Comparison of Postural Stability and Regulation among Female Athletes from Different Sports
Abstract
Featured Application
Abstract
1. Introduction
2. Materials and Methods
2.1. Subjects
2.2. Study Design and Methodology
2.3. Statistics
3. Results
3.1. Normal Distribution and Variance Homogeneity
3.2. Anthropometric and Demographic Data
3.3. Postural Performance Data
- WDI: NO (Gym. vs. Bas.: p = 0.025), PO (Ski jump. vs. Recreat.: p = 0.011),
- HEEL: PO (Ski jump. vs. Recreat.: p = 0.020), PC (Ski jump. vs. Bas.: p = 0.014).
3.3.1. Stability Indicator (ST)
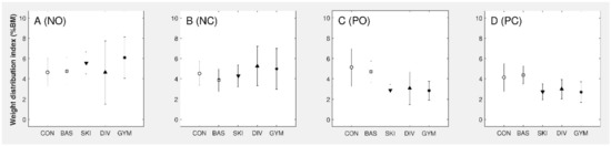
3.3.2. Weight Distribution Index (WDI)
3.3.3. Anterior-Posterior Load Distribution (HEEL)
3.3.4. Medio-Lateral Load Distribution (LEFT)
3.4. Dependences between Anthropometric/Demographic and Postural Performance Data
4. Discussion
Limitations
5. Conclusions
Practical Implications
Author Contributions
Funding
Institutional Review Board Statement
Informed Consent Statement
Data Availability Statement
Acknowledgments
Conflicts of Interest
References
- Horak, F.B. Postural orientation and equilibrium: What do we need to know about neural control of balance to prevent falls? Age Ageing 2006, 35 (Suppl. 2), ii7–ii11. [Google Scholar] [CrossRef]
- Bressel, E.; Yonker, J.C.; Kras, J.; Heath, E.M. Comparison of static and dynamic balance in female collegiate soccer, basketball, and gymnastics athletes. J. Athl. Train. 2007, 42, 42. [Google Scholar] [PubMed]
- Hrysomallis, C. Balance ability and athletic performance. Sports Med. 2011, 41, 221–232. [Google Scholar] [CrossRef] [PubMed]
- Shumway-Cook, A.; Woollacott, M.H. Motor Control: Translating Research into Clinical Practice; Lippincott Williams & Wilkins: Philadelphia, PA, USA, 2011. [Google Scholar]
- Lehmann, T.; Paschen, L.; Baumeister, J. Single-leg assessment of postural stability after anterior cruciate ligament injury: A systematic review and meta-analysis. Sports Med. Open 2017, 3, 32. [Google Scholar] [CrossRef] [PubMed]
- Plisky, P.J.; Rauh, M.J.; Kaminski, T.W.; Underwood, F.B. Star Excursion Balance Test as a predictor of lower extremity injury in high school basketball players. J. Orthop. Sports Phys. Ther. 2006, 36, 911–919. [Google Scholar] [CrossRef] [PubMed]
- Tsang, W.W.; Fong, S.S.; Cheng, Y.T.; Daswani, D.D.; Lau, H.Y.; Lun, C.K.; Ng, S.S. The effect of vestibular stimulation on eye-hand coordination and postural control in elite basketball players. Am. J. Sports Sci. 2014, 2, 17–22. [Google Scholar] [CrossRef]
- Schwesig, R.; Kluttig, A.; Leuchte, S.; Becker, S.; Schmidt, H.; Esperer, H.D. The impact of different sports on posture regulation. Sportverletz. Sportschaden 2009, 23, 148–154. [Google Scholar] [CrossRef] [PubMed]
- Garcia, C.; Barela, J.A.; Viana, A.R.; Barela, A.M.F. Influence of gymnastics training on the development of postural control. Neurosci. Lett. 2011, 492, 29–32. [Google Scholar] [CrossRef]
- Sloanhoffer, H.; Harrison, K.; Jean, L. Dynamic Stability in Gymnasts, Non-Balance Athletes, and Active Controls. Int. J. Exerc. Sci. 2018, 11, 1–12. [Google Scholar]
- Schwesig, R.; Sannemüller, K.; Kolditz, R.; Hottenrott, K.; Becker, S.; Esperer, H.D. Specific riding styles are associated with specific effects on bodily posture control. Sportverletz. Sportschaden 2008, 22, 93–99. [Google Scholar] [CrossRef]
