Abstract
A wide variety of quaternary ammonium compounds (QACs) have escalated the attraction of researchers to explore the application of QACs. The compounds have frequently been synthesized through alkylation or quaternization of tertiary amines with alkyl halides. Recently, QACs have been applied to compatibilize polymer blends and polymer composites in improving their thermo-mechanical properties. This concise review concentrates on the application of two types of QACs as compatibilizers for polymer blends and polymer composites. The types of QACs that were effectively applied in the blends and composites are quaternary ammonium surfactants (QASs) and quaternary ammonium ionic liquids (QAILs). They have been chosen for the discussion because of their unique chemical structure which can interact with the polymer blend and composite components. The influence of QASs and QAILs on the thermo-mechanical properties of the polymer blends and polymer composites is also described. This review could be helpful for the polymer blend and polymer composite researchers and induce more novel ideas in this research area.
1. Introduction
Lately, the application of quaternary ammonium compounds (QACs) in the polymer research has drastically developed because of the effectiveness of these ionic compounds in forming the intermolecular interactions with synthetic and natural polymers. QACs can be synthesized through alkylation of amines by quaternization of tertiary amines with alkylating agents such as alkyl halides [1,2]. Figure 1 demonstrates the schematic of quaternization of N-methyldiethanolamine (tertiary amine) with benzyl chloride (alkyl halide) to produce benzylbis(2-hydroxyethyl)methylammonium chloride (QAC). The quaternization of tertiary amines is commonly carried out in polar solvents such as methanol [3]. The other alkylating agents, for example, benzylic, allylic, and α-carbonylated alkyl halides can also be employed in the synthesis of QACs. On top of that, the quaternization of tertiary amines has been used to produce a wide variety of QACs. The two most important QACs that were employed in various applications are surfactants and ionic liquids. In addition, these compounds are able to utilize for processing polymeric materials, as well as for enhancing the physicochemical properties of the materials [4]. QACs can also be applied as compatibilizers for polymer blends and polymer composites due to their capability to improve the compatibility of the materials.
Figure 1.
Schematic of the quaternization of N-methyldiethanolamine with benzyl chloride to produce benzylbis(2-hydroxyethyl)methylammonium chloride.
In general, polymer blends are combinations of two or more polymers, whereas polymer composites are compound made up of polymer matrix and filler components. The preparation of polymer blends and polymer composites is typically intended to obtain materials that have a combination of excellent properties of the different materials. This approach is commonly inexpensive and less time-consuming than the development of new polymeric materials. They are classified as compatible and incompatible materials. Compatible polymer blends and polymer composites have superior thermo-mechanical properties (e.g., degradation temperature, glass transition temperature, melting temperature, tensile strength, flexural strength, impact strength, etc.), while incompatible matters commonly have poor thermo-mechanical properties. The compatibilization is usually done on the incompatible polymer blends and polymer composites because they have a difference in polarity that affected their thermo-mechanical properties. Moreover, the use of compatibilizers in polymer blends and polymer composites is to improve their interfacial adhesion [5,6] by creating the intermolecular interactions between the blend and composite components [7,8]. Table 1 shows the examples of polymer blends compatibilized by QACs.
Table 1.
Examples of polymer blends compatibilized by quaternary ammonium compounds (QACs).
Table 2 indicates the examples of polymer composites compatibilized by QACs. The selection of the polymer blends and polymer composites in this concise review is not randomly based on the materials compatibilized by QACs, but it is based on the thermo-mechanical properties that were comprehensively studied in the previous research works.
Table 2.
Examples of polymer composites compatibilized by quaternary ammonium compounds (QACs).
In the past ten years, many compatibilization approaches have been recommended for the intention of enhancing the thermo-mechanical properties of polymer blends and polymer composites. The application of QACs as compatibilizers could provide an advantage because of their unique chemical structure that owns both polar ionic and non-polar lipophilic functional groups [26]. These groups are able to interact with polar hydrophilic and non-polar hydrophobic polymers or materials. The intermolecular interactions could contribute to the compatibilization effect on polymer blends and polymer composites, and consequently improve the interfacial adhesion between their components. Yet, to the authors’ knowledge, there is no concise review prepared concentrating on the application of QACs as compatibilizers for polymer blends and polymer composites. That is the objective of making a categorized review in this paper, which consists of related research works.
2. Polymer Blend and Polymer Composite Materials
2.1. Polymer Blend Materials
The polymer blend materials can be prepared either in the melt, solution, or emulsion condition. The blending process involves at least two different polymers. The melt blending process must be carried out at elevated temperatures, precisely at the fusing temperature of the polymer components [27]. The solution blending process can be conducted in appropriate solvents that are capable to dissolve polymers completely [14]. The emulsion blending process involves dispersion of emulsion of at least two different polymers [28]. The compatible polymer blends have remarkable thermo-mechanical properties based on the complementary behavior of their individual components [29]. The preparation of polymer blend materials is straightforward when conventional blending machines are used [30].
The polymer blends can be made either from synthetic thermoplastic polymers or from natural biodegradable polymers by blending between the synthetic/synthetic polymers, natural/natural polymers, or synthetic/natural polymers. Table 3 shows the examples of polymer blends, blend types, blending conditions, and blending machines. Synthetic thermoplastic polymer blends can be prepared via melt, solution and emulsion blending processes [31]. The chemical structure of the main chains of thermoplastic polymers has allowed them to be processed in such conditions, including the nature of the intermolecular interaction of the polymers. Nevertheless, for natural biodegradable polymer (biopolymer) blends, they are usually prepared through solution blending process; this is because most of them do not melt but decompose at elevated temperatures [14]. The chemical nature of biopolymers has also allowed them to be processed in such condition because they were bonded with hydrogen bonding. Figure 2 exhibits the chemical structures of PET, PBS, PEO, and PHBV. The melt blending process can be done by using compounder or extruder. In contrast, solution and emulsion blending processes can be performed by means of mechanical stirrer, magnetic stirrer, or KPG stirrer.
Table 3.
Examples of polymer blends, blend types, blending conditions, and blending machines.
Figure 2.
Chemical structures of thermoplastic polymers and the abbreviations are explained in Table 1.
