Employing Finite Element Analysis and Robust Control Concepts in Mechatronic System Design-Flexible Manipulator Case Study
Abstract
1. Introduction
2. Materials and Methods
2.1. Flexible Arm Benchmark Problem
- Distributed parameter system exhibiting oscillatory dynamics with a possible introduction of multiple resonance modes, nonlinear friction effects and parametric uncertainty (e.g., load mass and/or position)
- A diverse range of dynamic response achievable by adjusting/interchanging the attached load
- Both actuator and load-side feedback possible through the optical encoder at the motor shaft and MEMS accelerometers attached to the load
- Industrial grade drive system with servo amplifier implementing field-oriented control loop
- EtherCAT communication with 5 kHz update rate to the B&R Automation PC master controller
- Hard real-time Linux-based software environment with REXYGEN control system [10]
2.2. Analytical Modelling of Flexible Mechanisms Using Euler–Bernoulli Beam Theory
2.3. Control-Relevant Modelling Using Finite Element Method
- Building, linearising and reducing a model of the system that has to be controlled. This can include a model of the uncertainty.
- Controller design with the reduced model.
- Simulation or co-simulation with the original non-linear model.
2.3.1. Finite Element Analysis
2.3.2. Model Order Reduction
2.3.3. FMU Model
2.3.4. Extension to Non-Linear ROMs
2.4. Data-Driven System Identification
- Experimental identification for direct derivation of a control-relevant modelThe first scenario is relevant for the final phases of machine construction, assembly and control system commissioning. The data gathered from an experiment with the real plant may often offer more information than first-principle models. This is due to several factors usually not taken into consideration when developing the analytical and FEM models such as actuator/sensor dynamics and noise characteristics, unknown material properties or construction tolerances, and varying assembly conditions, e.g., clamping, tightening, and friction forces. The first-principle models may be used to derive a proper structure of the control-relevant model, e.g., by estimating a number of oscillatory modes in the target bandwidth range. The data-driven identification provides parameters for the assumed model structure. The result is used for the subsequent control algorithm design.
- Experimental identification as a means for improving quality of the physics-based modelsThis scenario involves early stages of development that often use various testbeds and prototype designs for the validation of predictions made by physics-based models. Employment of the experiments allows the geometrical or analytical models to be further refined. The location and damping of the eigenmodes acquired from the experiments may be used to tune material and geometrical properties in the first-principle models, extending their predictive and extrapolation capabilities. In this way, the amount of model uncertainty can be vastly reduced.
- Utilisation of deterministic periodic excitation signals for the experiments allowing to employ powerful averaging techniques to mitigate measurement noise and transient dynamics effects;
- Derivation of non-parametric frequency response function (FRF) as an intermediate step that may serve for model validation, providing a description of the oscillatory dynamics in a more natural way than time-domain models;
- Possibility of derivation of non-parametric noise models allowing model uncertainty to be evaluated;
- Numerically robust algorithms available for synthesis of the parametric transfer function models.
2.4.1. Optimal Excitation Signal Generation
- Simultaneous excitation over the frequency band of interest resulting in shorter experiment duration;
- Improved signal-to-noise ratios compared to stochastic random noise excitations;
- Periodic nature allowing to measure multiple realisations of the executed motion trajectory to mitigate noise and transient leakage effects
- Possibility of optimisation of testing signal power spectrum, e.g., to minimise the resulting crest factor, shaping the energy fed to the feedback loop under closed-loop experimental conditions.
2.4.2. Non-Paramateric FRF Model Computation
2.4.3. Complex Curve Fitting by Nonlinear Least Squares Optimisation
2.5. Robust Control Design
- Formulation of the design specifications in the frequency domain by imposing arbitrary closed-loop weighted sensitivity inequalities;
- Possibility of automatic calculations for the auto-tuning purposes;
- Generic method for an arbitrary LTI system described by a rational transfer function + time delay;
- Suitable for robust controller design using structured or unstructured uncertainty models;
- Analytical method for the computation of the admissible set of controllers, no performance losses due to approximations, model reduction or non-convex numerical optimisation.
H-Infinity Loop-Shaping Design of a Fixed-Structure Controller
- internally stabilises the closed-loop;
- used in the design criterion is stable;
- The H-infinity condition holds.