- Schwesig, R.; Neumann, S.; Richter, D.; Kauert, R.; Esperer, H.D.; Leuchte, S. Impact of therapeutic riding on gait and posture regulation. Sportverletz. Sportschaden 2009, 23, 84–94. [Google Scholar] [CrossRef]
- Kenttä, G.; Hassmén, P. Overtraining and recovery. Sports Med. 1998, 26, 1–16. [Google Scholar] [CrossRef]
- Bartels, T.; Brehme, K.; Pyschik, M.; Schulze, S.; Delank, K.S.; Fieseler, G.; Laudner, K.G.; Hermassi, S.; Schwesig, R. Pre-and postoperative postural regulation following anterior cruciate ligament reconstruction. J. Exerc. Rehabil. 2018, 14, 143. [Google Scholar] [CrossRef]
- Reinhardt, L.; Heilmann, F.; Teicher, M.; Lauenroth, A.; Delank, K.S.; Schwesig, R.; Wollny, R.; Kurz, E. Comparison of posturographic outcomes between two different devices. J. Biomech. 2019, 86, 218–224. [Google Scholar] [CrossRef]
- Brehme, K.; Bartels, T.; Pyschik, M.; Jenz, M.; Delank, K.S.; Laudner, K.G.; Schwesig, R. Postural stability and regulation before and after high tibial osteotomy and rehabilitation. Appl. Sci. 2020, 10, 6517. [Google Scholar] [CrossRef]
- Schneider, I.; Zierz, S.; Schulze, S.; Delank, K.S.; Laudner, K.G.; Brill, R.; Schwesig, R. Characterization of gait and postural regulation in late-onset Pompe disease. Appl. Sci. 2020, 10, 7001. [Google Scholar] [CrossRef]
- Richardson, J.T.E. Eta squared and partial eta squared as measures of effect size in educational research. Educ. Res. Rev. 2011, 6, 135–147. [Google Scholar] [CrossRef]
- Cohen, J. Statistical Power Analysis for the Behavioural Sciences, 2nd ed.; Lawrence Erlbaum: Hillsdale, NJ, USA, 1998. [Google Scholar]
- Kliegl, R.; Smith, J.; Baltes, P.B. Testing-the-limits and the study of adult age differences in cognitive plasticity of a mnemonic skill. Dev. Psychol. 1989, 25, 247–256. [Google Scholar] [CrossRef]
- Davlin, C.D. Dynamic balance in high level athletes. Percept. Mot. Ski. 2004, 98, 1171–1176. [Google Scholar] [CrossRef]
- Paillard, T. Relationship between sport expertise and postural skills. Front. Psychol. 2019, 10, 1428. [Google Scholar] [CrossRef]
- Era, P.; Konttinen, N.; Mehto, P.; Saarela, P.; Lyytinen, H. Postural stability and skilled performance-a study on top-level and naive rifle shooters. J. Biomech. 1996, 29, 301–306. [Google Scholar] [CrossRef]
- Chiari, L.; Rocchi, L.; Cappello, A. Stabilometric parameters are affected by anthropometry and foot placement. Clin. Biomech. 2002, 17, 666–677. [Google Scholar] [CrossRef]
- Kim, J.; Kwon, Y.; Chung, H.Y.; Kim, C.S.; Eom, G.M.; Jun, J.H.; Park, B.K. Relationship between body factors and postural sway during natural standing. Int. J. Precis. Eng. Manuf. 2012, 13, 963–968. [Google Scholar] [CrossRef]
- Riemann, B.L.; Lininger, M.; Kirkland, M.K.; Petrizzo, J. Age related changes in balance performance during self-selected and narrow stance testing. Arch. Gerontol. Geriatr. 2018, 75, 65–69. [Google Scholar] [CrossRef] [PubMed]





| Sport | Age (Years) | Weight (kg) | Height (m) | |||
|---|---|---|---|---|---|---|
| Mean | SD | Mean | SD | Mean | SD | |
| Basketball (n = 16) | 20.6 | 3.20 | 72.2 | 9.04 | 1.78 | 0.06 |
| Ski jumping (n = 13) | 21.7 | 4.31 | 58.1 | 6.10 | 1.68 | 0.06 |
| Gymnastics (n = 10) | 14.2 | 2.88 | 46.1 | 9.56 | 1.54 | 0.09 |
| Diving (n = 8) | 21.3 | 3.35 | 58.9 | 3.64 | 1.61 | 0.05 |
| Recreational athletes (n = 12) | 24.8 | 7.47 | 61.4 | 6.31 | 1.70 | 0.05 |