2.2. Polymer Composite Materials
The polymer composite materials are typically prepared by incorporating a filler into the polymer matrix. The process could be done either in the melt, solution, or emulsion condition [24,33,34]. The polymer composites regularly possess improved thermo-mechanical properties compared to their polymer matrix [35]. The polymer composite materials are easy to prepare, and they also need processing machines such as polymer blends. Table 4 displays the examples of polymer matrices, matrix types, fillers, processing conditions, and processing machines. Thermoplastic polymer composites can be prepared through melt, solution, and emulsion processing. However, for thermosetting polymer composites, they are generally prepared through solution processing before curing because they cannot be melted, emulsified, and reshaped after curing [36]. The chemical nature of thermosetting polymers has allowed them to be processed in such condition because they are bonded with irreversible covalent bonds. Figure 3 displays the chemical structures of PBE, DGEBA epoxy, and PU. On the other hand, biopolymer composites are ordinarily prepared via solution processing [37]. Figure 4 demonstrates the chemical structures of cellulose, chitin, chitosan, and agarose. The melt processing can be made by means of internal mixer, two-roll mill, or extruder. In contrast, the solution and emulsion processing can be operated by using mechanical stirrer, overhead stirrer, sonicator, or magnetic stirrer.
Table 4.
Examples of polymer matrices, matrix types, fillers, processing conditions, and processing machines.
Figure 3.
Chemical structures of thermosetting polymers and the abbreviations are explained in Table 2.
Figure 4.
Chemical structures of (a) cellulose, (b) chitin, (c) chitosan, and (d) agarose.
3. Types of QACs for Compatibilization of Polymer Blends and Polymer Composites
3.1. Quaternary Ammonium Surfactants (QASs)
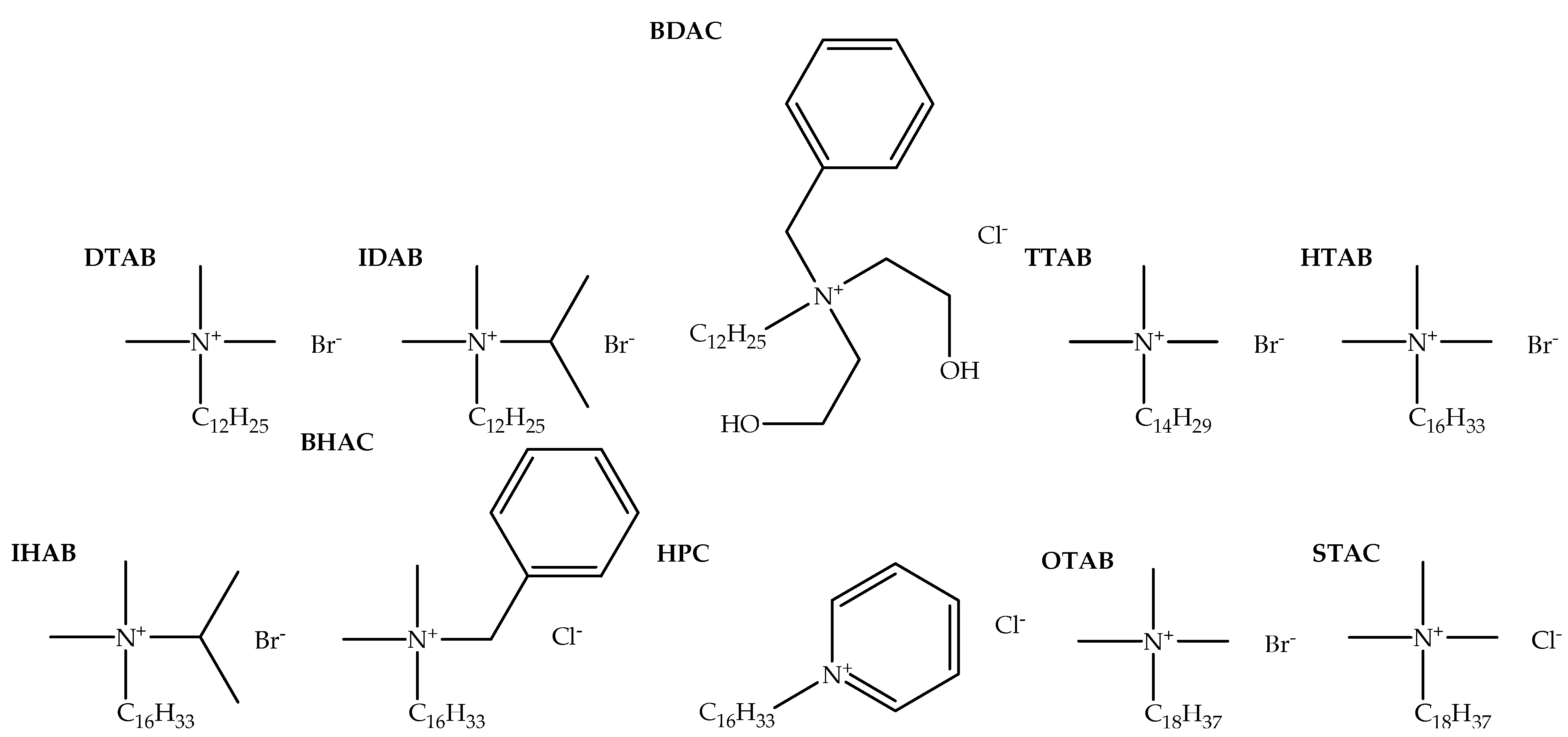
In recent times, QACs have been categorized into two types, specifically quaternary ammonium surfactants (QASs) and quaternary ammonium ionic liquids (QAILs). The category is based on the state of the QACs; for instance, QASs are usually present in solid-state and QAILs commonly exist in a liquid form. QASs possess an amphiphilic character, which contains both a polar functional group and a non-polar functional group [40]. Furthermore, QASs could reduce the surface tension between the polar and non-polar materials [41], including components of the polymer blends and polymer composites. On top of that, QASs have been shown to function in many vital physical processes, serving as an emulsifying agent, wetting agent, dispersing agent, lubricating agent, softening agent, foaming agent, an anti-foaming agent, and an antimicrobial agent [42,43,44]. Table 5 shows the examples of QASs applied for compatibilization of polymer blends and polymer composites. Figure 5 demonstrates the chemical structures of QASs collected in Table 5.
Table 5.
Examples of quaternary ammonium surfactants (QASs) applied for compatibilization of polymer blends and polymer composites.
Figure 5.
Chemical structures of QASs and the abbreviations are explained in Table 5.