3. Results
3.1. Analytical Model Development Using Euler–Bernoulli Beam Theory
3.2. Workflow Using Commercial FEA Software
3.2.1. FEM Model and Linearization
3.2.2. Model Reduction
- Initial reduction using the mode displacement method and all modes up to some frequency that is considered to be high enough.
- Secondary reduction by balanced truncation. This turns balanced truncation into a mode selection method.
- Overly simplistic point two-mass model of the actuator and arm connection that is a source of the oscillatory dynamics around 500 Hz;
- Neglected machine frame dynamics (as in the case of the FEM model).
3.3. Combining First-Principle Models with Experimental Observations
3.4. Geometry and Stiffness
3.5. Damping
3.6. Load-Mass Parametric Uncertainty Modelling
3.7. Model-Based Robust Feedback Control Design
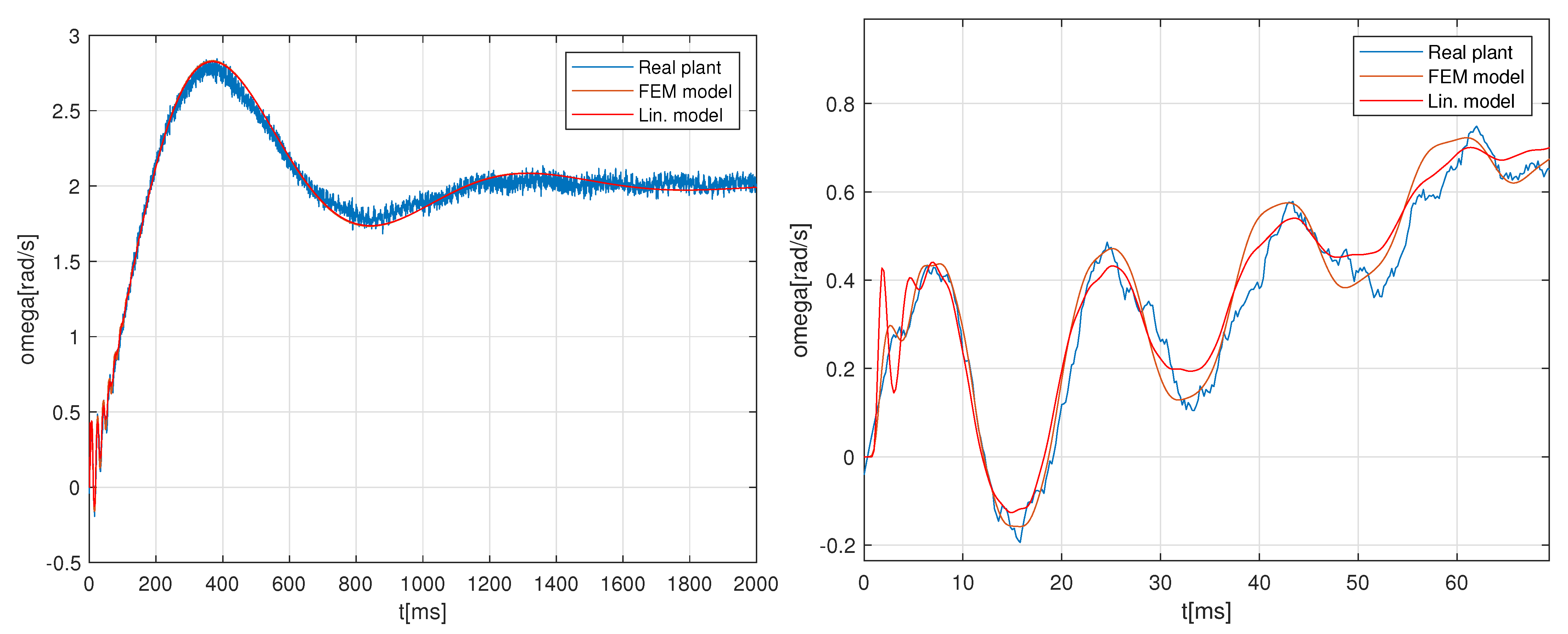
3.8. Experimental Closed-Loop Validation
3.9. Additional Validation: Extended Range of Solicitations for Disturbance Rejection Test
- The spacer and the base plate were considered as clamped.
