri Lanka. WJARR 2020, 8, 62–68. [Google Scholar] [CrossRef]
- Santos, J.S.; Leal, A.S.; Escher, G.B.; Cruz, A.G.; Cruz, T.M.; Hellström, J.; Pihlava, J.-M.; Granato, D. Effects of an herbal extract composed of white tea, roasted yerba mate and fermented rooibos on the antioxidant activity and sensory properties of popsicles manufactured with different protein sources. J. Food Bioact. 2020, 11, 1–11. [Google Scholar] [CrossRef]
- Gramza-Michałowska, A.; Sidor, A.; Reguła, J.; Kulczyński, B. PCL assay application in superoxide anion-radical scavenging capacity of tea camellia sinensis extracts. Acta Sci. Pol. Technol. Aliment. 2015, 14, 331–341. [Google Scholar] [CrossRef] [PubMed]
- Polish Standard PN-EN ISO 8589:2010. Sensory Analysis—General Guidelines for Designing a Sensory Analysis Laboratory; ISO: Geneva, Switzerland, 2010. [Google Scholar]
- Polish Standard PN-EN ISO 8586:2014-03. Sensory Analysis—General Guidelines for the Selection, Training and Monitoring of Selected Assessors and Sensory Evaluation Experts; ISO: Geneva, Switzerland, 2014. [Google Scholar]
- Lawless, H.T.; Heymann, H. Scaling. In Sensory Evaluation of Food; Lawless, H.T., Heymann, H., Eds.; Food Science Text Series; Springer: Boston, MA, USA, 1999; pp. 149–177. [Google Scholar] [CrossRef]
- ISO 1442:1997. Meat and Meat Products. Determination of Moisture Content; ISO: Geneva, Switzerland, 1997. [Google Scholar]
- AOAC. Official Methods of Analysis: Official Method for Protein; Method No. 920.87; Association of Official Analytical Chemists: Washington, DC, USA, 1995. [Google Scholar]
- AOAC. Official Methods of Analysis: Official Method for Ash; Method No. 936.03; Association of Official Analytical Chemists: Washington, DC, USA, 2000. [Google Scholar]
- Regulation (EU) No 1169/2011 of the European Parliament and of the Council of 25 October 2011 on the Provision of Food Information to Consumers, Amending Regulations (EC) No 1924/2006 and (EC) No 1925/2006 of the European Parliament and of the Council, and Repealing Commission Directive 87/250/EEC, Council Directive 90/496/EEC, Commission Directive 1999/10/EC, Directive 2000/13/EC of the European Parliament and of the Council, Commission Directives 2002/67/EC and 2008/5/EC and Commission Regulation (EC) No 608/2004. Available online: https://eur-lex.europa.eu/legal-content/EN/TXT/PDF/?uri=CELEX:32011R1169&from=EN (accessed on 26 February 2021).