3.2. Quaternary Ammonium Ionic Liquids (QAILs)
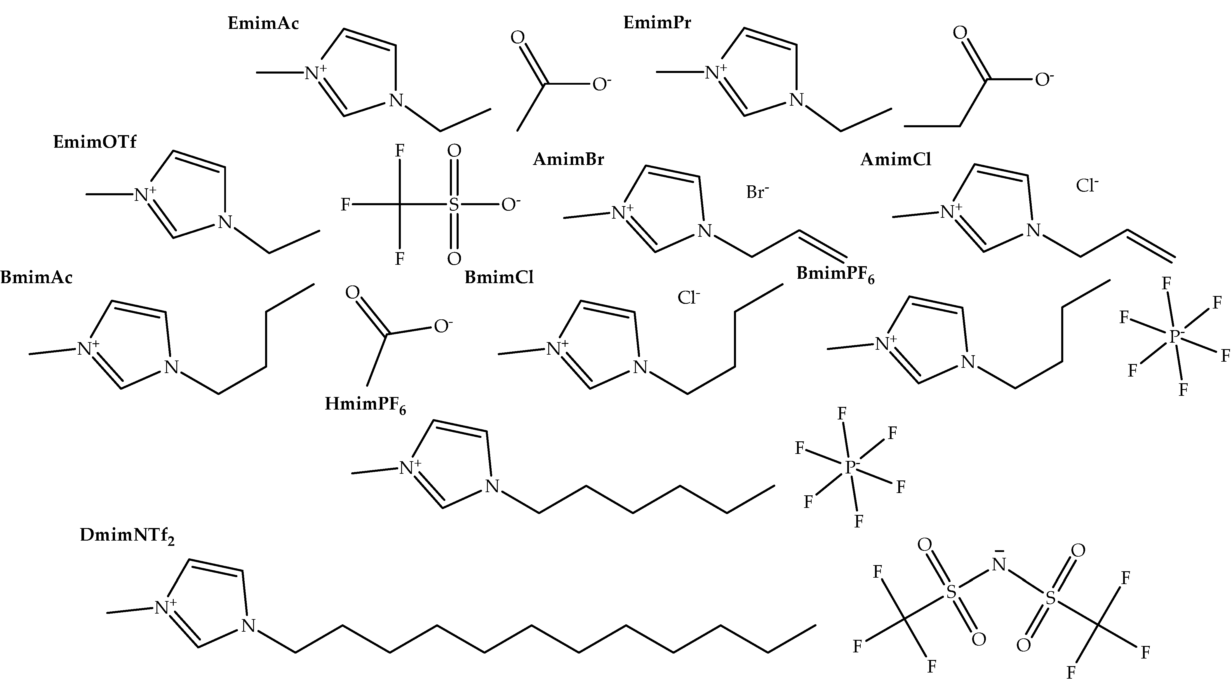
Unlike QASs, QAILs have a low melting temperature (<100 °C). QAILs are also non-volatile, non-flammable, exhibit good thermal stability, and able to dissolve organic and inorganic materials [51]. In the past decade, QAILs have been utilized in adsorption/desorption studies [52], catalysis systems, electrochemical studies, metal nanostructures, analytical chemistry including sensors, bio-analytical chemistry, electrochemical biosensors [53], and CO2 capture systems [54]. The exceptional properties of QAILs, such as good interaction with organic and inorganic materials, make them suitable chemical compounds for applying in the polymer blends and polymer composites [55]. Table 6 exhibits the examples of QAILs applied for compatibilization of polymer blends and polymer composites. Figure 6 demonstrates the chemical structures of QAILs collected in Table 6.
Table 6.
Examples of quaternary ammonium ionic liquids (QAILs) applied for compatibilization of polymer blends and polymer composites.
Figure 6.
Chemical structures of QAILs and the abbreviations are explained in Table 6.
4. Influence of QACs on Thermo-Mechanical Properties of Polymer Blends and Polymer Composites
4.1. Influence of QASs and QAILs on Polymer Blends
Table 7 indicates the thermo-mechanical properties of polymer blends influenced by QASs and QAILs. QAS like HTAB (chemical structure is shown in Figure 5) has been applied for compatibilization of Nylon-6/LNR blends [9]. The application of HTAB influenced the degradation temperature, glass transition temperature, tensile strength, tensile modulus, tensile extension, and impact strength of the blends. The degradation temperature of the blends decreased because LNR possessed lower initial degradation temperature than nylon-6, which deteriorated the degradation temperature of the overall blends. The result also shows a decreasing trend with the blends containing high LNR content, which is also due to the low degradation temperature of LNR compared to nylon-6. Furthermore, the glass transition temperature of the blends also decreased because of the improvement of the compatibility between nylon-6 and LNR. This is caused by HTAB, which consisted of polar and non-polar groups that acted as a compatibilizer by creating interactions between them [9]. Moreover, the mechanical properties, such as tensile strength and tensile modulus of the blends decreased because of the increase of their segmental movement. It is considered that LNR acted as a stress dilutor, which is responsible for lowering the tensile strength and the tensile modulus. This is induced by the presence of HTAB that is responsible for better homogeneous distribution of LNR in the blends. However, the tensile extension and impact strength of the blends increased by up to 100% and 35%, respectively, compared to the neat nylon-6. This is attributed to the HTAB-compatibilized Nylon-6/LNR blends, which eventually increased the elongation and toughness of the blends [9].
Table 7.
Thermo-mechanical properties of polymer blends influenced by QASs and QAILs.
It can be seen in Table 7 that fewer studies have focused on the influence of the QASs on the thermo-mechanical properties of polymer blends. QAS like BDAC (chemical structure is shown in Figure 5) is applied for compatibilization of PET/PE blends [11]. The application of BDAC influenced the degradation temperature, tensile strength, tensile modulus, and tensile extension of the blends. The degradation temperature of the blends decreased because of the presence of the benzyl group and aromatic structure in BDAC that lowered the thermal stability of the blends. Therefore, BDAC acted as a thermal degradation promoter for the blends, which can catalyze the polymer degradation with a thermal dependence. This decreasing trend also occurred in the PP/Nylon-6 blends compatibilized by PP-g-MA [64]. However, the mechanical properties, such as tensile strength and tensile modulus of the blends increased by up to 14% and 24%, respectively, compared to the neat PET/PE blend. This is attributed to the vital role of the BDAC, which acted as a compatibilization agent between PET and PE [11]. Nevertheless, the tensile extension of the blends decreased because of their lower ductility compared to the blend without BDAC [11]. Moreover, the polymer chains of PET/PE blends containing BDAC are stiffer in comparison with the neat blend that reduced the ductility and deformability as well. This effectively decreased the tensile extension of the BDAC-compatibilized PET/PE blends.
On the other hand, QAIL like BmimCl (chemical structure is shown in Figure 6) has been applied for compatibilization of NW/Cellulose blends [10]. The application of BmimCl influenced the degradation temperature, glass transition temperature, tensile strength, tensile modulus, and tensile extension of the blends (Table 7). The thermal properties, such as degradation temperature and glass transition temperature of the blends increased by up to 25% and 33%, respectively, compared to the neat NW. This is attributed to the miscibility between NW and cellulose as well as the formation of strong interaction between these biopolymers generated by BmimCl [10]. Moreover, the mechanical properties, for instance, tensile strength, tensile modulus, and tensile extension of the blends increased by up to 66%, 100%, and 56%, respectively, in comparison with the NW. This is due to the increase of the cellulose content in the blends and also good interfacial adhesion between them [10].
