Determination of the Qualitative Composition of Biologically Active Substances of Extracts of In Vitro Callus, Cell Suspension, and Root Cultures of the Medicinal Plant Rhaponticum carthamoides
Abstract
1. Introduction
2. Materials and Methods
2.1. Research Objects
2.2. Drying of the BAS Complex
2.3. Separation and Identification of Individual BAS
2.4. Statistical Analysis
3. Results
4. Discussion
5. Conclusions
Supplementary Materials
Author Contributions
Funding
Institutional Review Board Statement
Informed Consent Statement
Data Availability Statement
Conflicts of Interest
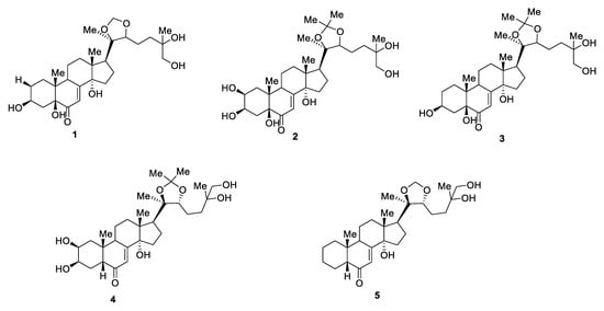
Appendix A. The Identified Compound No. 1 (1 2-deoxy-5,20,26-trihydroxyecdyson)
Appendix B. The Identified Compound No. 2 (5,20,26-trihydroxyecdyson 20,22-acetonide)
Appendix C. The Identified Compound No. 3 (2-deoxy-5,20,26-trihydroxyecdyson 20,22-acetonide)
Appendix D. The Identified Compound No. 4 (20,26-dihydroxyecdyson 20,22-acetonide)
Appendix E. The Identified Compound No. 5 (ecdyson 20,22-acetonide)
References
- Ashour, M.; Wink, M.; Gershenzon, J. Biochemistry of terpenoids: Monoterpenes, sesquiterpenes and diterpenes. Annu. Plant Rev. 2010, 40, 258–303. [Google Scholar]
- Atanasov, A.G.; Waltenberger, B.; Pferschy-Wenzig, E.-M.; Linder, T.; Wawrosch, C.; Uhrin, P. Discovery and resupply of pharmacologically active plant-derived natural products: A review. Biotechnol. Adv. 2015, 33, 1582–1614. [Google Scholar] [CrossRef] [PubMed]
- Babich, O.; Prosekov, A.; Zaushintsena, A.; Sukhikh, A.; Dyshlyuk, L.; Ivanova, S. Identification and quantification of phenolic compounds of Western Siberia Astragalus danicus in different regions. Heliyon 2019, 5, e02245. [Google Scholar] [CrossRef] [PubMed]
- Babich, O.; Sukhikh, S.; Prosekov, A.; Asyakina, L.; Ivanova, S. Medicinal Plants to Strengthen Immunity during a Pandemic. Pharmaceuticals 2020, 13, 313. [Google Scholar] [CrossRef]
- Babich, O.; Sukhikh, S.; Pungin, A.; Ivanova, S.; Asyakina, L.; Prosekov, A. Modern Trends in the In Vitro Production and Use of Callus, Suspension Cells and Root Cultures of Medicinal Plants. Molecules 2020, 25, 5805. [Google Scholar] [CrossRef]
- Banerjee, S.; Singh, S.; Ur Rahman, L. Biotransformation studies using hairy root cultures—A review. Biotechnol. Adv. 2012, 30, 461–468. [Google Scholar] [CrossRef] [PubMed]
- Butler, N.M.; Shelley, H.J.; Jiang, J. First generation genome editing in potato using hairy root transformation. Plant Biotechnol. J. 2020, 18, 2201–2209. [Google Scholar] [CrossRef] [PubMed]
- Caputi, L.; Franke, J.; Farrow, S.C.; Chung, K.; Payne, R.M.E.; Nguyen, T.-D.; Dang, T.-T.T.; Carqueijeiro, I.S.T.; Koudounas, K.; de Bernonville, T.D.; et al. Missing enzymes in the biosynthesis of the anticancer drug vinblastine in Madagascar periwinkle. Science 2018, 360, 1235–1239. [Google Scholar] [CrossRef] [PubMed]
