Study of Static and Dynamic Properties of Sand under Low Stress Compression
Abstract
1. Introduction
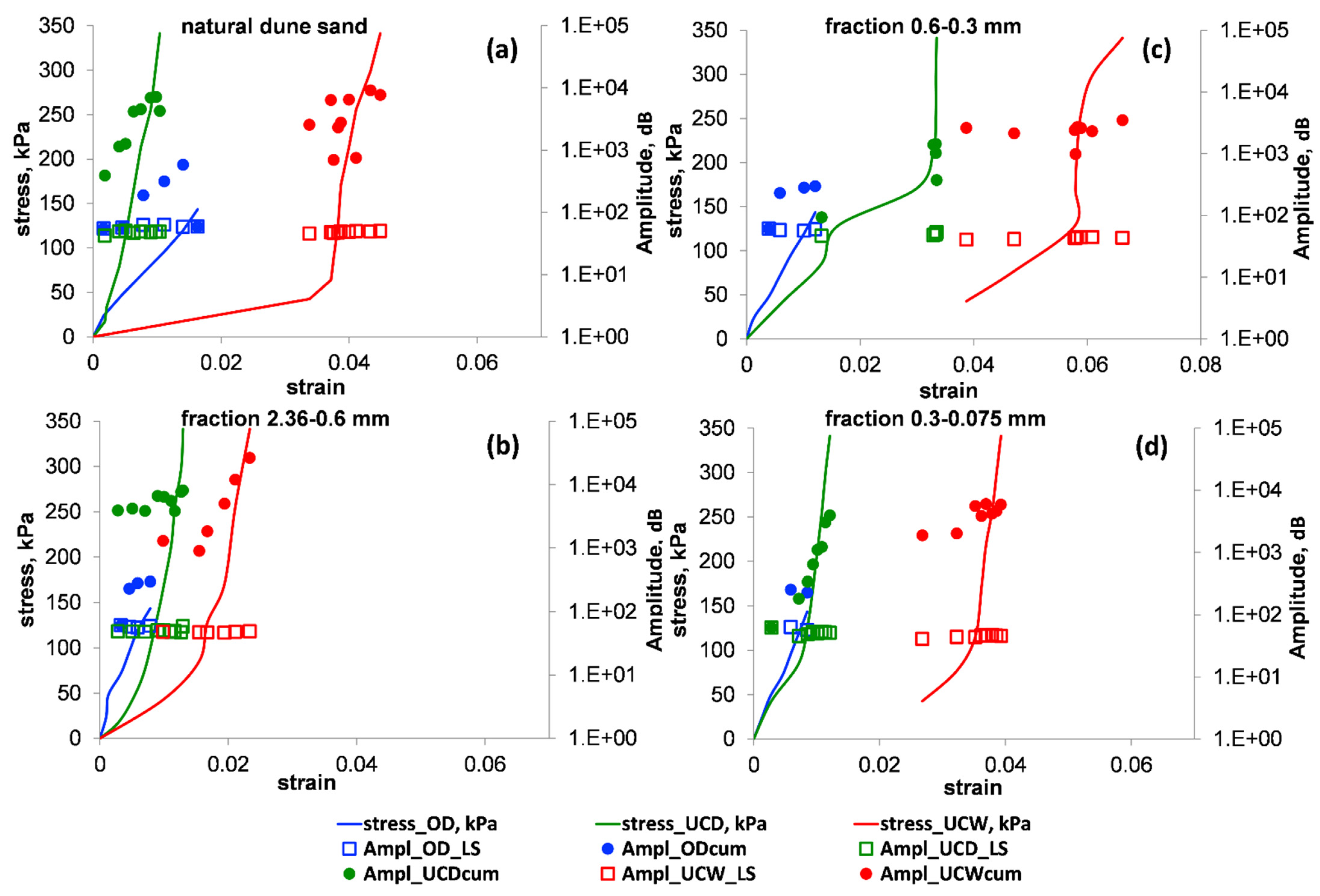
- The comparison of sand loading using an oedometer and an uniaxial compression machine in the pre-yield regime (under low stress), in terms of combined AE and US measurements;
- The analysis of sensitivity of different time domain AE parameters to the stress–strain changes;
- The loading of the wide range of sand grain sizes of 0.075–4.75 mm (natural poorly graded dune sand) as well as its three extracted fractions as follows: 2.36–0.6 mm, 0.6–0.3 mm and 0.3–0.075 mm.