QAIL like DmimNTf2 (chemical structure is shown in Figure 6) has been applied for compatibilization of PBS/RS blends [12]. The application of DmimNTf2 has influenced the degradation temperature, melting temperature, tensile strength, tensile modulus, tensile extension, flexural strength, and flexural extension of the blends (Table 7). The degradation temperature of the blends increased by up to 2.3% compared to the neat PBS/RS blend. This is attributed to the high degradation temperature of DmimNTf2 and the existence of intermolecular interactions between the blend components generated by DmimNTf2. However, the melting temperature of the blends decreased because of the presence of DmimNTf2, which improved the interfacial adhesion between PBS and RS [12]. In the compatible polymer blends, they commonly have the melting temperature lower than their individual components [14]. Thus, it can be considered that the PBS/RS blends containing DmimNTf2 have good compatibility in comparison with the neat blend. Furthermore, the mechanical properties, such as tensile strength, tensile modulus, and flexural strength of the blends decreased since fewer loads are required for withstanding the exerted force. This is, of course, not unusual, the compatible polymer blends are not necessarily linked to the increase of the tensile and flexural strengths. Nevertheless, the tensile extension and flexural extension of the blends increased by up to 233% and 17%, respectively, in comparison with the blend without DmimNTf2. This is caused by the improvement of the compatibility between PBS and RS since DmimNTf2 acted as a compatibilizer [12].
BmimCl has also been applied for compatibilization of PHBV/Cellulose blends [15]. The application of BmimCl influenced the degradation temperature, glass transition temperature, melting temperature, tensile strength, tensile modulus, and tensile extension of the blends (Table 7). The thermal properties, such as degradation temperature and glass transition temperature of the blends increased by up to 20% and 700%, respectively, compared to the neat PHBV. This is attributed to the partial miscibility between PHBV and cellulose in their regenerated form. However, the melting temperature of the blends decreased because of the formation of hydrogen bonding interaction between the blend components regenerated from BmimCl [15]. The lower melting temperature of the polymer blends than their individual components can also be considered as an indicator to show the compatibility between the blend components; this can take place when they have intermolecular interactions. Nonetheless, the mechanical properties, for instance, tensile strength, tensile modulus, and tensile extension of the blends increased by up to 429%, 190%, and 44%, respectively, in comparison with the PHBV. This is because of the presence of interaction between PHBV and cellulose, which improved the compatibility of the blends [15].
4.2. Influence of QASs on Polymer Composites
Table 8 shows the thermo-mechanical properties of polymer composites influenced by QASs. QAS like HTAB has been applied for compatibilization of HDPE/LDPE/Cellulose composites [16]. The application of HTAB has influenced the degradation temperature, melting temperature, tensile strength, tensile modulus, tensile extension, and impact strength of the composites. The degradation temperature of the composites decreased because of the lower initial degradation temperature of HTAB than other composite components, which affected the degradation temperature of the overall composites. Nevertheless, the melting temperature of the composites remains unchanged because of the presence of crystal lattice of HTAB in the composites [16]. Moreover, the mechanical properties, such as tensile strength and tensile modulus of the composites increased by up to 25% and 25%, respectively, compared to the neat HDPE/LDPE/Cellulose composite. This is attributed to the existence of HTAB, which enhanced the interfacial adhesion between HDPE/LDPE matrix and cellulose filler, as a result, improved the stress transfer from HDPE/LDPE to cellulose. However, the tensile extension and impact strength of the composites decreased caused by the excess of the crystal lattice of HTAB in the composites, which increased their brittleness [16]. This is related to the increase of the stiffness property of the composites. It is a well-known fact that the crystal lattice with higher content in the matrix can decrease the tensile extension and impact strength of the composites as a rule of mixture.
Table 8.
Thermo-mechanical properties of polymer composites influenced by QASs.
QAS like OTAB (chemical structure is shown in Figure 5) has been applied for compatibilization of PBE/BN composites [18]. The application of OTAB has influenced the thermal conductivity, flexural strength, flexural modulus, and impact strength of the composites (Table 8). The thermal conductivity of the composites increased by up to 79%, compared to the neat PBE/BN composite. This is attributed to the improvement of interfacial adhesion between PBE matrix and BN filler, which induced heat transfer across the interface efficiently [18]. Moreover, the mechanical properties, such as flexural strength, flexural modulus, and impact strength of the composites increased by up to 38%, 8.5%, and 11%, respectively, in comparison with the neat composite. This is because of the long alkyl chain length of OTAB, which effectively adsorbed on the surface of the composites [18]. Therefore, the compatibilization by applying OTAB not only increased the thermal conductivity of the composites but also improved their flexural and impact properties as well.
HTAB has also been applied for compatibilization of HDPE/Agar composites [22]. The application of HTAB has influenced the degradation temperature, melting temperature, tensile strength, tensile modulus, tensile extension, and impact strength of the composites (Table 8). The thermal properties, such as degradation temperature and melting temperature of the composites decreased compared to the neat HDPE/Agar composite. This is due to the presence of interactions between HDPE matrix and agar filler generated by HTAB [22]. Moreover, the mechanical properties, for instance, tensile strength and tensile modulus of the composites decreased because of their ductile behavior with the presence of HTAB. The existence of ductile behavior leads to the decrease of brittleness of the composites, which also reduced the stiffness property of the composites. This is induced by HTAB that improved the interfacial adhesion between HDPE and agar. Nevertheless, the tensile extension and impact strength of the composites increased by up to 72% and 24%, respectively, in comparison with the neat composite. This is attributed to the compatibilization effect of HTAB, which improved the compatibility between the composite components, as a result, increased the ductility of the HDPE/Agar composites [22].
Besides, QAS like IDAB (chemical structure is shown in Figure 5) has been applied for compatibilization of SBR/Bentonite composites [20]. The application of IDAB has influenced the degradation temperature, tensile strength, tensile modulus, and tensile extension of the composites (Table 8). The degradation temperature of the composites is expected to be lower compared to the neat SBR/Bentonite composite. This is because of the low degradation temperature of IDAB compared to other components in the composites [20]. However, the mechanical properties, such as tensile strength and tensile modulus of the composites increased by up to 20% and 34%, respectively, in comparison with the neat composite. This is attributed to the increase of the cross-linking density of the SBR, which is caused by the presence of interactions between SBR matrix and bentonite filler, as a result, improving the compatibility between them [20]. Nonetheless, the tensile extension of the composites decreased because of the increase of their stiffness property with the presence of IDAB. The result indicated that the compatibilization of the composites by IDAB has allowed bentonite to restrict the movement of SBR chains. Consequently, it increased the rigidity property, which reduced the strain behavior of the composites and led to the lower tensile extension.