- Gramza-Michałowska, A.; Bueschke, M.; Kulczyński, B.; Gliszczyńska-Świgło, A.; Kmiecik, D.; Bilska, A.; Purłan, M.; Wałęsa, L.; Ostrowski, M.; Filipczuk, M.; et al. Phenolic compounds and multivariate analysis of antiradical properties of red fruits. J. Food Meas. Charact. 2019, 13, 1739–1747. [Google Scholar] [CrossRef]
- Sánchez-Moreno, C.; Larrauri, J.A.; Saura-Calixto, F. A procedure to measure the antiradical efficiency of polyphenols. J. Sci. Food Agric. 1998, 76, 270–276. [Google Scholar] [CrossRef]
- Re, R.; Pellegrini, N.; Proteggente, A.; Pannala, A.; Yang, M.; Rice-Evans, C. Antioxidant activity applying an improved ABTS radical cation decolorization assay. Free Radic. Biol. Med. 1999, 26, 1231–1237. [Google Scholar] [CrossRef]
- Gramza Michałowska, A.; Kmiecik, D.; Kobus-Cisowska, J.; Żywica, A.; Dziedzic, K.; Brzozowska, A. Phytonutrients in oat (Avena sativa L.) drink—Effect of plant extract on antiradical capacity, nutritional value and sensory characteristics. Pol. J. Food Nutr. Sci. 2017, 68. [Google Scholar] [CrossRef]
- Polish Standard PN-EN ISO 3960: 2009. Animal and Vegetable Oils and Fats. Determination of Peroxide Value; ISO: Geneva, Switzerland, 2009. [Google Scholar]
- Ellman, G.L.; Courtney, K.D.; Andres, V.; Featherstone, R.M. A new and rapid colorimetric determination of acetylcholinesterase activity. Biochem. Pharmacol. 1961, 7, 88–95. [Google Scholar] [CrossRef]
- Kobus-Cisowska, J.; Szymanowska, D.; Maciejewska, P.; Kmiecik, D.; Gramza-Michałowska, A.; Kulczyński, B.; Cielecka-Piontek, J. In Vitro screening for acetylcholinesterase and butyrylcholinesterase inhibition and antimicrobial activity of chia seeds (Salvia hispanica). Electron. J. Biotechnol. 2019, 37, 1–10. [Google Scholar] [CrossRef]
- Ácsová, A.; Martiniaková, S.; Hojerová, J. Selected in vitro methods to determine antioxidant activity of hydrophilic/lipophilic substances. Acta Chim. Slovaca 2019, 12, 200–211. [Google Scholar] [CrossRef]
- Iwatani, S.; Yamamoto, N. Functional food products in Japan: A review. Food Sci. Hum. Wellness 2019, 8, 96–101. [Google Scholar] [CrossRef]
- Kochman, J.; Jakubczyk, K.; Antoniewicz, J.; Mruk, H.; Janda, K. Health benefits and chemical composition of matcha green tea: A review. Molecules 2020, 26, 85. [Google Scholar] [CrossRef]
- Lu, T.M.; Lee, C.C.; Mau, J.L.; Lin, S.D. Quality and antioxidant property of green tea sponge cake. Food Chem. 2010, 119, 1090–1095. [Google Scholar] [CrossRef]
- Ahmad, M.; Baba, W.N.; Wani, T.A.; Gani, A.; Gani, A.; Shah, U.; Wani, S.M.; Masoodi, F.A. Effect of green tea powder on thermal, rheological and functional properties of wheat flour and physical, nutraceutical and sensory analysis of cookies. J. Food Sci. Technol. 2015, 52, 5799–5807. [Google Scholar] [CrossRef]
- Gramza-Michalowska, A.; Kulczynski, B.; Yuan, X.; Gumienna, M. Research on the effect of culture time on the kombucha tea beverage’s antiradical capacity and sensory value. Acta Sci. Pol. Technol. Aliment. 2016, 15, 447–457. [Google Scholar] [CrossRef]
