Experimental Comparison of Field and Accelerated Random Vertical Vibration Levels of Stacked Packages for Small Parcel Delivery Shipments
Abstract
1. Introduction
2. Experimental Design
2.1. Samples and Measuring Equipment
2.2. Measurement Setup
2.3. Delivery Routes and Vibration Profile
2.4. Statistical Methods for Acceleration Peaks and RMS (g)
2.5. Data Analyzes of Power Spectral Density (PSD)
3. Results and Discussions
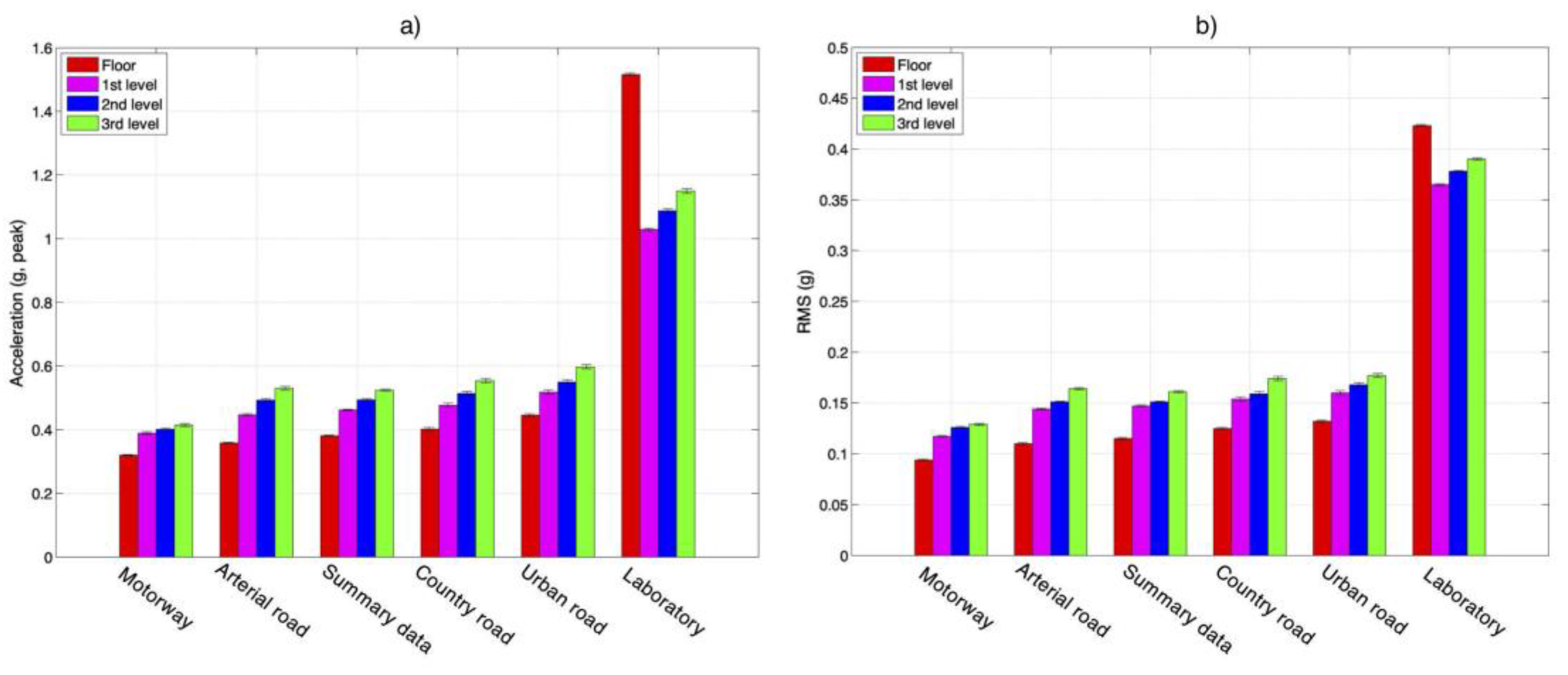
3.1. Results of Acceleration Peaks and RMS (g)
3.2. Empirical CDFs for Acceleration Peaks and RMS (g) Data
3.3. Power Spectral Density Plots (PSDs)
3.4. Statistical Characteristics of Acceleration Peaks and RMS(g)
3.5. Limitations for Practice
- The applied PSD method for the data of this study uses the Fast Fourier Transformation (FFT) process, so PSD plots show averaged intensity over the observed frequency range of interest along the data collected, thereby the plots do not show severe events that happen during real distribution.