The compatibilization by applying QASs is not only limited to conventional polymer composites, but they can also be applied in polymer nanocomposites [43]. HTAB is applied for compatibilization of Nylon-6/LNR/MMT nanocomposites [24]. The application of HTAB influenced the degradation temperature, glass transition temperature, tensile strength, tensile modulus, tensile extension, and impact strength of the nanocomposites (Table 8). The thermal properties, such as degradation temperature and glass transition temperature of the nanocomposites increased by up to 19% and 81%, respectively, compared to the neat Nylon-6/LNR matrix. This is attributed to the formation of intermolecular interactions between Nylon-6/LNR matrix and MMT filler generated by HTAB [24]. Moreover, the mechanical properties, for instance, tensile strength, tensile modulus, and impact strength of the nanocomposites increased by up to 48%, 149%, and 6.5%, respectively, in comparison with the neat matrix. This is due to the compatibilization by HTAB that has effectively provided a reinforcing effect on the nanocomposites [24]. Nevertheless, the tensile extension of the nanocomposites decreased because of the increase of their stiffness property. This typical phenomenon can occur not only in the conventional polymer composites but also in the polymer nanocomposites due to the compatibilization effect of HTAB.
4.3. Influence of QAILs on Polymer Composites
Table 9 displays the thermo-mechanical properties of polymer composites influenced by QAILs. QAIL like HmimPF6 (chemical structure is shown in Figure 6) has been applied for compatibilization of XSBR/RBC composites [17]. The application of HmimPF6 influenced the degradation temperature, glass transition temperature, tensile strength, tensile modulus, and tensile extension of the composites. The degradation temperature of the composites decreased because of the hydrolyzation of HmimPF6 induced by water that is released from RBC at a temperature above 100 °C. This is due to HmimPF6 being sensitive to hydrolyzation, especially at elevated temperature. Therefore, the polymer composites heated above 100 °C released water from RBC, and it hydrolyzed HmimPF6. As a result, it decreased the degradation temperature of the polymer composites. However, the glass transition temperature of the composites increased by up to 3.4% compared to the neat XSBR/RBC composite. This is attributed to the mobility of XSBR macromolecular chains which was restricted with the presence of HmimPF6 [17]. Moreover, the mechanical properties, such as tensile strength, tensile modulus, and tensile extension of the composites increased by up to 31%, 13%, and 7.0%, respectively, in comparison with the neat composite. This is due to the formation of interactions between XSBR matrix and RBC filler generated by HmimPF6 [17].
Table 9.
Thermo-mechanical properties of polymer composites influenced by QAILs.
QAIL like BmimCl has been applied for compatibilization of Agarose/Tc composites [19], it is blended with urea to increase its efficacy. The application of BmimCl has influenced the degradation temperature, glass transition temperature, tensile strength, tensile modulus, and tensile extension of the composites (Table 9). The degradation temperature of the composites decreased because of the lower thermal resistance of urea than other composite components, which affected the degradation temperature of the overall composites. Nonetheless, the glass transition temperature of the composites increased by up to 23% in comparison with the neat Agarose/Tc composite. This is attributed to the formation of strong interactions between agarose matrix and the talc filler with the presence of BmimCl [19]. Furthermore, the mechanical properties, such as tensile strength and tensile modulus of the composites increased by up to 26% and 62%, respectively, compared to the neat composite. This is because of the composites having strong and stiff properties, as well as BmimCl acted as a coupling agent or compatibilizer for the composites. However, the tensile extension of the composites decreased because the motion of agarose molecular chains was restricted by the talc filler [19]. The result also confirmed that the stiffness property of the composites increased with the presence of compatibilizer, which enhanced the rigidity of the composites, thus moving the tensile extension to lower values.
On the other hand, QAIL like EmimAc (chemical structure is shown in Figure 6) has been applied for compatibilization of DGEBA epoxy/Chitin composites [21]. The application of EmimAc influenced the degradation temperature, glass transition temperature, tensile strength, tensile modulus, tensile extension, and impact strength of the composites (Table 9). The degradation temperature of the composites remains unchanged because of the small content of chitin in the composites; thus, the overall thermal degradation behavior is similar to the neat DGEBA epoxy matrix. Nonetheless, the glass transition temperature of the composites increased by up to 9.0% compared to the neat matrix. This is attributed to the presence of chitin, which restricted the mobility of DGEBA epoxy chains prompted by intermolecular hydrogen bonding [21]. Moreover, the mechanical properties, such as tensile strength, tensile modulus, tensile extension, and impact strength of the composites increased by up to 34%, 8.4%, 80%, and 91%, respectively, in comparison with the neat matrix. This is because of the better dispersion of chitin filler within the DGEBA epoxy matrix with the presence of EmimAc [21].
Besides, QAIL like BmimPF6 (chemical structure is shown in Figure 6) has been applied for compatibilization of PU/SiO2 composites [23]. The application of BmimPF6 influenced the degradation temperature, glass transition temperature, thermal conductivity, flexural strength, and flexural extension of the composites (Table 9). The thermal properties, such as degradation temperature and glass transition temperature of the composites increased by up to 10% and 13%, respectively, compared to the neat PU/SiO2 composite. This is attributed to the presence of BmimPF6 that has significantly enhanced the thermal stability of the composites. Nevertheless, the thermal conductivity of the composites decreased because of the low thermal conductivity of SiO2 filler, which is well dispersed in the cell walls of the PU matrix [23]. In addition, the BmimPF6-compatibilized composites improved the interfacial adhesion between PU and SiO2, which reduced the heat transfer on the matrix, thus decreasing the thermal conductivity of the composites. The flexural strength of the composites increased by up to 15% in comparison with the neat composite. This is because of the reinforcing effect of SiO2 and compatibilization effect of BmimPF6. However, the flexural extension of the composites decreased because of the existence of SiO2 aggregates that acted as defects within the PU matrix [23]. The aggregates normally exist at high content of SiO2 filler in the matrix. Hence, the formation of aggregates can be avoided or minimized during the preparation of the composites.
The compatibilization by applying QAILs is not only limited to conventional polymer composites, but they can also be applied in polymer nanocomposites as QASs. BmimCl is applied for compatibilization of RC/MMT nanocomposites [25]. The application of BmimCl influenced the degradation temperature, tensile strength, tensile modulus, and tensile extension of the nanocomposites (Table 9). The degradation temperature of the nanocomposites increased by up to 154% compared to the neat RC matrix. This is attributed to the good dispersion and exfoliation of MMT filler within the RC matrix regenerated from BmimCl [25]. Furthermore, the mechanical properties, such as tensile strength and tensile modulus of the nanocomposites increased by up to 12% and 47%, respectively, in comparison with the neat matrix. This is caused by the presence of MMT that provided high rigidity property to the nanocomposites. Nonetheless, the tensile extension of the nanocomposites decreased because the slippage movement of RC chains was restrained by MMT filler [25]. This increased the stiffness property of the composites, which reduced the strain behavior and led to the lower tensile extension.