- Phongnarisorn, B.; Orfila, C.; Holmes, M.; Marshall, L.J. Enrichment of biscuits with matcha green tea powder: Its impact on consumer acceptability and acute metabolic response. Foods 2018, 7, 17. [Google Scholar] [CrossRef] [PubMed]
- Yu, K.; Zhou, H.-M.; Zhu, K.-X.; Guo, X.-N.; Peng, W. Water cooking stability of dried noodles enriched with different particle size and concentration green tea powders. Foods 2020, 9, 298. [Google Scholar] [CrossRef] [PubMed]
- Bogue, J.; Collins, O.; Troy, A.J. Market analysis and concept development of functional foods. In Developing New Functional Food and Nutraceutical Products; Bagchi, D., Nair, S., Eds.; Academic Press: Cambridge, MA, USA, 2017; pp. 29–45. [Google Scholar] [CrossRef]
- Sanlier, A.; Gokcen, B.B.; Altuğ, M. Tea consumption and disease correlations. Trends Food Sci. Technol. 2018, 78, 95–106. [Google Scholar] [CrossRef]
- Ning, J.; Li, D.; Luo, X.; Ding, D.; Song, Y.; Zhang, Z.; Wan, X. Stepwise identification of six tea (Camellia sinensis (L.) categories based on catechins, caffeine, and theanine contents combined with fisher discriminant analysis. Food Anal. Method. 2016, 9, 3242–3250. [Google Scholar] [CrossRef]
- Guo, X.; Ho, C.T.; Schwab, W.; Wan, X. Effect of the roasting degree on flavor quality of large-leaf yellow tea. Food Chem. 2021, 347, 129016. [Google Scholar] [CrossRef] [PubMed]
- Wang, Z.; Yue, C.; Tong, H. Analysis of taste characteristics and identification of key chemical components of fifteen Chinese yellow tea samples. J. Food Sci. Technol. Mysore 2020, 58, 1378–1388. [Google Scholar] [CrossRef] [PubMed]
- An, R.; Sun, L.; Xiang, L.; Zhang, W.; Li, Q.; Lai, X.; Wen, S.; Huo, M.; Li, D.; Sun, S. Effect of yellowing time on bioactive compounds in yellow tea and their antiproliferative capacity in HepG2 cells. Food Sci. Nutr. 2019, 7, 1838–1847. [Google Scholar] [CrossRef]
- Wei, Y.; Li, T.; Xu, S.; Ni, T.; Deng, W.W.; Ning, J. The profile of dynamic changes in yellow tea quality and chemical composition during yellowing process. LWT Food Sci. Technol. 2020, 139, 110792. [Google Scholar] [CrossRef]
- Han, M.; Zhao, G.; Wang, Y.; Wang, D.; Sun, F.; Ning, J.; Wan, X.; Zhang, J. Safety and anti-hyperglycemic efficacy of various tea types in mice. Sci. Rep. 2016, 6, 31703. [Google Scholar] [CrossRef]
- Kujawska, M.; Ewertowska, M.; Adamska, T.; Ignatowicz, E.; Gramza-Michałowska, A.; Jodynis-Liebert, J. Protective effect of yellow tea extract on N-nitrosodiethylamine-induced liver carcinogenesis. Pharm. Biol. 2016, 3, 1–10. [Google Scholar] [CrossRef]
- Teng, Y.; Li, D.; Guruvaiah, P.; Xu, N.; Xie, Z. Dietary supplement of large yellow tea ameliorates metabolic syndrome and attenuates hepatic steatosis in db/db mice. Nutrients 2018, 10, 75. [Google Scholar] [CrossRef]
- Xu, J.; Wang, M.; Zhao, J.; Wang, Y.; Tang, Q.; Khan, I.A. Yellow tea (Camellia sinensis L.), a promising Chinese tea: Processing, chemical constituents and health benefits. Food Res. Int. 2018, 107, 567–577. [Google Scholar] [CrossRef]