- Parcel express companies use others vehicles like minivans, mid-size or heavy trucks to deliver shipments; therefore, data from this study can have limited use for the entire parcel delivery chain, but covers the important portion related to stacked parcels. In a trailer such shipments are unitized in sacks, bundles or pallets and require cargo securement regulations so they are blocked and braced with dunnage or straps and load bars. In addition, parcels travel in heavy truck or mid-size trucks to get to their final destination and operators use bigger containers, such as roll or cage containers, to group the packages together. At this step various packages are grouped together in real life and it is very rare to have identical parcels stacked together.
- Here has to be noted that the packages during the distribution suffer vibration events in the lateral and longitudinal excitation also, but the widespread practice in the laboratory use single degree-of-freedom (SDOF) vibration system. Thus, the package does receive a more complex input vibration in the real practice, which can cause more complex vibration response between the layers of packages.
- Last, but not least, the theoretical dynamics of stacked parcels can be described as a non-linear free vibration of coupled mass-spring system, thereby the various geometrical sizes and weights of packages in the stacked unit load will change vibration intensity in a non-linear way.
4. Conclusions
Author Contributions
Funding
Institutional Review Board Statement
Informed Consent Statement
Data Availability Statement
Conflicts of Interest
Appendix A Specifications of CDFs for Recorded Acceleration Peaks for This Study
| Data | Location of Measurement | Location of Saver | Acc. at 50% Occ. | Acc. at 90% Occ. | Acc. at 95% Occ. | Acc. at 99% Occ. | Max. Acceleration |
| Acceleration (g, peak) | Motorway | Floor | 0.28 | 0.46 | 0.55 | 0.92 | 1.77 |
| 1st Layer | 0.34 | 0.50 | 0.63 | 2.09 | 2.88 | ||
| 2nd Layer | 0.35 | 0.52 | 0.66 | 2.21 | 2.94 | ||
| 3rd Layer | 0.35 | 0.57 | 0.72 | 1.24 | 3.04 | ||
| Arterial road | Floor | 0.31 | 0.56 | 0.70 | 1.03 | 1.89 | |
| 1st Layer | 0.40 | 0.71 | 0.86 | 1.34 | 2.73 | ||
| 2nd Layer | 0.43 | 0.80 | 0.98 | 1.52 | 2.63 | ||
| 3rd Layer | 0.44 | 0.88 | 1.09 | 1.56 | 3.98 | ||
| Country road | Floor | 0.29 | 0.80 | 1.02 | 1.55 | 2.40 | |
| 1st Layer | 0.35 | 0.94 | 1.26 | 1.88 | 3.33 | ||
| 2nd Layer | 0.39 | 0.99 | 1.24 | 1.80 | 3.60 | ||
| 3rd Layer | 0.42 | 1.10 | 1.33 | 1.88 | 3.85 | ||
| Urban road | Floor | 0.34 | 0.84 | 1.05 | 1.66 | 3.00 | |
| 1st Layer | 0.42 | 1.04 | 1.31 | 1.89 | 3.00 | ||
| 2nd Layer | 0.43 | 1.07 | 1.34 | 1.99 | 3.29 | ||
| 3rd Layer | 0.45 | 1.18 | 1.43 | 2.01 | 4.63 | ||
| Summary | Floor | 0.30 | 0.67 | 0.88 | 1.41 | 2.80 | |
| 1st Layer | 0.38 | 0.87 | 1.11 | 1.70 | 3.33 | ||
| 2nd Layer | 0.38 | 0.87 | 1.16 | 2.44 | 3.78 | ||
| 3rd Layer | 0.39 | 0.98 | 1.25 | 2.11 | 4.63 | ||
| Laboratory | Floor | 1.49 | 1.84 | 1.94 | 2.18 | 2.86 | |
| 1st Layer | 0.99 | 1.25 | 1.38 | 1.83 | 3.96 | ||
| 2nd Layer | 1.03 | 1.37 | 1.50 | 2.68 | 4.72 | ||
