On the Influence of the Vertical Earthquake Component on Structural Responses of High-Rise Buildings Isolated with Double Friction Pendulum Bearings
Abstract
1. Introduction
2. Modelling of Base-Isolated Buildings with DFP Bearings
2.1. Bidirectional Behaviour
2.2. Considering the Vertical Excitation of Earthquakes
3. Description of Case Study and Ground Motion Inputs
- −
- effective radii = = 1968 mm,
- −
- displacement limits = = 250 mm,
- −
- friction coefficients = 0.02–0.06, = 0.06–0.1, ,
- −
- and constants in Equation (4) are selected based on the work of Constantinou [6], i.e., , , , , and .
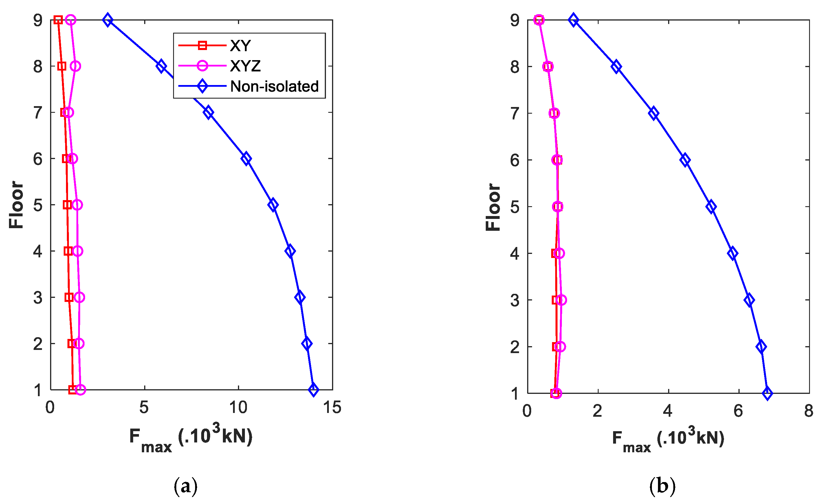
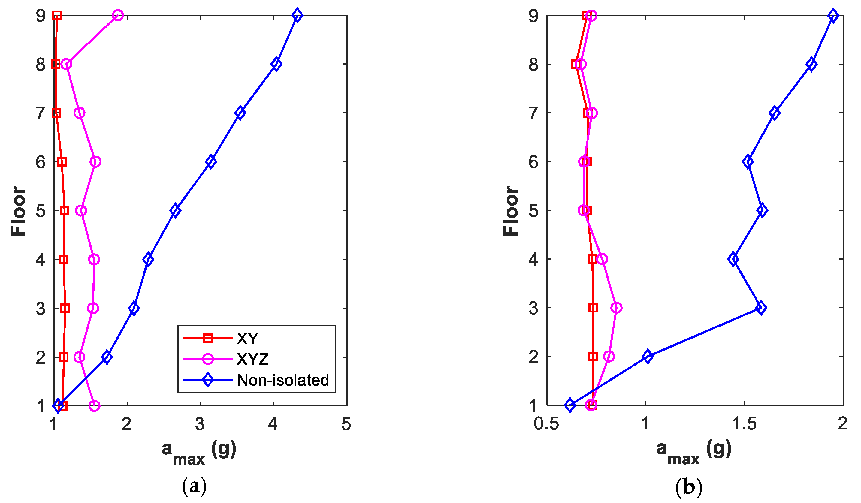
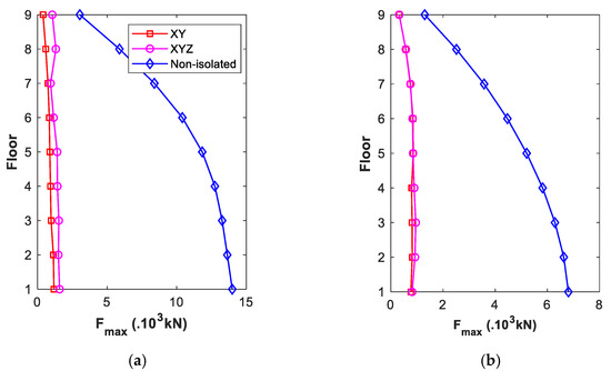
4. Analysis Results
5. Conclusions
Author Contributions
Funding
Institutional Review Board Statement
Informed Consent Statement
Data Availability Statement
Conflicts of Interest
References
- Buckle, I.G.; Mayes, R.L. Seismic Isolation: History, Application, and Performance—A World View. Earthq. Spectra 1990, 6, 161–201. [Google Scholar] [CrossRef]
- Phan, H.N.; Paolacci, F.; Corritore, D.; Akbas, B.; Uckan, E.; Shen, J.J. Seismic vulnerability mitigation of liquefied gas tanks using concave sliding bearings. Bull. Earthq. Eng. 2016, 14, 3283–3299. [Google Scholar] [CrossRef]
- Tsai, C.S.; Chiang, T.; Chen, B. Seismic behavior of MFPS isolated structure under near-fault sources and strong ground motions with long predominant periods. In Proceedings of the ASME 2003 Pressure Vessels and Piping Conference, Cleveland, OH, USA, 20–24 July 2003; pp. 73–79. [Google Scholar]
- Tsai, C.S.; Cheng, T.; Chen, B.J. Experimental evaluation of piecewise exact solution for predicting seismic responses of spherical sliding type isolated structures. Earthq. Eng. Struct. Dyn. 2005, 34, 1027–1046. [Google Scholar] [CrossRef]
- Tsai, C.S.; Chen, W.S.; Chiang, T.C.; Chen, B.J. Component and shaking table tests for full-scale multiple friction pendulum system. Earthq. Eng. Struct. Dyn. 2006, 35, 1653–1675. [Google Scholar] [CrossRef]
- Constantinou, M.C. Friction Pendulum Double Concave Bearing; Technical Report; University at Buffalo, State University of New York: Buffalo, NY, USA, 2004. [Google Scholar]