2. Materials and Methods
2.1. Methods
2.2. The Procedure of Sample Preparation
3. Results
3.1. Two Sub-Zones of Sample Deformation
3.2. The Results of US Measurements
3.3. The Results of AE Measurements
- The cumulative number of each parameter at a loading stage (, where means the parameter studied, while the index means that summation was done for loading stage;
- The average value of a parameter per AE hits number at loading stage, such that , where NH means the number of hits at a loading stage, while index means that summation was done for the value loading stages.
3.3.1. AE Hit Number
3.3.2. Rise Time
3.3.3. Counts
3.3.4. Energy
3.3.5. Duration
3.3.6. Amplitude
3.3.7. Average Frequency
3.3.8. Peak Number
3.3.9. Absolute Energy
3.3.10. Summary of AE Results
4. Conclusions
Author Contributions
Funding
Institutional Review Board Statement
Informed Consent Statement
Data Availability Statement
Acknowledgments
Conflicts of Interest
References
- Hallbauer, D.K.; Wagner, H.; Cook, N.G.W. Some observations concerning the microscopic and mechanical behaviour of quartzite specimens in stiff, triaxial compression tests. Int. J. Rock Mech. Min. Sci. Geomech. Abstr. 1973, 10, 713–726. [Google Scholar] [CrossRef]
- Kuksenko, V.S.; Manzikov, V.; Mansurov, V.A. Regularities in the development of microfocal rupture. Izvesiya Earth Phys. 1985, 21, 553–556. [Google Scholar]
- Lockner, D.; Reches, Z. Nucleation and growth of faults in brittle rocks. J. Geophys. Res. Solid Earth 1994, 99, 18159–18173. [Google Scholar]
- Guha, S.K. Induced Earthquakes; Kluwer Academic Publisher: Dordrecht, The Netherlands, 2000; p. 313. [Google Scholar]
- Thompson, B.D.; Young, R.P.; Lockner, D.A. Fracture in westerly granite under AE feedback and constant strain rate loading: Nucleation, quasi-static propagation, and the transition to unstable fracture propagation. Pure Appl. Geophys. 2006, 163, 995–1019. [Google Scholar] [CrossRef]
- Goebel, T.H.W.; Schorlemmer, D.; Becker, T.W.; Dresen, G.; Sammis, C.G. Acoustic emissions document stress changes over many seismic cycles in stick-slip experiments. Geophys. Res. Lett. 2013, 40, 2049–2054. [Google Scholar] [CrossRef]
- Goodfellow, S.D.; Young, R.P. A laboratory acoustic emission experiment under in situ conditions. Geophys. Res. Lett. 2014, 41, 3422–3430. [Google Scholar] [CrossRef]
- McLaskey, G.C.; Lockner, D.A. Calibrated acoustic emission system records M 23.5 to M 28 events generated on a saw-cut granite sample. Rock Mech. Rock Eng. 2016, 49, 4527–4536. [Google Scholar] [CrossRef]
- Frid, V.; Shabarov, A. Modern principles of nondestructive stress monitoring in mine workings-Overview. In EUROCK2018: Geomechanics and Geodynamics of Rock Masses, Proceedings of the 2018 European Rock Mechanics Symposium, Saint Petersburg, Russia, 22–26 May 2018; Taylor & Francis Group: London, UK, 2018; pp. 513–518. [Google Scholar]
- Rehes, Z. Mechanisms of slip nucleation during earthquakes. Earth Planet. Sci. Lett. 1999, 170, 475–486. [Google Scholar] [CrossRef]
- Liang, Y.; Li, Q.; Gu, Y.; Zou, Q. Mechanical and acoustic emission characteristics of rock: Effect of loading and unloading confining pressure at the postpeak stage. J. Nat. Gas Sci. Eng. 2017, 44, 54–64. [Google Scholar] [CrossRef]