| 3rd Layer | 1.06 | 1.57 | 1.84 | 2.68 | 6.53 |
Appendix B Specifications of CDFs for Recorded RMS Acceleration Values for This Study
| Data | Location of Measurement | Location of Saver | RMS at 50% Occ. | RMS at 90% Occ. | RMS at 95% Occ. | RMS at 99% Occ. | Max. Acceleration |
| RMS (g) | Motorway | Floor | 0.09 | 0.13 | 0.15 | 0.22 | 0.39 |
| 1st Layer | 0.11 | 0.15 | 0.17 | 0.25 | 0.51 | ||
| 2nd Layer | 0.12 | 0.16 | 0.18 | 0.25 | 0.55 | ||
| 3rd Layer | 0.12 | 0.18 | 0.20 | 0.28 | 0.61 | ||
| Arterial road | Floor | 0.10 | 0.16 | 0.20 | 0.28 | 0.46 | |
| 1st Layer | 0.13 | 0.22 | 0.26 | 0.35 | 0.67 | ||
| 2nd Layer | 0.14 | 0.22 | 0.27 | 0.39 | 0.71 | ||
| 3rd Layer | 0.15 | 0.25 | 0.30 | 0.39 | 0.71 | ||
| Country road | Floor | 0.09 | 0.25 | 0.30 | 0.42 | 0.68 | |
| 1st Layer | 0.12 | 0.30 | 0.35 | 0.49 | 0.78 | ||
| 2nd Layer | 0.13 | 0.31 | 0.38 | 0.49 | 0.89 | ||
| 3rd Layer | 0.14 | 0.33 | 0.38 | 0.51 | 1.01 | ||
| Urban road | Floor | 0.11 | 0.23 | 0.29 | 0.41 | 0.80 | |
| 1st Layer | 0.13 | 0.30 | 0.36 | 0.47 | 0.93 | ||
| 2nd Layer | 0.14 | 0.30 | 0.37 | 0.51 | 1.15 | ||
| 3rd Layer | 0.15 | 0.33 | 0.39 | 0.49 | 1.32 | ||
| Summary | Floor | 0.10 | 0.20 | 0.25 | 0.37 | 0.93 | |
| 1st Layer | 0.12 | 0.25 | 0.31 | 0.44 | 1.15 | ||
| 2nd Layer | 0.13 | 0.25 | 0.32 | 0.45 | 2.21 | ||
| 3rd Layer | 0.13 | 0.28 | 0.34 | 0.46 | 2.61 | ||
| Laboratory | Floor | 0.42 | 0.51 | 0.53 | 0.59 | 0.70 | |
| 1st Layer | 0.36 | 0.45 | 0.48 | 0.55 | 0.81 | ||
| 2nd Layer | 0.37 | 0.47 | 0.51 | 0.64 | 1.06 | ||
| 3rd Layer | 0.38 | 0.49 | 0.52 | 0.61 | 1.37 |
Appendix C Kurtosis and Skewness Values for the Various Measurements for This Study
| Road Conditions | Location | Kurtosis (Acceleration Data, g Peak) | Skewness (Acceleration Data, g Peak) | Kurtosis (RMS g Data) | Skewness (RMS g Data) |
| Motorway | Floor | 1.85 | −1.15 | 11.64 | 2.83 |
| 1st | 1.75 | 1.23 | 10.35 | 2.42 | |
| 2nd | 3.71 | 1.89 | 6.29 | 2.15 | |
| 3nd | 7.27 | 0.29 | 16.16 | 2.63 | |
| Arterial road | Floor | 1.89 | −0.98 | 3.18 | 1.93 |
| 1st | 1.21 | 0.42 | 3.54 | 1.96 | |
| 2nd | 0.03 | 0.59 | 2.47 | 1.68 | |
| 3nd | 0.59 | 0.74 | 1.82 | 1.44 | |
| Summary | Floor | 1.67 | −0.62 | 6.47 | 2.43 |
| 1st | 0.51 | 0.11 | 4.10 | 2.11 | |
| 2nd | 1.04 | 1.51 | 22.76 | 3.12 | |
| 3nd | −0.33 | 1.03 | 35.85 | 6.04 | |
| Country road | Floor | 1.89 | −0.55 | 0.57 | 1.72 |
| 1st | −0.90 | 0.22 | 1.54 | 1.49 | |
| 2nd | −1.25 | 1.05 | 1.66 | 1.69 | |
| 3nd | −2.83 | 0.43 | −0.25 | 1.24 | |
| Urban road | Floor | 0.07 | −0.27 | 2.31 | 1.88 |
| 1st | −1.83 | 0.25 | 1.55 | 1.62 | |
| 2nd | −2.25 | 0.70 | 2.23 | 1.72 | |
| 3nd | −2.52 | 0.46 | 2.73 | 1.59 | |
| Laboratory | Floor | −0.17 | −0.85 | 0.35 | 0.66 |
| 1st | 1.30 | −1.30 | 1.42 | 0.59 | |
| 2nd | 1.82 | 0.61 | 4.19 | 1.66 | |
| 3nd | 1.49 | 3.50 | 6.54 | 1.41 |
References
- Mazarenau, E. Global Size of the Courier, Express and Parcel (CEP) Market 2009–2019. Statista.com. Available online: https://www.statista.com/statistics/723986/cep-market-total-revenue-worldwide/ (accessed on 14 November 2020).