- Fenz, D.M.; Constantinou, M.C. Behaviour of the double concave Friction Pendulum bearing. Earthq. Eng. Struct. Dyn. 2006, 35, 1403–1424. [Google Scholar] [CrossRef]
- Fenz, D.M.; Constantinou, M.C. Spherical sliding isolation bearings with adaptive behavior: Theory. Earthq. Eng. Struct. Dyn. 2008, 37, 163–183. [Google Scholar] [CrossRef]
- Kim, Y.S.; Yun, C.B. Seismic response characteristics of bridges using double concave friction pendulum bearings with tri-linear behaviour. Eng. Struct. 2007, 29, 3082–3093. [Google Scholar] [CrossRef]
- Pnevmatikos, N.; Konstandakopoulou, F.; Papagiannopoulos, G.; Hatzigeorgiou, G.; Papavasileiou, G. Influence of Earthquake Rotational Components on the Seismic Safety of Steel Structures. Vibration 2020, 3, 42–50. [Google Scholar] [CrossRef]
- Faramarz, K.; Montazar, R. Seismic response of double concave friction pendulum base-isolated structures considering vertical component of earthquake. Adv. Struct. Eng. 2010, 13, 1–13. [Google Scholar] [CrossRef]
- Zhou, F.; Xiang, W.; Ye, K.; Zhu, H. Theoretical study of the double concave friction pendulum system under variable vertical loading. Adv. Struct. Eng. 2019, 22, 1998–2005. [Google Scholar] [CrossRef]
- Bao, Y.; Becker, T. Three-dimensional double friction pendulum bearing model including uplift and impact behavior: Formulation and numerical example. Eng. Struct. 2019, 199, 109579. [Google Scholar] [CrossRef]
- Fenz, D.M.; Constantinou, M.C. Development, Implementation and Verification of Dynamic Analysis Models for Multi-Spherical Sliding Bearings; Technical Report MCEER-08-0018; Multidisciplinary Center for Earthquake Engineering Research, State Univeraity of New York at Buffalo: Buffalo, NY, USA, 2008. [Google Scholar]
- Ryan, K.L.; Dao, N.D. Influence of Vertical Ground Shaking on Horizontal Response of Seismically Isolated Buildings with Friction Bearings. J. Struct. Eng. 2015, 142, 04015089. [Google Scholar] [CrossRef]
- Sarlis, A.A.; Constantinou, M.C. A model of triple friction pendulum bearing for general geometric and frictional parameters. Earthq. Eng. Struct. Dyn. 2016, 45, 1837–1853. [Google Scholar] [CrossRef]
- The MathWorks, Inc. 2019. Documentation. Available online: https://www.mathworks.com/help/matlab (accessed on 4 January 2021).