- Kmiecik, D.; Gramza-Michałowska, A.; Korczak, J. Anti-polymerization activity of tea and fruits extracts during rapeseed oil heating. Food Chem. 2018, 239, 858–864. [Google Scholar] [CrossRef] [PubMed]
- Piechocka, J.; Szymandera-Buszka, K.; Kobus-Cisowska, J.; Gramza-Michałowska, A.; Jędrusek-Golińska, A. The effect of thiamine concentration on the antioxidative activity indices in tea extracts. Antioxidants 2019, 8, 555. [Google Scholar] [CrossRef]
- Legeay, S.; Rodier, M.; Fillon, L.; Faure, S.; Clere, N. Epigallocatechin gallate: A review of its beneficial properties to prevent metabolic syndrome. Nutrients 2015, 7, 5443–5468. [Google Scholar] [CrossRef]
- Dai, W.; Ruan, C.; Zhang, Y.; Wang, J.; Han, J.; Shao, Z.; Sun, Y.; Liang, J. Bioavailability enhancement of EGCG by structural modification and nano-delivery: A review. J. Funct. Foods 2020, 65, 103732. [Google Scholar] [CrossRef]
- Kucera, O.; Mezera, V.; Moravcova, A.; Endlicher, R.; Lotkova, H.; Drahota, Z.; Cervinkova, Z. In Vitro toxicity of epigallocatechin gallate in rat liver mitochondria and hepatocytes. Oxid. Med. Cell. Longev. 2015, 476180. [Google Scholar] [CrossRef]
- Kujawska, M.; Ewertowska, M.; Ignatowicz, E.; Adamska, T.; Szaefer, H.; Gramza-Michałowska, A.; Korczak, J.; Jodynis-Liebert, J. Evaluation of safety and antioxidant activity of yellow tea (Camellia sinensis) extract for application in food. J. Med. Food 2016, 19, 330–336. [Google Scholar] [CrossRef] [PubMed]
- Annunziata, A.; Vecchio, R. Functional foods development in the European market: A consumer perspective. J. Funct. Foods 2011, 3, 223–228. [Google Scholar] [CrossRef]
- Rasouli, H.; Farzaei, M.H.; Khodarahmi, R. Polyphenols and their benefits: A review. Int. J. Food Propert. 2017, 20, 1700–1741. [Google Scholar] [CrossRef]
- Couttolenc, A.; Díaz-Porras, Á.; Espinoza, C.; Medina, M.E.; Trigos, Á. On the primary and secondary antioxidant activity from hydroxy-methylcoumarins: Experimental and theoretical studies. J. Phys. Org. Chem. 2020, 33, e4025. [Google Scholar] [CrossRef]
- Wilson, D.W.; Nash, P.; Buttar, H.S.; Griffiths, K.; Singh, R.; De Meester, F.; Horiuchi, R.; Takahashi, T. The Role of Food Antioxidants, Benefits of Functional Foods, and Influence of Feeding Habits on the Health of the Older Person: An Overview. Antioxidants 2017, 6, 81. [Google Scholar] [CrossRef]
- Gramza-Michałowska, A.; Hęś, M.; Korczak, J. Tea extracts antioxidative potential in emulsified lipid systems. Acta Sci. Pol. Technol. Aliment. 2008, 7, 29–34. [Google Scholar]
- Gramza, A.; Khokhar, S.; Yoko, S.; Gliszczynska-Swiglo, A.; Hes, M.; Korczak, J. Antioxidant activity of tea extracts in lipids and correlation with polyphenol content. Eur. J. Lipid Sci. Technol. 2006, 108, 351–362. [Google Scholar] [CrossRef]
- Frankel, E.N.; Huang, S.W.; Kanner, J.; German, J.B. Interfacial phenomena in the evaluation of antioxidants: Bulk oils vs emulsions. J. Agric. Food Chem. 1994, 42, 1054–1059. [Google Scholar] [CrossRef]
- Decker, A. Phenolics: Prooxidants or Antioxidants? Nutr. Rev. 1997, 55, 396–398. [Google Scholar] [CrossRef] [PubMed]