- Böröcz, P.; Molnár, B. Measurement and Analysis of Vibration Levels in Stacked Small Package Shipments in Delivery Vans as a Function of Free Movement Space. Appl. Sci. 2020, 10, 7821. [Google Scholar] [CrossRef]
- Brandenburg, R.K.; Lee, J.J. Fundamentals of Packaging Dynamics; L.A.B. Equipment, Inc.: Itasca, IL, USA, 2001. [Google Scholar]
- Böröcz, P.; Singh, S.P. Measurement and analysis of delivery van vibration levels to simulate package testing for parcel delivery in Hungary. Packag. Technol. Sci. 2018, 31, 342–352. [Google Scholar] [CrossRef]
- Zhou, H.; Wang, Z.W. Measurement and analysis of vibration levels for express logistics transportation in South China. Packag. Technol. Sci. 2018, 31, 665–678. [Google Scholar] [CrossRef]
- Chonhenchob, V.; Singh, S.P.; Singh, J.; Stallings, J.; Grewal, G. Measurement and analysis of vehicle vibration for delivering packages in small-sized and medium-sized trucks and automobiles. Packag. Technol. Sci. 2012, 25, 31–38. [Google Scholar] [CrossRef]
- Stallings, J.; Singh, J.; Singh, S.P. Measurement and Analysis of Vehicle Vibration for Parcel Delivery Vehicles in Single Parcel Shipments. J. Appl. Packag. Res. 2010, 4, 75–82. [Google Scholar]
- Park, J.; Choi, S.; Jung, H.M. Measurement and Analysis of Vibration Levels for Truck Transport Environment in Korea. Appl. Sci. 2020, 10, 6754. [Google Scholar] [CrossRef]
- Zhou, H.; Wang, Z.W. Comparison study on simulation effect of improved simulation methods for packaging random vibration test. Packag. Technol. Sci. 2019, 32, 119–131. [Google Scholar] [CrossRef]
- Böröcz, P. Vibration levels in vans as a function of payload and leaf spring sheet number. J. Test. Eval. 2017, 46, 236–243. [Google Scholar] [CrossRef]
- ASTM D7386-16. Standard Practice for Performance Testing of Packages for Single Parcel Delivery Systems; ASTM International: West Conshohocken, PA, USA, 2016; Available online: www.astm.org (accessed on 15 January 2021).
- Garcia-Romeu-Martinez, M.-A.; Singh, S.P.; Cloquell-Ballester, V.-A. Measurement and analysis of vibration levels for truck transport in Spain as a function of payload, suspension and speed. Packag. Technol. Sci. 2008, 21, 439–451. [Google Scholar] [CrossRef]
- Lu, F.; Ishikawa, Y.; Kitazawa, H.; Satake, T. Effect of vehicle speed on shock and vibration levels in truck transport. Packag. Technol. Sci. 2010, 23, 101–109. [Google Scholar] [CrossRef]
- Rouillard, V.; Sek, M.A. Synthesizing nonstationary, non-Gaussian random vibrations. Packag. Technol. Sci. 2010, 23, 423–439. [Google Scholar] [CrossRef]
- Garcia-Romeu-Martinez, M.-A.; Rouillard, V. On the Statistical Distribution of Road Vehicle Vibrations. Packag. Technol. Sci. 2011, 24, 451–467. [Google Scholar] [CrossRef]
- Shires, D. On the time compression (test acceleration) of broadband random vibration tests. Packag. Technol. Sci. 2011, 24, 75–87. [Google Scholar] [CrossRef]
- Kipp, W.I. Vibration Testing Equivalence: How Many Hours of Testing Equals How Many Miles of Transport? International Safe Transit Association: East Lansing, MI. Paper Originally Presented at ISTA Conference 2000 Updated December 2008. Available online: http://www.wikippco.com/Vib%20Test%20Equivalence.pdf (accessed on 14 November 2020).