- Cardon, F.; Pallisse, R.; Bardor, M.; Caron, A.; Vanier, J.; Ele Ekouna, J.P.; Lerouge, P.; Boitel-Conti, M.; Guillet, M. Brassica rapa hairy root based expression system leads to the production of highly homogenous and reproducible profiles of recombinant human alpha-L-iduronidase. Plant Biotechnol. J. 2019, 17, 505–516. [Google Scholar] [CrossRef] [PubMed]
- Carqueijeiro, I.; Langley, C.; Grzech, D.; Koudounas, K.; Papon, N.; O’Connor, S.E.; Courdavault, V. Beyond the semi-synthetic artemisinin: Metabolic engineering of plant-derived anticancer drugs. Curr. Opin. Biotechnol. 2020, 65, 17–24. [Google Scholar] [CrossRef] [PubMed]
- Carrizo, C.N.; Pitta-Alvarez, S.I.; Kogan, M.J.; Giulietti, A.M.; Tomaro, M.L. Occurrence of cadaverine in hairy roots of Brugmansia candida. Phytochemistry 2001, 57, 759–763. [Google Scholar] [CrossRef]
- Chahardoli, M.; Fazeli, A.; Ghabooli, M. Recombinant production of bovine Lactoferrin-derived antimicrobial peptide in tobacco hairy roots expression system. Plant Physiol. Biochem. 2018, 123, 414–421. [Google Scholar] [CrossRef]
- Dang, T.T.T.; Franke, J.; Tatsis, E.; O’Connor, S.E. Dual catalytic activity of a cytochrome P450 controls bifurcation at a metabolic branch point of alkaloid biosynthesis in Rauwolfia serpentine. Angew Chem. Int. Ed. Engl. 2017, 56, 9440–9444. [Google Scholar] [CrossRef] [PubMed]
- Dudareva, N.; Klempien, A.; Muhlemann, J.K.; Kaplan, I. Biosynthesis, function and metabolic engineering of plant volatile organic compounds. New Phytol. 2013, 198, 16–32. [Google Scholar] [CrossRef] [PubMed]
- Dyshlyuk, L.; Dmitrieva, A.; Ivanova, S.; Golubcova, Y.; Ostroumov, L. Panax ginseng callus, suspension, and root cultures: Extraction and qualitative analysis. Foods Raw Mater. 2020, 8, 369–376. [Google Scholar] [CrossRef]
- Georgiev, M.I.; Agostini, E.; Ludwig-Müller, J.; Xu, J. Genetically transformed roots: From plant disease to biotechnological resource. Trends Biotechnol. 2012, 30, 528–537. [Google Scholar] [CrossRef] [PubMed]
- Hidalgo, D.; Georgiev, M.; Marchev, A.; Bru-Martínez, R.; Cusido, R.M. Purificación Corchete & Javier Palazon Tailoring tobacco hairy root metabolism for the production of stilbenes. Sci. Rep. 2017, 7, 17976. [Google Scholar] [CrossRef]
- Jeziorek, M.; Sykłowska-Baranek, K.; Pietrosiuk, A. Hairy root cultures for the production of anticancer naphthoquinone compounds. Curr. Med. Chem. 2018, 25, 4718–4739. [Google Scholar] [CrossRef] [PubMed]
- Kai, G.Y.; Xu, H.; Zhou, C.; Liao, P.; Xiao, J.; Luo, X.; You, L.; Zhang, L. Metabolic engineering tanshinone biosynthetic pathway in Salvia miltiorrhiza hairy root cultures. Metab. Eng. 2011, 13, 319–327. [Google Scholar] [CrossRef]
- Kim, Y.J.; Zhang, D.; Yang, D.-C. Biosynthesis and biotechnological production of ginsenosides. Biotechnol. Adv. 2015, 33, 717–735. [Google Scholar] [CrossRef]