- Salehi, B.; Martorell, M.; Arbiser, J.L.; Sureda, A.; Martins, N.; Maurya, P.K.; Sharifi-Rad, M.; Kumar, P.; Sharifi-Rad, J. Antioxidants: Positive or Negative Actors? Biomolecules 2018, 8, 124. [Google Scholar] [CrossRef] [PubMed]
- Sajilata, M.; Bajaj, P.R.; Singhal, R. Tea Polyphenols as Nutraceuticals. Compr. Rev. Food Sci. Food Saf. 2008, 7, 229–254. [Google Scholar] [CrossRef]
- Żyżelewicz, D.; Budryn, G.; Oracz, J.; Antolak, H.; Kręgiel, D.; Kaczmarska, M. The effect on bioactive components and characteristics of chocolate by functionalization with raw cocoa beans. Food Res. Int. 2018, 113, 234–244. [Google Scholar] [CrossRef] [PubMed]
- Todorovic, V.; Radojcic Redovnikovic, I.; Todorovic, Z.; Jankovic, G.; Dodevska, M.; Sobajic, S. Polyphenols, methylxanthines, and antioxidant capacity of chocolates produced in Serbia. J. Food Comp. Anal. 2015, 41, 137–143. [Google Scholar] [CrossRef]
- Polito, C.A.; Cai, Z.-Y.; Shi, Y.-L.; Li, X.-M.; Yang, R.; Shi, M.; Li, Q.-S.; Ma, S.-C.; Xiang, L.-P.; Wang, K.-R.; et al. Association of tea consumption with risk of Alzheimer’s disease and anti-beta-amyloid effects of tea. Nutrients 2018, 10, 655. [Google Scholar] [CrossRef]
- Ali, B.; Jamal, Q.M.S.; Shams, S.; Al-Wabel, N.A.; Siddiqui, M.U.; Alzohairy, M.A.; Al Karaawi, M.A.; Kesari, K.K.; Mushtaq, G.; Kamal, M.A. In silico analysis of green tea polyphenols as inhibitors of AChE and BChE enzymes in Alzheimer’s disease treatment. CNS Neurol. Disord. Drug 2016, 15, 624–628. [Google Scholar] [CrossRef]
- Ma, Q.P.; Huang, C.; Cui, Q.Y.; Yang, D.J.; Sun, K.; Chen, X.; Li, X.H. Meta-analysis of the association between tea intake and the risk of cognitive disorders. PLoS ONE 2016, 11, e0165861. [Google Scholar] [CrossRef]
- Lamport, D.J.; Christodoulou, E.; Achilleos, C. Beneficial effects of dark chocolate for episodic memory in healthy young adults: A parallel-groups acute intervention with a white chocolate control. Nutrients 2020, 12, 483. [Google Scholar] [CrossRef]
- Persson, I.A.; Persson, K.; Hagg, S.; Andersson, R.G. Effects of cocoa extract and dark chocolate on angiotensin-converting enzyme and nitric oxide in human endothelial cells and healthy volunteers—A nutrigenomics perspective. J. Cardiovasc. Pharmacol. 2011, 57, 44–50. [Google Scholar] [CrossRef] [PubMed]
- Katalini, M.; Bosak, A.; Kovarik, Z. Flavonoids as inhibitors of human butyrylcholinesterase variants. Food Technol. Biotechnol. 2014, 52, 64–67. [Google Scholar]
- Ide, K.; Matsuoka, N.; Yamada, H.; Furushima, D.; Kawakami, K. Effects of tea catechins on alzheimer’s disease: Recent updates and perspectives. Molecules 2018, 23, 2357. [Google Scholar] [CrossRef] [PubMed]
- Frankel, E.N. Lipid Oxidation; The Oily Press: Dundee, UK, 1998. [Google Scholar]
- Wąsowicz, E.; Gramza, A.; Hęś, M.; Jeleń, H.H.; Korczak, J.; Małecka, M.; Mildner-Szkudlarz, S.; Rudzińska, M.; Samotyja, U.; Zawirska-Wojtasiak, R. Oxidation of lipids in food. Pol. J. Food Nutr. Sci. 2004, 13, 87–100. [Google Scholar]