- Grosse, C.U.; Ohtsu, M. (Eds.) Acoustic Emission Testing; Springer: Berlin/Heidelberg, Germany, 2008. [Google Scholar]
- Ulusay, R. (Ed.) The ISRM Suggested Methods for Rock Characterization, Testing and Monitoring: 2007–2014; Springer: Cham, Switzerland, 2015. [Google Scholar] [CrossRef]
- ASTM E1932-12(2017). Standard Guide for Acoustic Emission Examination of Small Parts; ASTM International: West Conshohocken, PA, USA, 2017. [Google Scholar]
- Michlmayr, G.; Cohen, D.; Or, D. Sources and characteristics of acoustic emissions from mechanically stressed geologic granular media—A review. Earth-Sci. Rev. 2012, 112, 97–114. [Google Scholar] [CrossRef]
- Mao, W.; Yang, Y.; Lin, W. An acoustic emission characterization of the failure process of shallow foundation resting on sandy soils. Ultrasonics 2019, 93, 107–111. [Google Scholar] [CrossRef]
- Lambe, T.W.; Whitman, R.V. Soil Mechanics; John Wiley and Sons Inc.: New York, NY, USA, 1969. [Google Scholar]
- Fernandes, F.; Syahrial, A.I.; Valdes, J.R. Monitoring the oedometric compression of sands with acoustic emissions. Geotech. Test. J. 2020, 33, 410–415. [Google Scholar] [CrossRef]
- Lin, W.; Liu, A.; Mao, W. Use of acoustic emission to evaluate the micro-mechanical behavior of sands in single particle compression tests. Ultrasonics 2019, 99, 105962. [Google Scholar] [CrossRef]
- Lin, W.; Liu, A.; Mao, W.; Koseki, J. Acoustic emission characteristics of a dry sandy soil subjected to drained triaxial compression. Acta Geotech. 2020, 15, 2493–2506. [Google Scholar] [CrossRef]
- Naderi-Boldaji, M.; Bahrami, M.; Keller, T.; Or, D. Characteristics of acoustic emissions from soil subjected to confined uniaxial compression. Vadose Zone J. 2017, 16, 1–12. [Google Scholar] [CrossRef]
- Munoz-Ibanez, A.; Delgado-Martın, J.; Grande-Garcıa, E. Acoustic emission processes occurring during high-pressure sand compaction. Geophys. Prospect. 2019, 67, 761–783. [Google Scholar] [CrossRef]
- De Cola, F.; Quino, G.; Dragnevski, K.; Petrinic, N. An extended in-situ method to improve the understanding of fracture mechanics of granular materials using sound measurements. Eur. J. Mech. A Solids 2019, 76, 1–12. [Google Scholar] [CrossRef]
- ASTM D2845-08(2008). Standard Test Method for Laboratory Determination of Pulse Velocities and Ultrasonic Elastic Constants of Rock; ASTM International: West Conshohocken, PA, USA, 2008. [Google Scholar]
- Stephenson, R.W. Ultrasonic testing for determining dynamic soil mocduli. In Dynamic Geotechnical Testing; Silver, M., Tiedemann, D., Eds.; ASTM International: West Conshohocken, PA, USA, 1978; pp. 179–195. [Google Scholar] [CrossRef]
- Zimmer, M.A.; Prasad, M.; Mavko, G.; Nur, A. Seismic velocities of unconsolidated sands: Part 1—Pressure trends from 0.1 to 20 MPa. Geophysics 2007, 72, E1–E13. [Google Scholar] [CrossRef]
- Chen, Y.; Irfan, M.; Uchimura, T. Estimation of elastic wave velocity through unsaturated soil slope as function of water content and shear deformation. Soils Found. 2019, 59, 2180–2194. [Google Scholar] [CrossRef]
- Frid, V.; Potirakis, S.M.; Shulov, S. Effect of soil loading and unloading on its acoustic behavior. Proceedings 2020, 67, 20. [Google Scholar] [CrossRef]