5. Conclusions
Polymer blends and polymer composites compatibilized by quaternary ammonium compounds (QACs) were concisely reviewed in this paper. The focal thermo-mechanical properties, for instance, degradation temperature, glass transition temperature, melting temperature, tensile strength, flexural strength, and impact strength of the polymer blends and polymer composites were also ascertained in this concise review. QACs can be applied for compatibilization of polymer blends and polymer composites because they own multipurpose features. QACs applied for different types of polymer blends and polymer composites are mainly classified into two types, namely quaternary ammonium surfactants (QASs) and quaternary ammonium ionic liquids (QAILs). The appropriate compatibilizations of polymer blends by QASs and QAILs could effectually create intermolecular interactions between the blend components. Furthermore, the polymer composites compatibilized by QASs and QAILs could also effectively form intermolecular interactions between the polymer matrices and fillers. The presence of the interactions might improve the interfacial adhesion and compatibility between the components of polymer blends and polymer composites. The improved compatibility has consequently enhanced the thermo-mechanical properties of the polymer blends and polymer composites.
Author Contributions
Conceptualization, A.A.S. and S.N.A.M.J.; methodology, A.A.S.; validation, A.A.S. and S.N.A.M.J.; formal analysis, S.N.A.M.J.; investigation, A.A.S.; resources, S.N.A.M.J.; data curation, A.A.S.; writing—original draft preparation, A.A.S.; writing—review and editing, S.N.A.M.J.; project administration, A.A.S.; funding acquisition, S.N.A.M.J. All authors have read and agreed to the published version of the manuscript.
Funding
This concise review was funded by the Universiti Putra Malaysia (vote number: 9001103).
Institutional Review Board Statement
Not applicable.
Informed Consent Statement
Not applicable.
Data Availability Statement
Not applicable.
Acknowledgments
The authors would like to thank Jacek Nowaczyk from the Nicolaus Copernicus University in Toruń for inspiring the authors to write this concise review.
Conflicts of Interest
The authors declare no conflict of interest. The funder had no role in the design of the review; in the collection, analyses, or interpretation of data; in the writing of the manuscript, or in the decision to publish the results.
References
- Aljarrah, M.T.; Al-Harahsheh, M.S.; Mayyas, M.; Alrebaki, M. In situ synthesis of quaternary ammonium on silica-coated magnetic nanoparticles and it’s application for the removal of uranium (VI) from aqueous media. J. Environ. Chem. Eng. 2018, 6, 5662–5669. [Google Scholar]
- Hu, X.; Lin, X.; Zhao, H.; Chen, Z.; Yang, J.; Li, F.; Liu, C.; Tian, F. Surface functionalization of polyethersulfone membrane with quaternary ammonium salts for contact-active antibacterial and anti-biofouling properties. Materials 2016, 9, 376. [Google Scholar]
- Brycki, B.; Koziróg, A.; Kowalczyk, I.; Pospieszny, T.; Materna, P.; Marciniak, J. Synthesis, structure, surface and antimicrobial properties of new oligomeric quaternary ammonium salts with aromatic spacers. Molecules 2017, 22, 1810. [Google Scholar]
- Shamsuri, A.A.; Daik, R. Applications of Ionic Liquids and Their Mixtures for Preparation of Advanced Polymer Blends and Composites: A Short Review. Rev. Adv. Mater. Sci. 2015, 40, 45–59. [Google Scholar]
- Spreeman, M.E.; Stretz, H.A.; Dadmun, M.D. Role of compatibilizer in 3D printing of polymer blends. Addit. Manuf. 2019, 27, 267–277. [Google Scholar]
- Quiles-Carrillo, L.; Montanes, N.; Garcia-Garcia, D.; Carbonell-Verdu, A.; Balart, R.; Torres-Giner, S. Effect of different compatibilizers on injection-molded green composite pieces based on polylactide filled with almond shell flour. Compos. Part B 2018, 147, 76–85. [Google Scholar]
- Nakayama, D.; Wu, F.; Mohanty, A.K.; Hirai, S.; Misra, M. Biodegradable composites developed from PBAT/PLA binary blends and silk powder: Compatibilization and performance evaluation. ACS Omega 2018, 3, 12412–12421. [Google Scholar]
- Yatigala, N.S.; Bajwa, D.S.; Bajwa, S.G. Compatibilization improves physico-mechanical properties of biodegradable biobased polymer composites. Compos. Part A 2018, 107, 315–325. [Google Scholar]
- Shamsuri, A.A.; Daik, R.; Ahmad, I.; Jumali, M.H.H. Nylon-6/liquid natural rubber blends prepared via emulsion dispersion. J. Polym. Res. 2009, 16, 381–387. [Google Scholar]
- Hameed, N.; Guo, Q. Blend films of natural wool and cellulose prepared from an ionic liquid. Cellulose 2010, 17, 803–813. [Google Scholar]
- Yousfi, M.; Soulestin, J.; Vergnes, B.; Lacrampe, M.F.; Krawczak, P. Morphology and mechanical properties of PET/PE blends compatibilized by nanoclays: Effect of thermal stability of nanofiller organic modifier. J. Appl. Polym. Sci. 2013, 128, 2766–2778. [Google Scholar]
- Shamsuri, A.A. Compatibilization effect of ionic liquid-based surfactants on physicochemical properties of PBS/rice starch blends: An initial study. Materials 2020, 13, 1885–1897. [Google Scholar]
- Kriegel, C.; Kit, K.M.; McClements, D.J.; Weiss, J. Electrospinning of chitosan–poly (ethylene oxide) blend nanofibers in the presence of micellar surfactant solutions. Polymer 2009, 50, 189–200. [Google Scholar]
- Shamsuri, A.A.; Abdullah, D.K.; Daik, R. Fabrication of agar/biopolymer blend aerogels in ionic liquid and co-solvent mixture. Cell. Chem. Technol. 2012, 46, 45–52. [Google Scholar]