- Rouillard, V. On the Non-Gaussian Nature of Random Vehicle Vibrations. In Proceedings of the World Congress on Engineering, London, UK, 2–4 July 2007; Volume II. [Google Scholar]
- Otari, S.; Odof, S.; Nolot, J.B.; Vasseur, P.; Pellot, J.; Krajka, N.; Erre, D. Statistical characterization of acceleration levels of random vibrations during transport. Packag. Technol. Sci. 2011, 24, 177–188. [Google Scholar] [CrossRef]
- Garcia-Romeu-Martinez, M.A.; Rouillard, V.; Cloquell-Ballester, V.A. A Model for the Statistical Distribution of Road Vehicle Vibrations. In Proceedings of the World Congress on Engineering, London, UK, 2–4 July 2007; Volume II. [Google Scholar]
- Böröcz, P. Averaged vibration levels during courier parcel delivery service in small truck in Hungary. FME Trans. 2018, 46, 211–217. [Google Scholar] [CrossRef]










| Samples Used | SAVERs | ||
|---|---|---|---|
| Corrugated board | 35 BC | Timer triggered data | 1 s |
| Weight of board | 742 g/m2 | Wake-up interval | 1 s |
| ECT | 9.0 kN/m | Recording time | 1.000 s |
| BST | 1685 kPa | Sample/sec | 500 Hz |
| Weight of box | 190 g | Sample size | 500 |
| Size of box (w × d × h) | 180 × 180 × 195 mm | Frequency resolution (PSD) | 0.50 Hz |
| Weight of ALU frame | 1440 g | Anti-Aliasing frequency | 200 Hz |
| Entire weight | 2630 g | ||
| Distance | Average Speed | |
|---|---|---|
| (km) | (km/h) | |
| Motorway | 120.9 | 114 |
| Arterial | 80.2 | 73 |
| Country | 51.5 | 54 |
| Urban | 38.4 | 35 |
| Summary | 291 | 69.1 |
| Location | Floor | 1st Layer | 2nd Layer | 3rd Layer |
|---|---|---|---|---|
| Motorway | 0.099 | 0.122 | 0.131 | 0.135 |
| Arterial road | 0.119 | 0.164 | 0.156 | 0.177 |
| Summary | 0.136 | 0.166 | 0.170 | 0.181 |
| Country road | 0.151 | 0.187 | 0.187 | 0.203 |
| Urban road | 0.154 | 0.187 | 0.197 | 0.204 |
| Laboratory | 0.427 | 0.376 | 0.387 | 0.397 |
Publisher’s Note: MDPI stays neutral with regard to jurisdictional claims in published maps and institutional affiliations. |
© 2021 by the authors. Licensee MDPI, Basel, Switzerland. This article is an open access article distributed under the terms and conditions of the Creative Commons Attribution (CC BY) license (http://creativecommons.org/licenses/by/4.0/).
Share and Cite
Molnár, B.; Böröcz, P. Experimental Comparison of Field and Accelerated Random Vertical Vibration Levels of Stacked Packages for Small Parcel Delivery Shipments. Appl. Sci. 2021, 11, 2927. https://doi.org/10.3390/app11072927
Molnár B, Böröcz P. Experimental Comparison of Field and Accelerated Random Vertical Vibration Levels of Stacked Packages for Small Parcel Delivery Shipments. Applied Sciences. 2021; 11(7):2927. https://doi.org/10.3390/app11072927
Chicago/Turabian StyleMolnár, Bence, and Péter Böröcz. 2021. "Experimental Comparison of Field and Accelerated Random Vertical Vibration Levels of Stacked Packages for Small Parcel Delivery Shipments" Applied Sciences 11, no. 7: 2927. https://doi.org/10.3390/app11072927
APA StyleMolnár, B., & Böröcz, P. (2021). Experimental Comparison of Field and Accelerated Random Vertical Vibration Levels of Stacked Packages for Small Parcel Delivery Shipments. Applied Sciences, 11(7), 2927. https://doi.org/10.3390/app11072927