- Li, F.S.; Weng, J.K. Demystifying traditional herbal medicine with modern approaches. Nat. Plants 2017, 3, 17109. [Google Scholar] [CrossRef] [PubMed]
- Liao, P.; Hemmerlin, A.; Bach, T.J.; Chye, M.-L. The potential of the mevalonate pathway for enhanced isoprenoid production. Biotechnol. Adv. 2016, 34, 697–713. [Google Scholar] [CrossRef] [PubMed]
- Ma, Y.N.; Xu, D.-B.; Li, L.; Zhang, F.; Fu, X.-Q.; Shen, Q.; Lyu, X.-Y.; Wu, Z.-K.; Pan, Q.-F.; Shi, P.; et al. Jasmonate promotes artemisinin biosynthesis by activating the TCP14-ORA complex in Artemisia annua. Sci. Adv. 2018, 4, eaas9357. [Google Scholar] [CrossRef]
- Massa, S.; Paolini, F.; Marino, C.; Franconi, R.; Venuti, A. Bioproduction of a therapeutic vaccine against human Papillomavirus in tomato hairy root cultures. Front. Plant Sci. 2019, 10, 452. [Google Scholar] [CrossRef]
- Mendoza, D.; Pablo, J.; Cuaspud, O.; Arias, M. Phytochemical Screening of Callus and Cell Suspensions Cultures of Thevetia peruviana. Braz. Arch. Biol. Technol. 2020, 63. [Google Scholar] [CrossRef]
- Miao, G.; Han, J.; Feng, J.T.; Zhu, C.-S.; Zhang, X. A MDR transporter contributes to the different extracellular production of sesquiterpene pyridine alkaloids between adventitious root and hairy root liquid cultures of Tripterygium wilfordii Hook.f. Plant Mol. Biol. 2017, 95, 51–62. [Google Scholar] [CrossRef] [PubMed]
- Nag, S.A.; Qin, J.-J.; Wang, W.; Wang, M.-H.; Wang, H.; Zhang, R. Ginsenosides as anticancer agents: In vitro and in vivo activities, structure–activity relationships, and molecular mechanisms of action. Front. Pharmacol. 2012, 3, 25. [Google Scholar] [CrossRef] [PubMed]
- Normile, D. Asian medicine: The new face of traditional Chinese medicine. Science 2003, 299, 188–190. [Google Scholar] [CrossRef] [PubMed]
- Paek, K.Y.; Hosakatte, N.M.; Hahn, E.-J.; Zhong, J.-J. Large scale culture of ginseng adventitious roots for production of ginsenosides. Adv. Biochem. Eng. Biotechnol. 2009, 113, 151–176. [Google Scholar] [PubMed]
- Latushkina, N.A.; Ivanovsky, A.A.; Timkina, E.Y. Issledovanie himicheskogo sostava i toksicheskih svoystv fitokompleksa, soderzhaschego biologicheski aktivnye veschestva. Agrarnaya Nauka Evro-Severo-Vostoka [Agric. Sci. Euro North East] 2017, 4, 58–62. (In Russian) [Google Scholar]
- Asyakina, L.; Sukhikh, S.; Ivanova, S.; Prosekov, A.; Ulrikh, E.; Chupahin, E.; Babich, O. Determination of the qualitative composition of biologically-active substances of extracts of in vitro callus, cell suspension, and root cultures of the medicinal plant Rhodiola rosea. Biomolecules 2021, 11, 365. [Google Scholar] [CrossRef] [PubMed]
- Yang, Y.; Asyakina, L.K.; Babich, O.O.; Dyshlyuk, L.S.; Sukhykh, S.A.; Popov, A.D.; Kostiushina, N.V. Izuchenie fiziko-himicheskih svoystv i biologicheskoy aktivnosti ekstraktov iz vysushennoy biomassy kallusnyh, suspenzionnyh kletok I kornevyh kultur in vitro. Tehnika I Tehnologiay Pishchevyh Proizvodstv [Tech. Technol. Food Prod.] 2020, 50, 480–492. (In Russian) [Google Scholar] [CrossRef]