- Hameed, N.; Guo, Q.; Tay, F.H.; Kazarian, S.G. Blends of cellulose and poly (3-hydroxybutyrate-co-3-hydroxyvalerate) prepared from the ionic liquid 1-butyl-3-methylimidazolium chloride. Carbohydr. Polym. 2011, 86, 94–104. [Google Scholar]
- Sudari, A.K.; Shamsuri, A.A.; Zainudin, E.S.; Tahir, P.M. Exploration on compatibilizing effect of nonionic, anionic, and cationic surfactants on mechanical, morphological, and chemical properties of high-density polyethylene/low-density polyethylene/cellulose biocomposites. J. Thermoplast. Compos. Mater. 2017, 30, 855–884. [Google Scholar]
- Zhang, Y.; Li, X.; Ge, X.; Deng, F.; Cho, U.R. Effect of coupling agents and ionic liquid on the properties of rice bran carbon/carboxylated styrene butadiene rubber composites. Macromol. Res. 2015, 23, 952–959. [Google Scholar]
- Wattanakul, K.; Manuspiya, H.; Yanumet, N. The adsorption of cationic surfactants on BN surface: Its effects on the thermal conductivity and mechanical properties of BN-epoxy composite. Colloids Surfaces A Physicochem. Eng. Asp. 2010, 369, 203–210. [Google Scholar]
- Shamsuri, A.A.; Daik, R. Utilization of an ionic liquid/urea mixture as a physical coupling agent for agarose/talc composite films. Materials 2013, 6, 682–698. [Google Scholar]
- Khalaf, A.I.; Hegazy, M.A. Synthesis and characterization of cationic surfactants in the preparation of organobentonite and study their effectiveness on the properties of styrene-butadiene rubber/bentonite composites. High Perform. Polym. 2013, 25, 115–125. [Google Scholar]
- Wang, J.; Chen, Z.; Guan, A.Q.; Demarquette, N.R.; Naguib, H.E. Ionic liquids facilitated dispersion of chitin nanowhiskers for reinforced epoxy composites. Carbohydr. Polym. 2020, 247, 116746–116754. [Google Scholar]
- Shamsuri, A.A.; Daik, R.; Zainudin, E.S.; Tahir, P.M. Compatibilization of HDPE/agar biocomposites with eutectic-based ionic liquid containing surfactant. J. Reinf. Plast. Compos. 2014, 33, 440–453. [Google Scholar]
- Członka, S.; Strąkowska, A.; Strzelec, K.; Kairytė, A.; Vaitkus, S. Composites of rigid polyurethane foams and silica powder filler enhanced with ionic liquid. Polym. Test. 2019, 75, 12–25. [Google Scholar]
- Shamsuri, A.A.; Daik, R. Mechanical and thermal properties of Nylon-6/LNR/MMT nanocomposites prepared through emulsion dispersion technique. J. Adv. Res. Fluid Mech. Therm. Sci. 2020, 73, 1–12. [Google Scholar]
- Mahmoudian, S.; Wahit, M.U.; Ismail, A.F.; Yussuf, A.A. Preparation of regenerated cellulose/montmorillonite nanocomposite films via ionic liquids. Carbohydr. Polym. 2012, 88, 1251–1257. [Google Scholar]
- Bureš, F. Quaternary ammonium compounds: Simple in structure, complex in application. Top. Curr. Chem. 2019, 377, 1–21. [Google Scholar]
- Pradeepa, K.G.; Shashidhara, G.M.; Chandrika, G.M. Thermal and mechanical properties of polyamide 6/poly (vinyl alcohol) blends with and without peroxides. Int. J. Plast. Technol. 2019, 23, 132–145. [Google Scholar]
- Daik, R.; Ching, Y.L. Penyediaan adunan LDPE/LNR melalui penyebaran emulsi. Sains Malaysiana 2007, 36, 183–188. [Google Scholar]
- Bijarimi, M.; Ahmad, S.; Rasid, R. Mechanical, thermal and morphological properties of poly (lactic acid)/epoxidized natural rubber blends. J. Elastomers Plast. 2014, 46, 338–354. [Google Scholar]
- Shashidhara, G.M.; Pradeepa, K.G. Preparation and characterization of polyamide 6/liquid natural rubber blends. J. Appl. Polym. Sci. 2014, 131, 39750–39759. [Google Scholar]
- Zhang, C.; Huang, Y.; Luo, C.; Jiang, L.; Dan, Y. Enhanced ductility of polylactide materials: Reactive blending with pre-hot sheared natural rubber. J. Polym. Res. 2013, 20, 121–129. [Google Scholar]
- Mundsinger, K.; Müller, A.; Beyer, R.; Hermanutz, F.; Buchmeiser, M.R. Multifilament cellulose/chitin blend yarn spun from ionic liquids. Carbohydr. Polym. 2015, 131, 34–40. [Google Scholar]
- Quitadamo, A.; Massardier, V.; Valente, M. Interactions between PLA, PE and wood flour: Effects of compatibilizing agents and ionic liquids. Holzforschung 2018, 72, 691–700. [Google Scholar]
- Pang, A.L.; Ismail, H.; Abu Bakar, A. Mechanical, morphological, and thermal properties of kenaf filled linear low-density polyethylene/poly (vinyl alcohol) composites: Effect of chemical treatment. J. Vinyl Add. Tech. 2018, 24, E164–E171. [Google Scholar]
- Mubarak, Y.A.; Abdulsamad, R.T. Effects of microcrystalline cellulose on the mechanical properties of low-density polyethylene composites. J. Thermoplast. Compos. Mater. 2019, 32, 297–311. [Google Scholar]
- Verma, S.K.; Gupta, A.; Singh, T.; Gangil, B.; Jánosi, E.; Fekete, G. Influence of dolomite on mechanical, physical and erosive wear properties of natural-synthetic fiber reinforced epoxy composites. Mater. Res. Express 2019, 6, 125704. [Google Scholar]
- Illsley, M.J.; Akhmetova, A.; Bowyer, C.; Nurgozhin, T.; Mikhalovsky, S.V.; Farrer, J.; Dubruel, P.; Allan, I.U. Activated carbon-plasticised agarose composite films for the adsorption of thiol as a model of wound malodour. J. Mater. Sci.-Mater. Med. 2017, 28, 154. [Google Scholar]
- Islam, M.N.; Islam, M.S. Mechanical properties of chemically treated sawdust-reinforced recycled polyethylene composites. Ind. Eng. Chem. Res. 2011, 50, 11124–11129. [Google Scholar]
- Niroomand, F.; Khosravani, A.; Younesi, H. Fabrication and properties of cellulose-nanochitosan biocomposite film using ionic liquid. Cellulose 2016, 23, 1311–1324. [Google Scholar]
- Zhang, S.; Ding, S.; Yu, J.; Chen, X.; Lei, Q.; Fang, W. Antibacterial activity, in vitro cytotoxicity, and cell cycle arrest of gemini quaternary ammonium surfactants. Langmuir 2015, 31, 12161–12169. [Google Scholar]