- The Cardan joint was simplified. Each of the two Cardan discs was replaced by a hinge with an internal rotation spring. The stiffness of this spring was updated to achieve the right eigenfrequencies of interest. The final value used in the simulations is 2340 N.m/rad.
- Case 1: 70% of maximum actuator torque (reference case from the previous section);
- Case 2: 7% of maximum actuator torque;
- Case 3: 700% of maximum actuator torque (unreachable experimentally).
- Case 2 was scaled by a factor 10 for comparison with reference case (case 1);
- Case 3 was scaled by a factor 1/10 for comparison with reference case (case 1).
4. Discussion and Concluding Remarks
- Even simple systems such as our flexible manipulator benchmark exhibit complex dynamic behaviour when mechanical compliance comes into play and the resonance frequencies of the bending modes overlap with target closed-loop bandwidth. Care must be taken in all the steps of design, modelling, identification, and control.
- Analytical modelling methods can provide valuable insight to general properties of flexible systems. However, explosion of complexity in the case of nontrivial geometric and material properties may be the main limitation for their practical utilisation.
- Finite element analysis proved to be an invaluable modelling tool capable of delivering high-fidelity models based on the machine geometry. Still, there are remaining open issues when using FEM models for a control design purpose. The linearisation and reduction steps that are necessary to produce useful control-relevant models require careful choices in terms of balancing the fidelity and complexity of the outcomes. Dynamic transient simulations with full-scale nonlinear FEM models require an excessive amount of computations. The user then has to weigh potential benefits in comparison with simple linear simulations. Intermediate simplified nonlinear models may be needed to deliver expected results in reasonable time. Our benchmark problem has shown that even well-developed linear reduced-order models can provide high-fidelity predictions of both open- and closed-loop machine behaviour.
- It was demonstrated that the use of the full 3D nonlinear simulation was not mandatory for the current application, and the ROM proved to be sufficient for the purpose of control design and closed-loop performance predictions. Considering the applicable level of solicitations, the flexible arm of the manipulator is not submitted to significant NL vibrations. Nevertheless, this conclusion will not be valid for different operating conditions far from the assumed point of linearisation and for other mechatronic systems with very low stiffness.
- System identification methods offer powerful algorithms capable of extracting information from experimental data. Especially in the linear domain, many highly capable and practice-proven methods are readily available. Experimental observations can support both the modelling and control design phases of the machine development cycle. Machine geometry, stiffness, and damping can be tuned in the analytical or FEM models based on the experiments to improve their predictive capability, as shown in our use case. On the other hand, models from data can be often directly used for the purpose of control design. The two realms of first-principle modelling and data-driven identification can be connected to benefit from both prior information and experimental observations. This approach is expected to be accented more in a near future with the arrival of the Digital Twin concepts requiring the models to be continuously updated with experimental data and live parallel lives with their physical counterparts.
- The FEA is very useful for extrapolating its predictions in case of machine design changes. The expected dynamic behaviour can be estimated without the necessity of construction and assembly of numerous prototypes to gather experimental data. This was demonstrated on our variable load-mass position scenario. The FEM model was highly capable of predicting both open- and closed-loop behaviour of our machine.
- Robust design of fixed-structure controllers is still an open topic for research. We have demonstrated a successful utilisation of recent loopshaping method that is a very promising approach in this direction. Unlike many methods of modern control theory, it can directly provide parameters of simple controllers directly applicable in industrial-grade hardware. Moreover, it offers a topological perspective on the control design problem, offering deeper insight into achievable closed-loop performance, as demonstrated in our variable load scenario.
