Dynamic Analysis of the Rod-Fastened Rotor Considering the Characteristics of Circumferential Tie Rods
Abstract
1. Introduction
2. Theoretical Analysis
2.1. The Equivalent Flexural Stiffness (EFS) of Contact Interface
2.2. The EFS of the Shaft Segment with the Contact Interface
2.3. The Coordinate Deformation of the Tie Rods
2.4. The Displacement and Load Transfer Equations of the Tie Rods
2.5. The Equation of Motion of Rod-Fastened Rotor (RFR)
3. Results and Discussion
3.1. The Rotor Model
3.2. The Influence of Various Factors on the Dynamic Performance of RFR
3.2.1. The Effect of Preload
3.2.2. The Effect of the Coordinate Deformation of the Tie Rods
3.2.3. The Effect of the Parallel Relationship between the Tie Rods and the Rotor
3.2.4. Considering the Effects of All Factors Caused by the Tie Rods
3.2.5. The Effect of the Tie Rod Parameters on the Rotor System
4. Conclusions
- (1)
- When the rotation angle of the shaft segment with the contact surface is small, EFS of the contact surface is almost constant. When the rotation angle is large, EFS of the contact surface changes almost exponentially with the rotation angle. In the rotor dynamics analysis, the vibration angle is very small, so it is correct to ignore the influence of the rotation angle on EFS of the contact interface.
- (2)
- The greater the RMS of the height distribution of the micro-convex body σ, the smaller EFS of the contact interface. That is to say, the rougher the surface, the lower EFS of the contact surface. Therefore, EFS of the contact surface can be increased by reducing the surface roughness. The average radius of the curvature of the top of the micro-convex body β0 has almost no effect on the equivalent flexural stiffness of the contact surface.
- (3)
- When the preload is small, EFS of the shaft segment with the contact interface increases rapidly with the increase of preload. When the preload increases further, the increasing speed of EFS of the shaft segment with the contact interface gradually becomes slow. When the preload reaches a certain value, EFS of the shaft segment with the contact interface tends to be consistent with the flexural stiffness of the corresponding integral shaft segment.
- (4)
- The preload affects the contact stiffness of the contact interface of disks, which in turn affects the natural frequency of each order of the rotor system. The greater preload makes the natural frequency of the RFR closer to the natural frequency of the corresponding integral rotor within a certain range of preload. The preload affects the displacement and load transmission of the shaft segment of the rotor, which slightly reduces the flexural stiffness of the rotor and makes each order’s natural frequency decrease to a certain extent.
- (5)
- During the process of vibration of the rotor system, the coordinated deformation of the tie rods enhances the local bending stiffness of the rod-fastened shaft segment of the rotor. The coordinated deformation of the tie rods increases the first-order and third-order natural frequencies of the RFR, while decreases the second-order natural frequency of RFR. When the preload is relatively small, the effect is larger.
- (6)
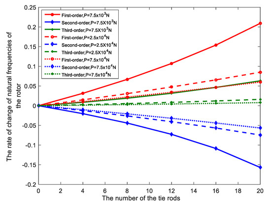
- With the increasing number of tie rods and the installation radius of the tie rods, the first-order and third-order natural frequencies increase monotonously, while the second-order natural frequency decreases monotonously. The effect of the number of tie rods and the installation radius of the tie rods on the first-order and second-order natural frequencies is larger than the effect on the third-order natural frequency. The effect of the tie rod radius on the natural frequencies of the rotor system is very small and almost negligible.
Author Contributions
Funding
Institutional Review Board Statement
Informed Consent Statement
Data Availability Statement
Conflicts of Interest
Appendix A
References
- Greenwood, J.A.; Williamson, J.B.P. Contact of nominally flat surfaces. Proceedings of the Royal Society of London. Math. Phys. Sci. Ser. A 1966, 295, 300–319. [Google Scholar]
- Mccool, J.I. The distribution of micro contact area, load, pressure and flash temperature under Greenwood-Williamson model. ASME J. Tribol. 1988, 110, 106–111. [Google Scholar] [CrossRef]