- Katsimpini, P.; Konstandakopoulou, F.; Papagiannopoulos, G.; Pnevmatikos, N.; Hatzigeorgiou, G. Seismic Performance of Steel Structure-Foundation Systems Designed According to Eurocode 8 Provisions: The Case of Near-Fault Seismic Motions. Buildings 2020, 10, 63. [Google Scholar] [CrossRef]
- Pacific Earthquake Engineering Research Center (PEER) Ground Motion Database. Available online: http://ngawest2.berkeley.edu (accessed on 18 January 2021).
- Gorai, S.; Maity, D. Numerical investigation on seismic behaviour of aged concrete gravity dams to near source and far source ground motions. Nat. Hazards 2021, 105, 943–966. [Google Scholar] [CrossRef]













| N. | Event | Station | Soil Type | PGA (g) | ||||
|---|---|---|---|---|---|---|---|---|
| X | Y | Z | ||||||
| Record 1 | Northridge-01 (1994) | Rinaldi Receiving | 6.69 | 6.50 | D | 0.874 | 0.472 | 0.958 |
| Record 2 | Northridge-01 (1994) | LA-Obregon Park | 6.69 | 37.36 | D | 0.568 | 0.514 | 0.217 |
| Ground Motion | Response | Non-Isolated | Isolated (XY) | Per. of Reduc. (%) | Isolated (XYZ) | Per. of Reduc. (%) |
|---|---|---|---|---|---|---|
| Record 1 (near-source) | Roof accel.-X (g) | 4.285 | 1.038 | 76 | 1.690 | 61 |
| Roof accel.-Y (g) | 1.760 | 0.608 | 65 | 1.038 | 41 | |
| 1st-floor shear-X (kN) | 1.331 × | 1.033 × | 92 | 1.409 × | 89 | |
| 1st-floor shear-Y (kN) | 5.988 × | 9.332 × | 84 | 1.197 × | 80 | |
| Record 2 (far-field) | Roof accel.-X (g) | 1.741 | 0.582 | 67 | 0.617 | 65 |
| Roof accel.-Y (g) | 1.890 | 0.610 | 68 | 0.623 | 67 | |
| 1st-floor shear-X (kN) | 4.546 × | 6.017 × | 87 | 6.788 × | 85 | |
| 1st-floor shear-Y (kN) | 6.564 × | 6.996 × | 89 | 7.255 × | 89 |
Publisher’s Note: MDPI stays neutral with regard to jurisdictional claims in published maps and institutional affiliations. |
© 2021 by the authors. Licensee MDPI, Basel, Switzerland. This article is an open access article distributed under the terms and conditions of the Creative Commons Attribution (CC BY) license (https://creativecommons.org/licenses/by/4.0/).
Share and Cite
Hoang, P.H.; Phan, H.N.; Nguyen, V.N. On the Influence of the Vertical Earthquake Component on Structural Responses of High-Rise Buildings Isolated with Double Friction Pendulum Bearings. Appl. Sci. 2021, 11, 3809. https://doi.org/10.3390/app11093809
Hoang PH, Phan HN, Nguyen VN. On the Influence of the Vertical Earthquake Component on Structural Responses of High-Rise Buildings Isolated with Double Friction Pendulum Bearings. Applied Sciences. 2021; 11(9):3809. https://doi.org/10.3390/app11093809
Chicago/Turabian StyleHoang, Phuong Hoa, Hoang Nam Phan, and Van Nam Nguyen. 2021. "On the Influence of the Vertical Earthquake Component on Structural Responses of High-Rise Buildings Isolated with Double Friction Pendulum Bearings" Applied Sciences 11, no. 9: 3809. https://doi.org/10.3390/app11093809
APA StyleHoang, P. H., Phan, H. N., & Nguyen, V. N. (2021). On the Influence of the Vertical Earthquake Component on Structural Responses of High-Rise Buildings Isolated with Double Friction Pendulum Bearings. Applied Sciences, 11(9), 3809. https://doi.org/10.3390/app11093809