5. Future Research
Author Contributions
Funding
Institutional Review Board Statement
Informed Consent Statement
Data Availability Statement
Conflicts of Interest
Abbreviations
| FE | Finite Element |
| FEA | Finite Element Analysis |
| FEM | Finite Element Method |
| FMU | Functional Mock-up Unit |
| FRF | Frequency response function |
| LPV | Linear parameter-varying |
| LTI | Linear time-invariant |
| MDPI | Multidisciplinary Digital Publishing Institute |
| MEMS | Micro Electro-Mechanical Systems |
| PI(D) | Proportional-Integral-(Derivative) controller |
| NL | nonlinear |
| H-infinity norm of a linear time-invariant system | |
| ROM | Reduced Order Model |
References
- Ljung, L. System Identification: Theory for the User, 2nd ed.; Pearson: London, UK, 1999. [Google Scholar]
- Pintelon, R.; Schoukens, J. System Identification, A Frequency Domain Approach; Wiley: Hoboken, NJ, USA, 2012. [Google Scholar]
- Söderström, T.; Stoica, P. System Identification; Prentice Hall: Hoboken, NJ, USA, 1989. [Google Scholar]
- Knapp, G.; Mukherjee, T.; Zuback, J.; Wei, H.; Palmer, T.; De, A.; DebRoy, T. Building blocks for a digital twin of additive manufacturing. Acta Mater. 2017, 135, 390–399. [Google Scholar] [CrossRef]
- Kritzinger, W.; Karner, M.; Traar, G.; Henjes, J.; Sihn, W. Digital Twin in manufacturing: A categorical literature review and classification. IFAC-PapersOnLine 2018, 51, 1016–1022. [Google Scholar] [CrossRef]
- Stark, R.; Kind, S.; Neumeyer, S. Innovations in digital modelling for next generation manufacturing system design. CIRP Ann. 2017, 66, 169–172. [Google Scholar] [CrossRef]
- Kunath, M.; Winkler, H. Integrating the Digital Twin of the manufacturing system into a decision support system for improving the order management process. Procedia CIRP 2018, 72, 225–231. [Google Scholar] [CrossRef]
- Zienkiewicz, O.; Taylor, R.; Zhu, J. The Finite Element Method: Its Basis and Fundamentals; The Finite Element Method; Elsevier Science: Amsterdam, The Netherlands, 2013. [Google Scholar]
- Hughes, T. The Finite Element Method: Linear Static and Dynamic Finite Element Analysis; Dover Civil and Mechanical Engineering; Dover Publications: New York, NY, USA, 2000. [Google Scholar]
- REXYGEN-Programming Automation Devices without Hand Coding. Available online: www.rexygen.com (accessed on 4 March 2021).
- Goubej, M.; Vyhlídal, T.; Schlegel, M. Frequency weighted H2 optimization of multi-mode input shaper. Automatica 2020, 121, 109202. [Google Scholar] [CrossRef]
- Goubej, M.; Meeusen, S.; Mooren, N.; Oomen, T. Iterative learning control in high-performance motion systems: From theory to implementation. In Proceedings of the 2019 24th IEEE International Conference on Emerging Technologies and Factory Automation (ETFA), Zaragoza, Spain, 10–13 September 2019; pp. 851–856. [Google Scholar] [CrossRef]
- Goubej, M.; Schlegel, M. PI Plus Repetitive Control Design: H-infinity Regions Approach. In Proceedings of the 2019 22nd International Conference on Process Control (PC19), Strbske Pleso, Slovakia, 11–14 June 2019; pp. 62–67. [Google Scholar] [CrossRef]
- Helma, V.; Goubej, M.; Ježek, O. Acceleration Feedback in PID Controlled Elastic Drive Systems. IFAC-PapersOnLine 2018, 51, 214–219. [Google Scholar] [CrossRef]
- Axelsson, P.; Helmersson, A.; Norrlöf, M. H-infinity Controller Design Methods Applied to One Joint of a Flexible Industrial Manipulator. IFAC Proc. Vol. 2014, 47, 210–216. [Google Scholar] [CrossRef]
- Moberg, S.; Ohr, J.; Gunnarsson, S. A Benchmark Problem for Robust Feedback Control of a Flexible Manipulator. IEEE Trans. Control Syst. Technol. 2009, 17, 1398–1405. [Google Scholar] [CrossRef]