| p/ηp2 | <0.001/0.362 | <0.001/0.591 | <0.001/0.631 | |||
| Parameters/Test Positions | Effects/Variance Analysis (p/ηp2) | ||||
|---|---|---|---|---|---|
| Sports | Covariates | ||||
| Age | Height | Weight | |||
| ST | NO | 0.285/0.092 | 0.212/0.030 | 0.843/0.001 | 0.281/0.023 |
| NC | 0.637/0.048 | 0.016/0.109 | 0.800/0.001 | 0.166/0.037 | |
| PO | 0.543/0.058 | 0.123/0.046 | 0.260/0.025 | 0.034/0.085 | |
| PC | 0.859/0.025 | 0.855/0.001 | 0.653/0.004 | 0.063/0.066 | |
| WDI | NO | 0.025/0.193 | 0.849/0.001 | 0.938/0.000 | 0.017/0.107 |
| NC | 0.117/0.133 | 0.522/0.008 | 0.954/0.000 | 0.073/0.062 | |
| PO | 0.018/0.205 | 0.007/0.134 | 0.065/0.065 | 0.454/0.011 | |
| PC | 0.206/0.108 | 0.167/0.037 | 0.074/0.061 | 0.402/0.014 | |
| HEEL | NO | 0.283/0.093 | 0.488/0.009 | 0.801/0.001 | 0.077/0.060 |
| NC | 0.477/0.065 | 0.364/0.016 | 0.907/0.000 | 0.259/0.025 | |
| PO | 0.016/0.208 | 0.120/0.047 | 0.020/0.101 | 0.041/0.079 | |
| PC | 0.015/0.211 | 0.662/0.004 | 0.016/0.109 | 0.016/0.109 | |
| LEFT | NO | 0.789/0.032 | 0.631/0.005 | 0.713/0.003 | 0.533/0.008 |
| NC | 0.861/0.025 | 0.780/0.002 | 0.326/0.019 | 0.136/0.043 | |
| PO | 0.594/0.052 | 0.321/0.019 | 0.475/0.010 | 0.547/0.007 | |
| PC | 0.976/0.009 | 0.827/0.001 | 0.903/0.000 | 0.655/0.004 | |
| Test Positions | Parameters | Age | Height | Weight |
|---|---|---|---|---|
| NO | ST | −0.30 | −0.08 | −0.01 |
| WDI | −0.05 | 0.05 | 0.13 | |
| HEEL | −0.19 | 0.04 | 0.16 | |
| LEFT | 0.12 | 0.04 | 0.05 | |
| NC | ST | −0.30 | −0.05 | 0.01 |
| WDI | −0.05 | −0.02 | 0.07 | |
| HEEL | −0.22 | 0.03 | 0.11 | |
| LEFT | 0.14 | 0.05 | 0.14 | |
| PO | ST | 0.28 | 0.35 | 0.46 |
| WDI | −0.06 | 0.37 | 0.27 | |
| HEEL | 0.04 | −0.36 | −0.21 | |
| LEFT | −0.10 | −0.15 | −0.13 | |
| PC | ST | 0.27 | 0.50 | 0.55 |
| WDI | 0.01 | 0.39 | 0.30 | |
| HEEL | −0.05 | −0.38 | −0.22 | |
| LEFT | −0.02 | −0.01 | 0.01 |
Publisher’s Note: MDPI stays neutral with regard to jurisdictional claims in published maps and institutional affiliations. |
© 2021 by the authors. Licensee MDPI, Basel, Switzerland. This article is an open access article distributed under the terms and conditions of the Creative Commons Attribution (CC BY) license (https://creativecommons.org/licenses/by/4.0/).
Share and Cite
Lauenroth, A.; Reinhardt, L.; Schulze, S.; Laudner, K.G.; Delank, K.-S.; Schwesig, R. Comparison of Postural Stability and Regulation among Female Athletes from Different Sports. Appl. Sci. 2021, 11, 3277. https://doi.org/10.3390/app11073277
Lauenroth A, Reinhardt L, Schulze S, Laudner KG, Delank K-S, Schwesig R. Comparison of Postural Stability and Regulation among Female Athletes from Different Sports. Applied Sciences. 2021; 11(7):3277. https://doi.org/10.3390/app11073277
Chicago/Turabian StyleLauenroth, Andreas, Lars Reinhardt, Stephan Schulze, Kevin G. Laudner, Karl-Stefan Delank, and René Schwesig. 2021. "Comparison of Postural Stability and Regulation among Female Athletes from Different Sports" Applied Sciences 11, no. 7: 3277. https://doi.org/10.3390/app11073277
APA StyleLauenroth, A., Reinhardt, L., Schulze, S., Laudner, K. G., Delank, K.-S., & Schwesig, R. (2021). Comparison of Postural Stability and Regulation among Female Athletes from Different Sports. Applied Sciences, 11(7), 3277. https://doi.org/10.3390/app11073277