- Rao, Z.S. A Study of Dynamic Characteristic and Contact Stiffness of the Rod Fastening Composite Special Rotor. Ph.D. Thesis, Harbin Institute of Technology, Harbin, China, 1992. [Google Scholar]
- Zhao, Y.; Maietta, D.M.; Chang, L. An asperity microcontact model incorporating the transition from elastic deformation to fully plastic flow. ASME J. Tribol. 2000, 122, 86–93. [Google Scholar] [CrossRef]
- Ciavarella, M.; Greenwood, J.A.; Paggi, M. Inclusion of “interaction” in the Greenwood and Williamson contact theory. Wear 2008, 265, 729–734. [Google Scholar] [CrossRef]
- Zhao, Y.; Chang, L. A model of asperity interactions in elastic-plastic contact of rough surfaces. Asme J. Tribol. 2001, 123, 857–864. [Google Scholar] [CrossRef]
- Majumdar, A.; Bhushan, B. Fractal Model of Elastic-Plastic Contact between Rough Surfaces. J. Tribol. 1991, 113, 1–11. [Google Scholar] [CrossRef]
- Morag, Y.; Etsion, I. Resolving the contradiction of asperities plastic to elastic mode transition in current contact models of fractal rough surfaces. Wear 2007, 262, 624–629. [Google Scholar] [CrossRef]
- Hagman, L.A.; Olofsson, U. A model for micro-slip between flat surfaces based on deformation of ellipsoidal elastic asperi-ties-parametric study and experimental investigation. Tribol. Int. 1998, 31, 209–217. [Google Scholar] [CrossRef]
- Fujimoto, T.; Kagami, J.; Kawaguchi, T.; Hatazawa, T. Micro-displacement characteristics under tangential force. Wear 2000, 241, 136–142. [Google Scholar] [CrossRef]
- Allarà, M. A model for the characterization of friction contacts in turbine blades. J. Sound Vib. 2008, 320, 527–544. [Google Scholar] [CrossRef]
- Cohen, O.; Kligerman, Y.; Etsion, I. A model for contact and static friction of nominally flat rough surfaces under full stick con-tact condition. J. Tribol. 2008, 130, 031401. [Google Scholar] [CrossRef]
- Olofsson, U.; Hagman, L. A model for micro-slip between flat surfaces based on deformation of ellipsoidal elastic bodies. Tribol. Int. 1997, 30, 599–603. [Google Scholar] [CrossRef]
- Sevostianov, I.; Kachanov, M. Normal and tangential compliances of interface of rough surfaces with contacts of elliptic shape. Int. J. Solids Struct. 2008, 45, 2723–2736. [Google Scholar] [CrossRef]
- Komvopoulos, K.; Gong, Z.Q. Stress analysis of a layered elastic solid in contact with a rough surface exhibiting fractal behav-ior. Int. J. Solids Struct. 2007, 44, 2109–2129. [Google Scholar] [CrossRef]
- Hyun, S.; Pei, L.; Molinari, J.-F.; Robbins, M.O. Finite-element analysis of contact between elastic self-affine surfaces. Phys. Rev. E 2004, 70, 026117. [Google Scholar] [CrossRef]
- Pei, L.; Hyun, S.; Molinari, J.; Robbins, M. Finite element modeling of elasto-plastic contact between rough surfaces. J. Mech. Phys. Solids 2005, 53, 2385–2409. [Google Scholar] [CrossRef]
- Prasanta, S.; Niloy, G. Finite element contact analysis of fractal surfaces. J. Phys. D Appl. Phys. 2007, 40, 4245–4252. [Google Scholar]
- Sellgren, U.; Björklund, S.; Andersson, S. A finite element-based model of normal contact between rough surfaces. Wear 2003, 254, 1180–1188. [Google Scholar] [CrossRef]
- Brizmer, V.; Kligerman, Y.; Etsion, I. Elastic–plastic spherical contact under combined normal and tangential loading in full stick. Tribol. Lett. 2006, 25, 61–70. [Google Scholar] [CrossRef]
- Sellgren, U.; Andersson, S. The tangential stiffness of conformal interfaces between rough surfaces. Tribol. Tamp. 2003, 22, 3–12. [Google Scholar]
- Yuan, Q.; Gao, R.; Feng, Z.; Wang, J. Analysis of dynamic characteristics of gas turbine rotor considering contact effects and pre-tightening force. In Proceedings of the ASME Turbo Expo, Berlin, Germany, 9–13 June 2008. [Google Scholar]
- Zhang, Y.; Du, Z.; Shi, L.; Liu, S. Determination of contact stiffness of rod-fastened rotors based on modal test and finite element analysis. J. Eng. Gas Turbines Power 2010, 132. [Google Scholar] [CrossRef]
- Jam, J.E.; Meisami, F.; Nia, N.G. Vibration analysis of tie-rod/tie-bolt rotors using FEM. Int. J. Eng. Sci. Technol. 2011, 3, 7292–7300. [Google Scholar]
- Lu, M.; Geng, H.; Yang, B.; Yu, L. Finite element method for disc-rotor dynamic characteristics analysis of gas turbine rotor considering contact effects and rod preload. In Proceedings of the 2010 IEEE International Conference on Mechatronics and Automation, Xi’an, China, 4–7 August 2010. [Google Scholar]