- Harada, K.; Yoshida, E.; Yokoi, K. Motion Planning for Humanoid Robots; Springer: Berlin, Germany, 2010. [Google Scholar]
- Boscariol, P.; Richiedei, D. Optimization of Motion Planning and Control for Automatic Machines, Robots and Multibody Systems. Appl. Sci. 2020, 10, 4982. [Google Scholar] [CrossRef]
- Paszkiel, S. The Use of Facial Expressions Identified from the Level of the EEG Signal for Controlling a Mobile Vehicle Based on a State Machine. In Automation 2020: Towards Industry of the Future; Szewczyk, R., Zieliński, C., Kaliczyńska, M., Eds.; Springer International Publishing: Cham, Switzerland, 2020; pp. 227–238. [Google Scholar]
- Morin, D. Introduction to Classical Mechanics: With Problems and Solutions; Cambridge University Press: Cambridge, UK, 2008. [Google Scholar]
- Oñate, E. Structural Analysis with the Finite Element Method. Linear Statics: Volume 2: Beams, Plates and Shells; Springer Science & Business Media: Berlin, Germany, 2013. [Google Scholar]
- Hutton, D.V. Fundamentals of Finite Element Analysis; McGraw-Hill Science: New York, NY, USA, 2004. [Google Scholar]
- Al-Bedoor, B.; Almusallam, A. Dynamics of flexible-link and flexible-joint manipulator carrying a payload with rotary inertia. Mech. Mach. Theory 2000, 35, 785–820. [Google Scholar] [CrossRef]
- Mahto, S. Effects of System Parameters and Controlled Torque on the Dynamics of Rigid-Flexible Robotic Manipulator. J. Robot. Netw. Artif. Life 2016, 3, 116–123. [Google Scholar] [CrossRef][Green Version]
- Muhammad, A.K.; Okamoto, S.; Lee, J.H. Computer simulations on vibration control of a flexible single-link manipulator using finite-element method. In Proceedings of the 19th International Symposium of Artificial Life and Robotics, Beppu, Japan, 22–24 January 2014; pp. 381–386. [Google Scholar]
- Mahto, S.; Dixit, U. Parametric Study of Double Link Flexible Manipulator. Univers. J. Mech. Eng. 2014, 2, 211–219. [Google Scholar] [CrossRef]
- Besselink, B.; Tabak, U.; Lutowska, A.; van de Wouw, N.; Nijmeijer, H.; Rixen, D.; Hochstenbach, M.; Schilders, W. A comparison of model reduction techniques from structural dynamics, numerical mathematics and systems and control. J. Sound Vib. 2013, 332, 4403–4422. [Google Scholar] [CrossRef]
- Aarts, R.; Jonker, J. Dynamic Simulation of Planar Flexible Link Manipulators using Adaptive Modal Integration. Multibody Syst. Dyn. 2002, 7, 31–50. [Google Scholar] [CrossRef]
- Bruls, O. Integrated Simulation and Reduced-Order Modeling of Controlled Flexible Multibody Systems. Ph.D. Thesis, Université de Liège, Liège, Belgique, 2005. [Google Scholar]
- Marquardt, D. An algorithm for least-squares estimation of nonlinear parameters. SIAM J. Appl. Math. 1963, 11, 431–441. [Google Scholar] [CrossRef]
- Gumussoy, S.; Overton, M.L. Fixed-order H-infinity controller design via HIFOO, a specialized nonsmooth optimization package. In Proceedings of the 2008 American Control Conference, Washington, DC, USA, 11–13 June 2008; pp. 2750–2754. [Google Scholar] [CrossRef]
- Schlegel, M.; Medvecová, P. Design of PI Controllers: H-infinity Region Approach. IFAC-PapersOnLine 2018, 51, 13–17. [Google Scholar] [CrossRef]
- Goubej, M.; Schlegel, M.; Vyhlídal, T. Robust Controller Design for Feedback Architectures with Signal Shapers. In IFAC-PapersOnLine; IFAC World Congress 2020: Berlin, Germany, 2021. [Google Scholar]
- Brabec, M. PID Controller Design Based on H-Infinity Optimization Method-MSc Thesis; University of West Bohemia: Pilsen, Czechia, 2020. [Google Scholar]
- Coppolino, R.N. Structural Dynamic Modeling: Tales of Sin and Redemption. In Special Topics in Structural Dynamics; Allemang, R., Ed.; Springer International Publishing: Cham, Switzerland, 2015; Volume 6, pp. 63–73. [Google Scholar]