- Luo, S.S.; Ibraim, E.; Diambra, A. Acoustic emission monitoring of crushing of an analogue granular material. Géotechn. Lett. 2019, 9, 1–9. [Google Scholar] [CrossRef]
- Smith, A.; Dixon, N. Acoustic emission behaviour of dense sands. Géotechnique 2019, 69, 1107–1122. [Google Scholar] [CrossRef]
- Smith, A.H.; Heather-Smith, J.; Dixon, N.; Flint, J.A.; Pennie, D. Acoustic emission generated by granular soil-steel structure interaction. Géotechn. Lett. 2020, 10, 1–9. [Google Scholar] [CrossRef]
- Xiao, Y.; Wang, L.; Jiang, X.; Matthew Evans, T.; Stuedlein, A.W.; Liu, H. Acoustic emission and force drop in grain crushing of carbonate sands. Geotech. Geoenviron. Eng. 2019, 145, 04019057. [Google Scholar] [CrossRef]
- Hangx, S.J.T.; Brantut, N. Micromechanics of high-pressure compaction in granular quartz aggregates. J. Geophys. Res. Solid Earth 2019, 124, 6560–6580. [Google Scholar] [CrossRef]
- Sharma, A.; Penumadu, D. Role of particle shape in determining tensile strength and energy release in diametrical compression of natural silica grains. Soils Found. 2020, 60, 1299–1311. [Google Scholar] [CrossRef]
- ASTM D4959-00. Standard Test Method for Determination of Water (Moisture) Content of Soil by Direct Heating; ASTM International: West Conshohocken, PA, USA, 2016. [Google Scholar]
- Rgevsky, V.V.; Novik, G.Y. Foundations of Rock Physics; Nedra: Moscow, Russia, 1978. [Google Scholar]















| Parameter | Average Value of the Parameter for a Loading Stage (Sensitivity to Stress Level) | Cumulative Value of the Parameter for a Loading Stage (Sensitivity to Stress Level) | ||||
|---|---|---|---|---|---|---|
| OD | UCD | UCW | OD | UCD | UCW | |
| AE hit number | + | + | + | + | + | + |
| Rise time | + | + | -/+ | + | + | -/+ |
| Counts | - | -/+ | -/+ | + | + | -/+ |
| Energy | + | + | +/- | + | + | +/- |
| Duration | - | - | - | + | + | +/- |
| Amplitude | - | - | - | + | + | +/- |
| Average frequency | + | - | - | + | + | -/+ |
| Peak number | - | -/+ | - | + | + | +/- |
| Absolute energy | + | + | +/- | + | + | +/- |
Publisher’s Note: MDPI stays neutral with regard to jurisdictional claims in published maps and institutional affiliations. |
© 2021 by the authors. Licensee MDPI, Basel, Switzerland. This article is an open access article distributed under the terms and conditions of the Creative Commons Attribution (CC BY) license (https://creativecommons.org/licenses/by/4.0/).
Share and Cite
Frid, V.; Potirakis, S.M.; Shulov, S. Study of Static and Dynamic Properties of Sand under Low Stress Compression. Appl. Sci. 2021, 11, 3311. https://doi.org/10.3390/app11083311
Frid V, Potirakis SM, Shulov S. Study of Static and Dynamic Properties of Sand under Low Stress Compression. Applied Sciences. 2021; 11(8):3311. https://doi.org/10.3390/app11083311
Chicago/Turabian StyleFrid, Vladimir, Stelios M. Potirakis, and Semen Shulov. 2021. "Study of Static and Dynamic Properties of Sand under Low Stress Compression" Applied Sciences 11, no. 8: 3311. https://doi.org/10.3390/app11083311
APA StyleFrid, V., Potirakis, S. M., & Shulov, S. (2021). Study of Static and Dynamic Properties of Sand under Low Stress Compression. Applied Sciences, 11(8), 3311. https://doi.org/10.3390/app11083311