- Yu, K.W.; Hahn, E.J.; Paek, K.Y. Ginsenoside production by hairy root cultures of Panax ginseng: Influence of temperature and light quality. Biochem. Eng. J. 2005, 23, 53–56. [Google Scholar] [CrossRef]
- Zaushintsena, A.V.; Milentyeva, I.; Babich, O.; Noskova, S.Y.; Kiseleva, T.F.; Popova, D.G.; Bakin, I.A.; Lukin, A. Quantitative and qualitative profile of BASextracted from purple echinacea (Echinacea purpurea L.) growing in the Kemerovo region: Functional foods application. Foods Raw Mater. 2019, 7, 84–92. [Google Scholar] [CrossRef]
- Zhang, J.H.; Wider, B.; Shang, H.; Li, X.; Ernst, E. Quality of herbal medicines: Challenges and solutions. Complement. Ther. Med. 2012, 20, 100–106. [Google Scholar] [CrossRef] [PubMed]
- Prithviraj, K. Biological activities of flavonoids: An overview. Int. J. Pharm. Sci. Res. 2019, 10, 1567–1574. [Google Scholar]


Publisher’s Note: MDPI stays neutral with regard to jurisdictional claims in published maps and institutional affiliations. |
© 2021 by the authors. Licensee MDPI, Basel, Switzerland. This article is an open access article distributed under the terms and conditions of the Creative Commons Attribution (CC BY) license (http://creativecommons.org/licenses/by/4.0/).
Share and Cite
Asyakina, L.; Ivanova, S.; Prosekov, A.; Dyshlyuk, L.; Chupakhin, E.; Ulrikh, E.; Babich, O.; Sukhikh, S. Determination of the Qualitative Composition of Biologically Active Substances of Extracts of In Vitro Callus, Cell Suspension, and Root Cultures of the Medicinal Plant Rhaponticum carthamoides. Appl. Sci. 2021, 11, 2555. https://doi.org/10.3390/app11062555
Asyakina L, Ivanova S, Prosekov A, Dyshlyuk L, Chupakhin E, Ulrikh E, Babich O, Sukhikh S. Determination of the Qualitative Composition of Biologically Active Substances of Extracts of In Vitro Callus, Cell Suspension, and Root Cultures of the Medicinal Plant Rhaponticum carthamoides. Applied Sciences. 2021; 11(6):2555. https://doi.org/10.3390/app11062555
Chicago/Turabian StyleAsyakina, Lyudmila, Svetlana Ivanova, Alexander Prosekov, Lyubov Dyshlyuk, Evgeny Chupakhin, Elena Ulrikh, Olga Babich, and Stanislav Sukhikh. 2021. "Determination of the Qualitative Composition of Biologically Active Substances of Extracts of In Vitro Callus, Cell Suspension, and Root Cultures of the Medicinal Plant Rhaponticum carthamoides" Applied Sciences 11, no. 6: 2555. https://doi.org/10.3390/app11062555
APA StyleAsyakina, L., Ivanova, S., Prosekov, A., Dyshlyuk, L., Chupakhin, E., Ulrikh, E., Babich, O., & Sukhikh, S. (2021). Determination of the Qualitative Composition of Biologically Active Substances of Extracts of In Vitro Callus, Cell Suspension, and Root Cultures of the Medicinal Plant Rhaponticum carthamoides. Applied Sciences, 11(6), 2555. https://doi.org/10.3390/app11062555