- Peng, H.; Liu, Z.; Wang, G.; Zhang, M. Rotor Dynamic Analysis of Tie-Bolt Fastened Rotor Based on Elastic-Plastic Contact. In Proceedings of the ASME Turbo Expo, Vancouver, BC, Canada, 6–10 June 2011; pp. 365–373. [Google Scholar] [CrossRef]
- Gao, J.; Yuan, Q.; Li, P.; Feng, Z.; Zhang, H.; Lv, Z. Effects of bending moments and pre-tightening forces on the flexural stiff-ness of contact interfaces in rod-fastened rotors. J. Eng. Gas Turbines Power 2012, 134. [Google Scholar] [CrossRef]
- Yang, L.; Xu, H.; Yu, L. Study on the calculation methods of vibration characteristics of the rotor with initial bending. In Proceedings of the 2017 IEEE International Conference on Mechatronics and Automation, Takamatsu, Japan, 6–9 August 2017. [Google Scholar]
- Zhuo, M.; Yang, L.H.; Xia, K.; Yu, L. Thermal effects on the tensile forces of rods in rod-fastened rotor of heavy-duty gas turbine. Proc. Imeche Part C J. Mech. Sci. 2019, 233, 2753–2762. [Google Scholar] [CrossRef]
- Xu, H.; Yang, L.; Xu, T.; Wu, Y. Effect of Detuning of Clamping Force of Tie Rods on Dynamic Performance of Rod-Fastened Jeffcott Rotor. Math. Probl. Eng. 2021, 2021, 1–11. [Google Scholar] [CrossRef]
- Liu, H. Nonlinear Dynamic Analysis of a Flexible Rod Fastening Rotor Bearing System. Chin. J. Mech. Eng. 2010, 46. [Google Scholar] [CrossRef]
- Yi, J.; Liu, H.; Liu, Y.; Jing, M. Global nonlinear dynamic characteristics of rod-fastening rotor supported by ball bearings. Proc. Inst. Mech. Eng. Part. K J. Multi Body Dyn. 2014, 229, 208–222. [Google Scholar] [CrossRef]
- Yuan, Q.; Gao, J.; Li, P. Nonlinear dynamics of the rod-fastened Jeffcott rotor. J. Vib. Acoust. 2014, 136, 021011. [Google Scholar] [CrossRef]
- Hu, L.; Liu, Y.; Zhao, L.; Zhou, C. Nonlinear dynamic behaviors of circumferential rod fastening rotor under unbalanced pre-tightening force. Arch. Appl. Mech. 2016, 86, 1621–1631. [Google Scholar] [CrossRef]
- He, P. Analysis of Dynamic Characteristics of Distributed Rod Fastening Rotor. Master’s Thesis, Harbin Institute of Technology, Harbin, China, 2009. [Google Scholar]
- Wang, W. Study on Design Method of Contact Interface Strength and Rotor-Bearing System Dynamics for Heavy-Duty Gas Turbine Combination Rotor. Ph.D. Thesis, Xi’an Jiaotong University, Xi’an, China, 2012. [Google Scholar]
- Lie, Y.; Heng, L. Bearing—Rotor System Dynamics; Xi’an Jiaotong University Press: Xi’an, China, 2001. [Google Scholar]




















| Situations | Contact Interfaces | The Influence Coefficient of the Preload of the Rotor β | The Correction Factor of Coordinate Deformation of Tie Rods μ | The Tie Rods EIr | The Influence Coefficient of the Preload of the Tie Rods β’ |
|---|---|---|---|---|---|
| A | Considering | β = 0 | µ = 1 | EIr = 0 | β’ = 0 |
| B | Considering | β ≠ 0 | µ = 1 | EIr = 0 | β’ = 0 |
| C | Considering | β = 0 | µ ≠ 1 | EIr = 0 | β’ = 0 |
| D1 | Considering | β = 0 | µ = 1 | EIr = 0 | β’ = 0 |
| D2 | Considering | β = 0 | µ = 1 | EIr = 0 | β’ ≠ 0 |
| E | Considering | β ≠ 0 | µ ≠ 1 | EIr = 0 | β’ ≠ 0 |
| First-Order | Second-Order | Third-Order | |
|---|---|---|---|
| Natural frequencies/Hz | 123.890 | 374.675 | 732.560 |
Publisher’s Note: MDPI stays neutral with regard to jurisdictional claims in published maps and institutional affiliations. |
© 2021 by the authors. Licensee MDPI, Basel, Switzerland. This article is an open access article distributed under the terms and conditions of the Creative Commons Attribution (CC BY) license (https://creativecommons.org/licenses/by/4.0/).
Share and Cite
Xu, H.; Yang, L.; Xu, T. Dynamic Analysis of the Rod-Fastened Rotor Considering the Characteristics of Circumferential Tie Rods. Appl. Sci. 2021, 11, 3829. https://doi.org/10.3390/app11093829
Xu H, Yang L, Xu T. Dynamic Analysis of the Rod-Fastened Rotor Considering the Characteristics of Circumferential Tie Rods. Applied Sciences. 2021; 11(9):3829. https://doi.org/10.3390/app11093829
Chicago/Turabian StyleXu, Haoliang, Lihua Yang, and Tengfei Xu. 2021. "Dynamic Analysis of the Rod-Fastened Rotor Considering the Characteristics of Circumferential Tie Rods" Applied Sciences 11, no. 9: 3829. https://doi.org/10.3390/app11093829
APA StyleXu, H., Yang, L., & Xu, T. (2021). Dynamic Analysis of the Rod-Fastened Rotor Considering the Characteristics of Circumferential Tie Rods. Applied Sciences, 11(9), 3829. https://doi.org/10.3390/app11093829