- Shamsuri, A.A. Functional properties of biopolymer-based films modified with surfactants: A brief review. Processes 2020, 8, 1039–1052. [Google Scholar]
- Lim, J.; Park, J.M.; Park, C.J.; Lee, B.M. Synthesis and surface active properties of a gemini-type surfactant linked by a quaternary ammonium group. Colloid Polym. Sci. 2013, 291, 855–866. [Google Scholar]
- Shamsuri, A.A. A short review on the effect of surfactants on the mechanico-thermal properties of polymer nanocomposites. Appl. Sci. 2020, 10, 4867–4882. [Google Scholar]
- DeLeo, P.C.; Huynh, C.; Pattanayek, M.; Schmid, K.C.; Pechacek, N. Assessment of ecological hazards and environmental fate of disinfectant quaternary ammonium compounds. Ecotoxicol. Environ. Saf. 2020, 206, 111116. [Google Scholar]
- Hossain, K.M.Z.; Calabrese, V.; da Silva, M.A.; Bryant, S.J.; Schmitt, J.; Scott, J.L.; Edler, K.J. Cationic surfactants as a non-covalent linker for oxidised cellulose nanofibrils and starch-based hydrogels. Carbohydr. Polym. 2020, 233, 115816–115824. [Google Scholar]
- Uygun, A.; Aslan, E. Comparative study of conducting polyaniline/copper and polyaniline/nickel composites in the presence of surfactants. Polym. Int. 2010, 59, 1162–1167. [Google Scholar]
- Chen, F.; Monnier, X.; Gällstedt, M.; Gedde, U.W.; Hedenqvist, M.S. Wheat gluten/chitosan blends: A new biobased material. Eur. Polym. J. 2014, 60, 186–197. [Google Scholar]
- Shamsuri, A.A.; Azid, M.K.A.; Ariff, A.H.M.; Sudari, A.K. Influence of surface treatment on tensile properties of low-density polyethylene/cellulose woven biocomposites: A preliminary study. Polymers 2014, 6, 2345–2356. [Google Scholar]
- Aseeri, J.; Alandis, N.M.; Mekhamer, W.; Alam, M. Miscibility studies of polystyrene/polyvinyl chloride blend in presence of organoclay. Open Chem. 2019, 17, 927–935. [Google Scholar]
- Hsiao, S.T.; Ma, C.C.M.; Tien, H.W.; Liao, W.H.; Wang, Y.S.; Li, S.M.; Huang, Y.C. Using a non-covalent modification to prepare a high electromagnetic interference shielding performance graphene nanosheet/water-borne polyurethane composite. Carbon 2013, 60, 57–66. [Google Scholar]
- Sharma, S.; Kashyap, H.K. Structure of quaternary ammonium ionic liquids at interfaces: Effects of cation tail modification with isoelectronic groups. J. Phys. Chem. C 2015, 119, 23955–23967. [Google Scholar]
- Tengku Azmi, T.S.M.; Yarmo, M.A.; Hakim, A.; Abu Tahari, M.N.; Taufiq-Yap, Y.H. Immobilization and characterizations of imidazolium-based ionic liquid on silica for CO2 adsorption/desorption studies. Mater. Sci. Forum 2016, 840, 404–409. [Google Scholar]
- Ünlü, A.E.; Arıkaya, A.; Takaç, S. Use of deep eutectic solvents as catalyst: A mini-review. Green Process. Synth. 2019, 8, 355–372. [Google Scholar]
- Marliza, T.S.; Yarmo, M.A.; Hakim, A.; Abu Tahari, M.N.; Taufiq-Yap, Y.H. Characterizations and application of supported ionic liquid [bmim][CF3SO3]/SiO2 in CO2 capture. Mater. Sci. Forum 2017, 888, 485–490. [Google Scholar]
- Shamsuri, A.A.; Abdan, K.; Kaneko, T. A Concise Review on the Physicochemical Properties of Biopolymer Blends Prepared in Ionic Liquids. Molecules 2021, 26, 216. [Google Scholar]
- Liu, W.; Budtova, T. Ionic liquid: A powerful solvent for homogeneous starch–cellulose mixing and making films with tuned morphology. Polymer 2012, 53, 5779–5787. [Google Scholar]
- Stanton, J.; Xue, Y.; Pandher, P.; Malek, L.; Brown, T.; Hu, X.; Salas-de la Cruz, D. Impact of ionic liquid type on the structure, morphology and properties of silk-cellulose biocomposite materials. Int. J. Biol. Macromol. 2018, 108, 333–341. [Google Scholar]
- Islam, M.S.; Ahmed-Haras, M.R.; Kao, N.; Gupta, R.; Bhattacharya, S.; Islam, M.N. Physico-mechanical properties of bio-composites fabricated from polylactic acid and rice husk treated with alkali and ionic liquid. Res. Commun. Eng. Sci. Technol. 2019, 2, 28–41. [Google Scholar]
- Shamsuri, A.A.; Darus, S.A.A.Z.M. Effect of [C2mim][OTf] ionic liquid on tensile properties of HDPE/KCF biocomposites: A primary research. Asian J. Appl. Chem. Res. 2020, 6, 1–6. [Google Scholar]
- Kadokawa, J.I.; Takegawa, A.; Mine, S.; Prasad, K. Preparation of chitin nanowhiskers using an ionic liquid and their composite materials with poly (vinyl alcohol). Carbohydr. Polym. 2011, 84, 1408–1412. [Google Scholar]
- Hadadi, A.; Whittaker, J.W.; Verrill, D.E.; Hu, X.; Larini, L.; Salas-De La Cruz, D. A hierarchical model to understand the processing of polysaccharides/protein-based films in ionic liquids. Biomacromolecules 2018, 19, 3970–3982. [Google Scholar]
- Stefanescu, C.; Daly, W.H.; Negulescu, I.I. Biocomposite films prepared from ionic liquid solutions of chitosan and cellulose. Carbohydr. Polym. 2012, 87, 435–443. [Google Scholar]
- Takegawa, A.; Murakami, M.A.; Kaneko, Y.; Kadokawa, J.I. Preparation of chitin/cellulose composite gels and films with ionic liquids. Carbohydr. Polym. 2010, 79, 85–90. [Google Scholar]
- Mouffok, S.; Kaci, M. Artificial weathering effect on the structure and properties of polypropylene/polyamide-6 blends compatibilized with PP-g-MA. J. Appl. Polym. Sci. 2015, 132, 41722. [Google Scholar]
Publisher’s Note: MDPI stays neutral with regard to jurisdictional claims in published maps and institutional affiliations. |
© 2021 by the authors. Licensee MDPI, Basel, Switzerland. This article is an open access article distributed under the terms and conditions of the Creative Commons Attribution (CC BY) license (http://creativecommons.org/licenses/by/4.0/).