- Khan, M.K.; Ahmad, K.; Hassan, S.; Imran, M.; Ahmad, N.; Xu, C. Effect of novel technologies on polyphenols during food processing. Innov. Food Sci. Emerg. Technol. 2018, 45, 361–381. [Google Scholar] [CrossRef]
- Carrizo, D.; Taborda, G.; Nerín, C.; Bosetti, O. Extension of shelf life of two fatty foods using a new antioxidant multilayer packaging containing green tea extract. Innov. Food Sci. Emerg. Technol. 2016, 33, 534–541. [Google Scholar] [CrossRef]
- Jongberg, S.; Tørngren, M.A.; Skibsted, L.H. Dose-dependent effects of green tea or maté extracts on lipid and protein oxidation in brine-injected retail-packed pork chops. Medicines 2018, 5, 11. [Google Scholar] [CrossRef]






| Component | Unit | WCC | WCT | MCC | MCT | DCC | DCT |
|---|---|---|---|---|---|---|---|
| Total fat | [g/100 g] | 29.74 ± 0.36 a | 28.43 ± 0.41 a | 31.98 ± 0.97 a | 32.29 ± 2.55 a | 28.53 ± 0.24 a | 27.98 ± 1.35 a |
| Protein | [g/100 g] | 5.96 ± 0.06 a | 5.99 ± 0.12 a | 7.78 ± 0.032 c | 7.66 ± 0.09 c | 6.75 ± 0.15 b | 6.52 ± 0.24 b |
| Ash | [g/100 g] | 1.36 ± 0.01 a | 1.37 ± 0.02 a | 1.86 ± 0.01 c | 1.87 ± 0.01 c | 1.76 ± 0.03 b | 1.73 ± 0.02 b |
| Carbohydrates | [g/100 g] | 61.97 ± 0.27 ab | 63.41 ± 0.19 b | 57.08 ± 0.21 a | 57.46 ± 0.21 a | 61.91 ± 0.18 ab | 62.19 ± 0.19 b |
| Moisture | [g/100 g] | 0.95 ± 0.01 b | 0.79 ± 0.01 a | 1.29 ± 0.02 c | 1.71 ± 0.01 e | 1.32 ± 0.02 c | 1.56 ± 0.02 d |
| Energy value | [kcal/100 g] | 539 | 533 | 547 | 542 | 528 | 526 |
| [kJ/100 g] | 2255 | 2231 | 2286 | 2265 | 2212 | 2203 | |
| TPC | [mg C/100 g] | 311.80 ± 1.24 a | 882.15 ± 2.15 c | 764.25 ± 3.01 b | 1269.95 ± 5.01 d | 1791.32 ± 4.92 e | 2424.13 ± 3.28 f |
Publisher’s Note: MDPI stays neutral with regard to jurisdictional claims in published maps and institutional affiliations. |
© 2021 by the authors. Licensee MDPI, Basel, Switzerland. This article is an open access article distributed under the terms and conditions of the Creative Commons Attribution (CC BY) license (https://creativecommons.org/licenses/by/4.0/).
Share and Cite
Gramza-Michałowska, A.; Kulczyński, B.; Skopiec, M.; Kobus-Cisowska, J.; Brzozowska, A. The Effect of Yellow Tea Leaves Camellia sinensis on the Quality of Stored Chocolate Confectionery. Appl. Sci. 2021, 11, 4123. https://doi.org/10.3390/app11094123
Gramza-Michałowska A, Kulczyński B, Skopiec M, Kobus-Cisowska J, Brzozowska A. The Effect of Yellow Tea Leaves Camellia sinensis on the Quality of Stored Chocolate Confectionery. Applied Sciences. 2021; 11(9):4123. https://doi.org/10.3390/app11094123
Chicago/Turabian StyleGramza-Michałowska, Anna, Bartosz Kulczyński, Marta Skopiec, Joanna Kobus-Cisowska, and Anna Brzozowska. 2021. "The Effect of Yellow Tea Leaves Camellia sinensis on the Quality of Stored Chocolate Confectionery" Applied Sciences 11, no. 9: 4123. https://doi.org/10.3390/app11094123
APA StyleGramza-Michałowska, A., Kulczyński, B., Skopiec, M., Kobus-Cisowska, J., & Brzozowska, A. (2021). The Effect of Yellow Tea Leaves Camellia sinensis on the Quality of Stored Chocolate Confectionery. Applied Sciences, 11(9), 4123. https://doi.org/10.3390/app11094123