- Goubej, M. Fundamental performance limitations in PID controlled elastic two-mass systems. In Proceedings of the 2016 IEEE International Conference on Advanced Intelligent Mechatronics (AIM), Banff, AL, Canada, 12–15 July 2016; pp. 828–833. [Google Scholar] [CrossRef]
- Čech, M.; Beltman, A.; Ozols, K. I-MECH—Smart System Integration for Mechatronic Applications. In Proceedings of the 2019 24th IEEE International Conference on Emerging Technologies and Factory Automation (ETFA), Zaragoza, Spain, 10–13 September 2019. [Google Scholar] [CrossRef]



























| Main actuator | TG Drives TGN3-0480-5-320 |
|---|---|
| : Rated speed | 1200 rpm |
| : Maximum speed | 12,000 rpm |
| : DC Bus Voltage | 320 V |
| : Rated torque | 4.7 Nm |
| : Peak torque | 14.4 Nm |
| : Rated power | 590 W |
| : Rotor inertia | 1.5 |
| Motor-load coupling | Direct connection to bearing house via flexible coupling |
| Servoamplifier | TG Drives TGZ-320 |
| : Operating power | 1600 W for S1 operation |
| : Maximum continuous current | 5 A |
| : Maximum output current (5s) | 10 A |
| Current control loop | Field Oriented Control with position feedback |
| Fieldbus | EtherCAT, 5 kHz update rate |
| Sensors | Motor and load side feedback |
| Motor position/velocity | Integrated optical encoder, 20 bits/rev resolution, Hiperface DSL interface |
| Arm acceleration | Kistler piezo-ceramic MEMS accerlerometers, ±50 g range |
| Supervisory control system | |
| HW platform | B&R Automation PC 910 |
| Operating system | Debian Linux with RT patch |
| Real-time SW environment | REXYGEN control system |
| L: Length of the arm | 0.235 |
| : Density of the arm material | 8030 |
| E: Young’s modulus of the material | 190,295,301,291.7 N m−2 |
| I: Second moment of the link area | 6.5182 × 10−11 |
| S: Cross section area | 8.9274 × 10−5 |
| : Mass per one element | 0.7169 kg m−1 |
| : Mass of the payload | 1.049 |
| : Moment inertia of the hub | 0.0024 |
| Reference Following | Disturbance Rejection | |||
|---|---|---|---|---|
| Linear ROM | 0.0455 | 0.405 | 5.82 | 40 |
| Full scale nonlinear FEM | 0.0449 | 0.279 | 3.05 | 31.7 |
Publisher’s Note: MDPI stays neutral with regard to jurisdictional claims in published maps and institutional affiliations. |
© 2021 by the authors. Licensee MDPI, Basel, Switzerland. This article is an open access article distributed under the terms and conditions of the Creative Commons Attribution (CC BY) license (https://creativecommons.org/licenses/by/4.0/).
Share and Cite
Goubej, M.; Königsmarková, J.; Kampinga, R.; Nieuwenkamp, J.; Paquay, S. Employing Finite Element Analysis and Robust Control Concepts in Mechatronic System Design-Flexible Manipulator Case Study. Appl. Sci. 2021, 11, 3689. https://doi.org/10.3390/app11083689
Goubej M, Königsmarková J, Kampinga R, Nieuwenkamp J, Paquay S. Employing Finite Element Analysis and Robust Control Concepts in Mechatronic System Design-Flexible Manipulator Case Study. Applied Sciences. 2021; 11(8):3689. https://doi.org/10.3390/app11083689
Chicago/Turabian StyleGoubej, Martin, Jana Königsmarková, Ronald Kampinga, Jakko Nieuwenkamp, and Stéphane Paquay. 2021. "Employing Finite Element Analysis and Robust Control Concepts in Mechatronic System Design-Flexible Manipulator Case Study" Applied Sciences 11, no. 8: 3689. https://doi.org/10.3390/app11083689
APA StyleGoubej, M., Königsmarková, J., Kampinga, R., Nieuwenkamp, J., & Paquay, S. (2021). Employing Finite Element Analysis and Robust Control Concepts in Mechatronic System Design-Flexible Manipulator Case Study. Applied Sciences, 11(8), 3689. https://doi.org/10.3390/app11083689

